Trends in Liver Cancer Incidence and Survival in Italy by Histologic Type, 2003–2017
Simple Summary
Abstract
1. Introduction
2. Materials and Methods
2.1. Rationale and Design
2.2. Data
2.3. Statistical Methods
2.3.1. Incidence
2.3.2. Survival
3. Results
3.1. Incidence
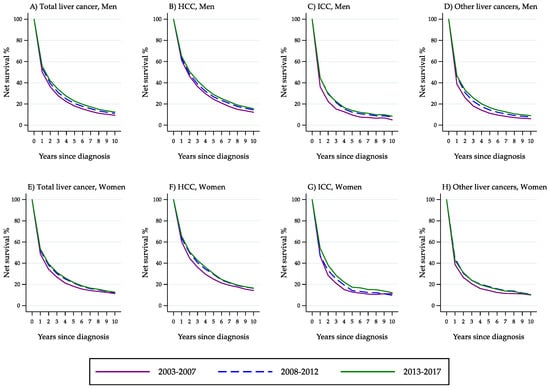
3.2. Survival
4. Discussion
4.1. Main Findings
4.2. Incidence
4.3. Survival
4.4. ‘Other Liver Cancer Types’
4.5. Methodological Considerations
4.6. Policy Implications
5. Conclusions
Supplementary Materials
Author Contributions
Funding
Institutional Review Board Statement
Informed Consent Statement
Data Availability Statement
Acknowledgments
Conflicts of Interest
Appendix A
| Birth Cohort | Incidence Rate Ratio | (95% CI) |
| 1923 | 0.92 | (0.85; 1.00) |
| 1928 | 1.00 | (reference) |
| 1933 | 1.00 | (0.95; 1.05) |
| 1938 | 0.90 | (0.83; 0.97) |
| 1943 | 0.83 | (0.76; 0.91) |
| 1948 | 0.72 | (0.65; 0.80) |
| 1953 | 0.66 | (0.58; 0.75) |
| 1958 | 0.76 | (0.65; 0.88) |
| 1963 | 0.74 | (0.62; 0.88) |
| 1968 | 0.61 | (0.48; 0.78) |
References
- Massarweh, N.N.; El-Serag, H.B. Epidemiology of hepatocellular carcinoma and intrahepatic cholangiocarcinoma. Cancer Control 2017, 24, 1073274817729245. [Google Scholar] [CrossRef] [PubMed]
- Salvatore, M.; Jeon, J.; Meza, R. Changing trends in liver cancer incidence by race/ethnicity and sex in the US: 1992–2016. Cancer Causes Control 2019, 30, 1377–1388. [Google Scholar] [CrossRef] [PubMed]
- Petrick, J.L.; Florio, A.A.; Znaor, A.; Ruggieri, D.; Laversanne, M.; Alvarez, C.S.; Ferlay, J.; Valery, P.C.; Bray, F.; McGlynn, K.A. International trends in hepatocellular carcinoma incidence, 1978-2012. Int. J. Cancer 2020, 147, 317–330. [Google Scholar] [CrossRef] [PubMed]
- Rumgay, H.; Ferlay, J.; de Martel, C.; Georges, D.; Ibrahim, A.S.; Zheng, R.; Wei, W.; Lemmens, V.E.P.P.; Soerjomataram, I. Global, regional and national burden of primary liver cancer by subtype. Eur. J. Cancer 2022, 161, 108–118. [Google Scholar] [CrossRef]
- Burton, A.; Tataru, D.; Driver, R.J.; Bird, T.G.; Huws, D.; Wallace, D.; Cross, T.J.S.; Rowe, I.A.; Alexander, G.; Marshall, A. Primary liver cancer in the UK: Incidence, incidence-based mortality, and survival by subtype, sex, and nation. JHEP Rep. 2021, 3, 100232. [Google Scholar] [CrossRef] [PubMed]
- Petrick, J.L.; Florio, A.A.; Loomba, R.; McGlynn, K.A. Have incidence rates of liver cancer peaked in the United States? Cancer 2020, 126, 3151–3155. [Google Scholar] [CrossRef]
- Plentz, R.R.; Malek, N.P. Clinical presentation, risk factors and staging systems of cholangiocarcinoma. Best Pract. Res. Clin. Gastroenterol. 2015, 29, 245–252. [Google Scholar] [CrossRef]
- Clements, O.; Eliahoo, J.; Kim, J.U.; Taylor-Robinson, S.D.; Khan, S.A. Risk factors for intrahepatic and extrahepatic cholangiocarcinoma: A systematic review and meta-analysis. J. Hepatol. 2020, 72, 95–103. [Google Scholar] [CrossRef]
- Allen, A.M.; Hicks, S.B.; Mara, K.C.; Larson, J.J.; Therneau, T.M. The risk of incident extrahepatic cancers is higher in non-alcoholic fatty liver disease than obesity: A longitudinal cohort study. J. Hepatol. 2019, 71, 1229–1236. [Google Scholar] [CrossRef]
- Jaacks, L.M.; Vandevijvere, S.; Pan, A.; McGowan, C.J.; Wallace, C.; Imamura, F.; Mozaffarian, D.; Swinburn, B.; Ezzati, M. The obesity transition: Stages of the global epidemic. Lancet Diabetes Endocrinol. 2019, 7, 231–240. [Google Scholar] [CrossRef]
- Izquierdo-Sanchez, L.; Lamarca, A.; La Casta, A.; Buettner, S.; Utpatel, K.; Klümpen, H.J.; Adeva, J.; Vogel, A.; Lleo, A.; Fabris, L.; et al. Cholangiocarcinoma landscape in Europe: Diagnostic, prognostic and therapeutic insights from the ENSCCA Registry. J. Hepatol. 2022, 76, 1109–1121. [Google Scholar] [CrossRef] [PubMed]
- Cocker, F.; Chien Yee, K.; Palmer, A.J.; de Graaff, B. Increasing incidence and mortality related to liver cancer in Australia: Time to turn the tide. Aust. N. Z. J. Public Health 2019, 43, 267–273. [Google Scholar] [CrossRef] [PubMed]
- Wu, J.; Yang, S.; Xu, K.; Ding, C.; Zhou, Y.; Fu, X.; Li, Y.; Deng, M.; Wang, C.; Liu, X.; et al. Patterns and trends of liver cancer incidence rates in eastern and southeastern Asian countries (1983-2007) and predictions to 2030. Gastroenterology 2018, 154, 1719–1728. [Google Scholar] [CrossRef] [PubMed]
- Su, S.Y.; Chiang, C.J.; Yang, Y.W.; Lee, W.C. Secular trends in liver cancer incidence from 1997 to 2014 in Taiwan and projection to 2035: An age-period-cohort analysis. J. Formos. Med. Assoc. 2019, 118(1 Pt 3), 444–449. [Google Scholar] [CrossRef]
- Ryerson, A.B.; Eheman, C.R.; Altekruse, S.F.; Ward, J.W.; Jemal, A.; Sherman, R.L.; Henley, S.J.; Holtzman, D.; Lake, A.; Noone, A.M.; et al. Annual report to the nation on the status of cancer, 1975-2012, featuring the increasing incidence of liver cancer. Cancer 2016, 122, 1312–1337. [Google Scholar] [CrossRef] [PubMed]
- Pham, C.; Fong, T.L.; Zhang, J.; Liu, L. Striking racial/ethnic disparities in liver cancer incidence rates and temporal trends in California, 1988-2012. J. Natl. Cancer Inst. 2018, 110, 1259–1269. [Google Scholar] [CrossRef]
- Rich, N.E.; Yopp, A.C.; Singal, A.G.; Murphy, C.C. Hepatocellular carcinoma incidence is decreasing among younger adults in the United States. Clin. Gastroenterol. Hepatol. 2020, 18, 242–248.e5. [Google Scholar] [CrossRef]
- Altekruse, S.F.; Henley, S.J.; Cucinelli, J.E.; McGlynn, K.A. Changing hepatocellular carcinoma incidence and liver cancer mortality rates in the United States. Am. J. Gastroenterol. 2014, 109, 542–553. [Google Scholar] [CrossRef]
- Yao, J.; Liang, X.; Liu, Y.; Li, S.; Zheng, M. Trends in incidence and prognostic factors of two subtypes of primary liver cancers: A Surveillance, Epidemiology, and End Results-based population study. Cancer Control 2022, 29, 10732748211051548. [Google Scholar] [CrossRef]
- Lee, Y.T.; Wang, J.J.; Luu, M.; Noureddin, M.; Nissen, N.N.; Patel, T.C.; Roberts, L.R.; Singal, A.G.; Gores, G.J.; Yang, J.D. Comparison of clinical features and outcomes between intrahepatic cholangiocarcinoma and hepatocellular carcinoma in the United States. Hepatology 2021, 74, 2622–2632. [Google Scholar] [CrossRef]
- Ferretti, S.; Bossard, N.; Binder-Fouchard, F.; Faivre, J.; Bordoni, A.; Biavati, P.; Frassoldati, A. Trends in net survival from liver cancer in six European Latin countries: Results from the SUDCAN population-based study. Eur. J. Cancer Prev. 2017, 26, S56–S62. [Google Scholar] [CrossRef] [PubMed]
- Allemani, C.; Matsuda, T.; Di Carlo, V.; Harewood, R.; Matz, M.; Nikšić, M.; Bonaventure, A.; Valkov, M.; Johnson, C.J.; Estève, J.; et al. Global surveillance of trends in cancer survival 2000-14 (CONCORD-3): Analysis of individual records for 37,513,025 patients diagnosed with one of 18 cancers from 322 population-based registries in 71 countries. Lancet 2018, 391(10125), 1023–1075. [Google Scholar] [CrossRef] [PubMed]
- Nathan, H.; Pawlik, T.M.; Wolfgang, C.L.; Choti, M.A.; Cameron, J.L.; Schulick, R.D. Trends in survival after surgery for cholangiocarcinoma: A 30-year population-based SEER database analysis. J. Gastrointest. Surg. 2007, 11, 1488–1496. [Google Scholar] [CrossRef] [PubMed]
- Witjes, C.D.; Karim-Kos, H.E.; Visser, O.; de Vries, E.; Ijzermans, J.N.; de Man, R.A.; Coebergh, J.W.; Verhoef, C. Intrahepatic cholangiocarcinoma in a low endemic area: Rising incidence and improved survival. HPB (Oxford) 2012, 14, 777–781. [Google Scholar] [CrossRef]
- Hucke, F.; Pinter, M.; Hucke, M.; Bota, S.; Bolf, D.; Hackl, M.; Peck-Radosavljevic, M. Changing epidemiological trends of hepatobiliary carcinomas in Austria 2010-2018. Cancers 2022, 14, 3093. [Google Scholar] [CrossRef]
- Dal Maso, L.; Lise, M.; Zambon, P.; Crocetti, E.; Serraino, D.; Ricceri, F.; Vercelli, M.; De Lisi, V.; Tagliabue, G.; Federico, M.; et al. Incidence of primary liver cancer in Italy between 1988 and 2002: An age-period-cohort analysis. Eur. J. Cancer 2008, 44, 285–292. [Google Scholar] [CrossRef]
- European Cancer Information System. Available online: https://ecis.jrc.ec.europa.eu (accessed on 20 November 2022).
- Liu, Z.; Jiang, Y.; Yuan, H.; Fang, Q.; Cai, N.; Suo, C.; Jin, L.; Zhang, T.; Chen, X. The trends in incidence of primary liver cancer caused by specific etiologies: Results from the Global Burden of Disease Study 2016 and implications for liver cancer prevention. J. Hepatol. 2019, 70, 674–683. [Google Scholar] [CrossRef]
- Forman, D.; Bray, F.; Brewster, D.H.; Gombe Mbalawa, C.; Kohler, B.; Piñeros, M.; Steliarova-Foucher, E.; Swaminathan, R.; Ferlay, J. Cancer Incidence in Five Continents, Vol. X; International Agency for Research on Cancer: Lyon, France, 2014. [Google Scholar]
- Bray, F.; Colombet, M.; Mery, L.; Piñeros, M.; Znaor, A.; Zanetti, R.; Ferlay, J. Cancer incidence in five continents, vol. XI; International Agency for Research on Cancer: Lyon, France, 2021. [Google Scholar]
- Cancer Incidence in Five Continents, vol. XII: Status as of 15 June 2022. Available online: http://www.iacr.com.fr/index.php?option=com_content&view=article&id=90&Itemid=566 (accessed on 20 November 2022).
- World Health Organization. International Classification of Disease for Oncology (ICD-O), 1st Revision, 3rd ed.; World Health Organization: Geneva, Switzerland, 2013. [Google Scholar]
- Classification of Tumours Editorial Board. Digestive System Tumours, Vol. 1, 5th ed.; International Agency for Research on Cancer: Lyon, France, 2019. [Google Scholar]
- Clayton, D.; Schifflers, E. Models for temporal variation in cancer rates. I: Age-period and age-cohort models. Stat. Med. 1987, 6, 449–467. [Google Scholar] [CrossRef]
- Clayton, D.; Schifflers, E. Models for temporal variation in cancer rates. II: Age-period-cohort models. Stat. Med. 1987, 6, 469–481. [Google Scholar] [CrossRef]
- Carstensen, B. Age-period-cohort models for the Lexis diagram. Stat. Med. 2007, 26, 3018–3045. [Google Scholar] [CrossRef]
- Dhillon, P.K.; Yeole, B.B.; Dikshit, R.; Kurkure, A.P.; Bray, F. Trends in breast, ovarian and cervical cancer incidence in Mumbai, India over a 30-year period, 1976-2005: An age-period-cohort analysis. Br. J. Cancer 2011, 105, 723–730. [Google Scholar] [CrossRef] [PubMed]
- Akaike, H. Information theory and an extension of the maximum likelihood principle. In Second International Symposium on Information Theory; Petrov, B., Csáki, F., Eds.; Akadémiai Kiadó: Budapest, Hungary, 1973; pp. 267–281. [Google Scholar]
- Thomson, C.S.; Forman, D. Cancer survival in England and the influence of early diagnosis: What can we learn from recent EUROCARE results? Br. J. Cancer 2009, 101 (Suppl 2), S102–S109. [Google Scholar] [CrossRef] [PubMed]
- Perme, M.P.; Stare, J.; Estève, J. On estimation in relative survival. Biometrics 2012, 68, 113–120. [Google Scholar] [CrossRef]
- Corazziari, I.; Quinn, M.; Capocaccia, R. Standard cancer patient population for age standardising survival ratios. Eur. J. Cancer 2004, 40, 2307–2316. [Google Scholar] [CrossRef]
- Belot, A.; Ndiaye, A.; Luque-Fernandez, M.A.; Kipourou, D.K.; Maringe, C.; Rubio, F.J.; Rachet, B. Summarizing and communicating on survival data according to the audience: A tutorial on different measures illustrated with population-based cancer registry data. Clin. Epidemiol. 2019, 11, 53–65. [Google Scholar] [CrossRef] [PubMed]
- Dickman, P.W.; Coviello, E. Estimating and modeling relative survival. Stata J. 2015, 15, 186–215. [Google Scholar] [CrossRef]
- Brenner, H.; Rachet, B. Hybrid analysis for up-to-date long-term survival rates in cancer registries with delayed recording of incident cases. Eur. J. Cancer 2004, 40, 2494–2501. [Google Scholar] [CrossRef] [PubMed]
- Ansaldi, F.; Bruzzone, B.; Salmaso, S.; Rota, M.C.; Durando, P.; Gasparini, R.; Icardi, G. Different seroprevalence and molecular epidemiology patterns of hepatitis C virus infection in Italy. J. Med. Virol. 2005, 76, 327–332. [Google Scholar] [CrossRef]
- Celsa, C.; Stornello, C.; Giuffrida, P.; Giacchetto, C.M.; Grova, M.; Rancatore, G.; Pitrone, C.; Di Marco, V.; Cammà, C.; Cabibbo, G. Direct-acting antiviral agents and risk of hepatocellular carcinoma: Critical appraisal of the evidence. Ann. Hepatol. 2022, 27 (Suppl 1), 100568. [Google Scholar] [CrossRef]
- Pawlotsky, J.M.; Feld, J.J.; Zeuzem, S.; Hoofnagle, J.H. From non-A, non-B hepatitis to hepatitis C virus cure. J. Hepatol. 2015, 62 (Suppl 1), S87–S99. [Google Scholar] [CrossRef]
- Alavi, M.; Law, M.G.; Valerio, H.; Grebely, J.; Amin, J.; Hajarizadeh, B.; Selvey, C.; George, J.; Dore, G.J. Declining hepatitis C virus-related liver disease burden in the direct-acting antiviral therapy era in New South Wales, Australia. J. Hepatol. 2019, 71, 281–288. [Google Scholar] [CrossRef] [PubMed]
- Flores, J.E.; Thompson, A.J.; Ryan, M.; Howell, J. The global impact of hepatitis B vaccination on hepatocellular carcinoma. Vaccines (Basel) 2022, 10, 793. [Google Scholar] [CrossRef] [PubMed]
- Mokdad, A.A.; Lopez, A.D.; Shahraz, S.; Lozano, R.; Mokdad, A.H.; Stanaway, J.; Murray, C.J.; Naghavi, M. Liver cirrhosis mortality in 187 countries between 1980 and 2010: A systematic analysis. BMC Med. 2014, 12, 145. [Google Scholar] [CrossRef]
- Rondy, M.; Wiessing, L.; Hutchinson, S.J.; Matheï, C.; Mathis, F.; Mravcik, V.; Norden, L.; Rosińska, M.; Scutelniciuc, O.; Suligoi, B.; et al. Hepatitis C prevalence in injecting drug users in Europe, 1990-2007: Impact of study recruitment setting. Epidemiol. Infect. 2013, 141, 563–572. [Google Scholar] [CrossRef]
- Alvaro, D.; Crocetti, E.; Ferretti, S.; Bragazzi, M.C.; Capocaccia, R. Descriptive epidemiology of cholangiocarcinoma in Italy. Dig. Liver Dis. 2010, 42, 490–495. [Google Scholar] [CrossRef] [PubMed]
- Bannon, F.; Di Carlo, V.; Harewood, R.; Engholm, G.; Ferretti, S.; Johnson, C.J.; Aitken, J.F.; Marcos-Gragera, R.; Bonaventure, A.; Gavin, A.; et al. Survival trends for primary liver cancer, 1995-2009: Analysis of individual data for 578,740 patients from 187 population-based registries in 36 countries (CONCORD-2). Ann. Cancer Epidemiol. 2019, 3, 6. [Google Scholar] [CrossRef]
- Reinders, M.T.M.; van Meer, S.; Burgmans, M.C.; de Jong, K.P.; Klümpen, H.J.; de Man, R.A.; Ramsoekh, D.S.; Sprengers, D.; Tjwa, E.T.T.L.; de Vos-Geelen, J.; et al. Trends in incidence, diagnosis, treatment and survival of hepatocellular carcinoma in a low-incidence country: Data from the Netherlands in the period 2009–2016. Eur. J. Cancer 2020, 137, 214–223. [Google Scholar] [CrossRef] [PubMed]
- Holliday, E.B.; Allen, P.K.; Elhalawani, H.; Abdel-Rahman, O. Treatment at a high-volume centre is associated with improved survival among patients with non-metastatic hepatocellular carcinoma. Liver Int. 2018, 38, 665–675. [Google Scholar] [CrossRef]
- Torzilli, G.; Viganò, L.; Giuliante, F.; Pinna, A.D. Liver surgery in Italy: Criteria to identify the hospital units and the tertiary referral centers entitled to perform it. Updates Surg. 2016, 68, 135–142. [Google Scholar] [CrossRef]
- Cucchetti, A.; Trevisani, F.; Pecorelli, A.; Erroi, V.; Farinati, F.; Ciccarese, F.; Rapaccini, G.L.; Di Marco, M.; Caturelli, E.; Giannini, E.G.; et al. Estimation of lead-time bias and its impact on the outcome of surveillance for the early diagnosis of hepatocellular carcinoma. J. Hepatol. 2014, 61, 333–341. [Google Scholar] [CrossRef]
- Tyczynski, J.E.; Démaret, E.; Parkin, D.M. Standards and Guidelines for Cancer Registration in Europe. The ENCR Recommendations, IARC Technical Publication No. 40; International Agency for Research on Cancer: Lyon, France, 2003. [Google Scholar]
- Rutherford, M.J.; Arnold, M.; Bardot, A.; Ferlay, J.; De, P.; Tervonen, H.; Little, A.; Bucher, O.; St Jacques, N.; Gavin, A.; et al. Comparison of liver cancer incidence and survival by subtypes across seven high-income countries. Int. J. Cancer 2021, 149, 2020–2031. [Google Scholar] [CrossRef] [PubMed]
- Welzel, T.M.; McGlynn, K.A.; Hsing, A.W.; O’Brien, T.R.; Pfeiffer, R.M. Impact of classification of hilar cholangiocarcinomas (Klatskin tumors) on the incidence of intra- and extrahepatic cholangiocarcinoma in the United States. J. Natl. Cancer Inst. 2006, 98, 873–875. [Google Scholar] [CrossRef] [PubMed]
- Khan, S.A.; Emadossadaty, S.; Ladep, N.G.; Thomas, H.C.; Elliott, P.; Taylor-Robinson, S.D.; Toledano, M.B. Rising trends in cholangiocarcinoma: Is the ICD classification system misleading us? J. Hepatol. 2012, 56, 848–854. [Google Scholar] [CrossRef] [PubMed]
- Bucchi, L.; Costa, S.; Mancini, S.; Baldacchini, F.; Giuliani, O.; Ravaioli, A.; Vattiato, R.; Zamagni, F.; Giorgi Rossi, P.; Campari, C.; et al. Clinical epidemiology of microinvasive cervical carcinoma in an Italian population targeted by a screening programme. Cancers 2022, 14, 2093. [Google Scholar] [CrossRef] [PubMed]






| Cancer Registry | Population * | Period of Diagnosis | Incident Cases | Crude Rate † | Age-Standardised Rate †,‡ | Microscopic Verification (%) | DCO (%) |
|---|---|---|---|---|---|---|---|
| South Tyrol | 527,750 | 2003–2017 | 1241 | 16.4 | 17.8 | 40% | 2.2% |
| Ferrara | 349,692 | 2003–2017 | 1266 | 23.8 | 18.2 | 32% | 1.0% |
| Firenze-Prato | 1,266,471 | 2003–2016 § | 2277 | 14.5 | 12.4 | 39% | 2.0% |
| Friuli Venezia Giulia | 1,212,809 | 2003–2017 | 4498 | 24.7 | 20.9 | 50% | 1.0% |
| Genova | 846,211 | 2003–2016 | 2534 | 20.9 | 15.9 | 35% | 3.4% |
| Modena | 702,949 | 2003–2017 | 1923 | 18.7 | 17.3 | 46% | 1.0% |
| Parma | 448,207 | 2003–2017 | 2009 | 31.0 | 27.0 | 43% | 0.5% |
| Piacenza | 287,246 | 2006–2017 | 1035 | 30.1 | 24.4 | 34% | 2.3% |
| Puglia | 2,778,877 | 2006–2017 | 6486 | 19.2 | 19.1 | 30% | 3.7% |
| Reggio Emilia | 533,392 | 2003–2017 | 1251 | 16.2 | 15.8 | 39% | 1.0% |
| Romagna | 1,125,415 | 2003–2017 | 2174 | 13.4 | 11.9 | 41% | 1.6% |
| Trento | 538,604 | 2003–2017 | 1646 | 21.3 | 21.0 | 46% | 1.5% |
| Veneto | 2,125,066 | 2003–2017 | 7234 | 22.9 | 21.4 | 41% | 2.0% |
| All cancer registries | 12,742,689 | 35,574 | 20.2 | 18.3 | 40% | 2.0% |
| Sex and Type | 2003–2017 | 2003–2007 | 2008–2012 | 2013–2017 | |||||||||
|---|---|---|---|---|---|---|---|---|---|---|---|---|---|
| No. | % | Rate * | (95% CI) | No. | Rate * | (95% CI) | No. | Rate * | (95% CI) | No. | Rate * | (95% CI) | |
| Men | |||||||||||||
| Total | 24,692 | 100.0% | 29.4 | (29.0; 29.8) | 7519 | 31.7 | (31.0; 32.4) | 8790 | 30.1 | (29.5; 30.8) | 8383 | 27.0 | (26.4; 27.6) |
| HCC | 12,343 | 50.0% | 14.6 | (14.3; 14.8) | 3757 | 15.6 | (15.1; 16.1) | 4339 | 14.7 | (14.3; 15.2) | 4247 | 13.6 | (13.2; 14.1) |
| ICC | 1531 | 6.2% | 1.8 | (1.7; 1.9) | 351 | 1.4 | (1.3; 1.6) | 513 | 1.7 | (1.6; 1.9) | 667 | 2.2 | (2.0; 2.3) |
| Other | 10,818 | 43.8% | 13.0 | (12.8; 13.3) | 3411 | 14.7 | (14.2; 15.2) | 3938 | 13.7 | (13.2; 14.1) | 3469 | 11.2 | (10.9; 11.6) |
| Women | |||||||||||||
| Total | 10,882 | 100.0% | 9.4 | (9.2; 9.6) | 3496 | 10.4 | (10.0; 10.7) | 3853 | 9.5 | (9.2; 9.8) | 3533 | 8.4 | (8.1; 8.7) |
| HCC | 3881 | 35.7% | 3.5 | (3.4; 3.6) | 1309 | 4.0 | (3.8; 4.2) | 1356 | 3.5 | (3.3; 3.7) | 1216 | 3.0 | (2.8; 3.2) |
| ICC | 1151 | 10.6% | 1.1 | (1.0; 1.2) | 269 | 0.9 | (0.8; 1.0) | 411 | 1.1 | (1.0; 1.2) | 471 | 1.2 | (1.1; 1.4) |
| Other | 5850 | 53.8% | 4.8 | (4.7; 5.0) | 1918 | 5.5 | (5.3; 5.8) | 2086 | 4.9 | (4.7; 5.2) | 1846 | 4.2 | (4.0; 4.4) |
| Type | Sex | Terms in the Model | Degrees of Freedom | Deviance | AIC | Models to Compare | Deviance Difference | Degrees of Freedom Difference | p-Value |
|---|---|---|---|---|---|---|---|---|---|
| HCC | Men | Age (A) | 16 | 67.9 | 11.363 | ||||
| Age–drift (Ad) | 15 | 43.5 | 10.429 | Ad versus A | 24.4 | 1 | <0.001 | ||
| Age–period (AP) | 14 | 42.0 | 10.448 | AP versus Ad | 25.9 | 2 | 0.215 | ||
| Age–cohort (AC) | 7 | 7.5 | 9.594 | AC versus Ad | 60.5 | 9 | <0.001 | ||
| Age–period–cohort (APC) | 6 | 6.9 | 9.655 | APC versus AP | 35.1 | 8 | <0.001 | ||
| APC versus AC | 0.5 | 1 | 0.462 | ||||||
| Women | Age (A) | 16 | 69.5 | 9.990 | |||||
| Age–drift (Ad) | 15 | 19.1 | 7.973 | Ad versus A | 50.4 | 1 | <0.001 | ||
| Age–period (AP) | 14 | 18.7 | 8.040 | AP versus Ad | 50.8 | 2 | 0.532 | ||
| Age–cohort (AC) | 7 | 3.3 | 7.982 | AC versus Ad | 66.2 | 9 | 0.046 | ||
| Age–period–cohort (APC) | 6 | 2.6 | 8.036 | APC versus AP | 16.1 | 8 | 0.041 | ||
| APC versus AC | 0.7 | 1 | 0.404 | ||||||
| ICC | Men | Age (A) | 16 | 48.7 | 8.418 | ||||
| Age–drift (Ad) | 15 | 12.4 | 6.989 | Ad versus A | 36.3 | 1 | <0.001 | ||
| Age–period (AP) | 14 | 12.3 | 7.070 | AP versus Ad | 36.4 | 2 | 0.811 | ||
| Age–cohort (AC) | 7 | 8.0 | 7.472 | AC versus Ad | 40.7 | 9 | 0.820 | ||
| Age–period–cohort (APC) | 6 | 7.7 | 7.544 | APC versus AP | 4.6 | 8 | 0.799 | ||
| APC versus AC | 0.3 | 1 | 0.600 | ||||||
| Women | Age (A) | 16 | 31.0 | 7.374 | |||||
| Age–drift (Ad) | 15 | 10.5 | 6.605 | Ad versus A | 20.5 | 1 | <0.001 | ||
| Age–period (AP) | 14 | 8.8 | 6.616 | AP versus Ad | 22.2 | 2 | 0.186 | ||
| Age–cohort (AC) | 7 | 3.1 | 6.963 | AC versus Ad | 27.9 | 9 | 0.492 | ||
| Age–period–cohort (APC) | 6 | 2.2 | 7.008 | APC versus AP | 6.6 | 8 | 0.581 | ||
| APC versus AC | 0.9 | 1 | 0.337 |
| Type | Sex | Time since Diagnosis | Net Survival, % (95% CI) | |||
|---|---|---|---|---|---|---|
| 2003–2007 | 2008–2012 | 2013–2017 | p-Value * | |||
| Total liver cancer | Men | 1 year | 50.1 (49.0; 51.3) | 54.1 (52.9; 55.2) | 55.7 (54.5; 56.9) | <0.001 |
| 2 years | 36.2 (35.1; 37.4) | 39.4 (38.2; 40.5) | 41.7 (40.5; 42.9) | <0.001 | ||
| 5 years | 18.1 (17.1; 19.1) | 20.5 (19.5; 21.6) | 22.7 (21.6; 23.9) | <0.001 | ||
| 10 years | 9.3 (8.5; 10.2) | 11.1 (10.2; 12.0) | 12.4 (11.4; 13.4) | <0.001 | ||
| 5|1 year | 35.3 (33.5; 37.0) | 37.3 (35.6; 39.1) | 39.8 (38.1; 41.5) | <0.001 | ||
| 5|2 years | 48.4 (46.1; 50.6) | 51.3 (49.2; 53.4) | 53.7 (51.4; 55.9) | <0.001 | ||
| Women | 1 year | 48.8 (46.6; 51.0) | 52.0 (49.9; 54.0) | 53.4 (51.3; 55.5) | 0.212 | |
| 2 years | 34.2 (32.0; 36.4) | 38.2 (36.1; 40.2) | 39.5 (37.3; 41.6) | 0.023 | ||
| 5 years | 18.2 (16.3; 20.2) | 21.4 (19.5; 23.3) | 21.9 (20.0; 23.8) | 0.007 | ||
| 10 years | 11.4 (9.7; 13.3) | 12.4 (10.8; 14.1) | 12.7 (11.1; 14.5) | 0.014 | ||
| 5|1 year | 35.9 (32.7; 39.0) | 39.4 (36.6; 42.3) | 39.4 (36.6; 42.3) | <0.001 | ||
| 5|2 years | 50.6 (46.7; 54.3) | 53.4 (50.1; 56.7) | 53.0 (49.2; 56.6) | 0.032 | ||
| Hepatocellular carcinoma | Men | 1 year | 61.2 (59.6; 62.8) | 63.0 (61.3; 64.5) | 65.2 (63.5; 66.7) | 0.001 |
| 2 years | 46.2 (44.5; 47.9) | 48.3 (46.6; 50.0) | 50.7 (49.0; 52.4) | <0.001 | ||
| 5 years | 24.5 (22.9; 26.0) | 26.8 (25.2; 28.4) | 28.9 (27.3; 30.6) | <0.001 | ||
| 10 years | 12.2 (11.0; 13.6) | 14.4 (13.0; 15.9) | 15.6 (14.1; 17.2) | <0.001 | ||
| 5|1 year | 39.3 (37.1; 41.6) | 42.3 (40.0; 44.5) | 43.9 (41.7; 46.1) | 0.002 | ||
| 5|2 years | 51.8 (49.0; 54.5) | 55.0 (52.4; 57.5) | 56.4 (53.5; 59.1) | 0.009 | ||
| Women | 1 year | 60.5 (56.9; 63.9) | 63.6 (60.5; 66.5) | 65.7 (62.4; 68.8) | 0.177 | |
| 2 years | 44.9 (41.2; 48.4) | 49.9 (46.6; 53.1) | 50.8 (47.3; 54.2) | 0.035 | ||
| 5 years | 24.9 (21.6; 28.4) | 29.6 (26.4; 32.8) | 30.1 (26.9; 33.5) | 0.007 | ||
| 10 years | 14.3 (11.3; 17.6) | 16.4 (13.5; 19.4) | 16.5 (13.7; 19.6) | 0.023 | ||
| 5|1 year | 41.0 (37.0; 44.9) | 44.5 (40.4; 48.5) | 44.9 (40.8; 48.9) | 0.011 | ||
| 5|2 years | 53.4 (48.6; 58.0) | 56.2 (51.6; 60.6) | 57.5 (52.5; 62.2) | 0.070 | ||
| Intrahepatic cholangiocarcinoma | Men | 1 year | 36.3 (31.6; 40.9) | 44.4 (40.1; 48.6) | 44.8 (40.9; 48.6) | 0.090 |
| 2 years | 22.4 (18.2; 26.9) | 30.0 (25.9; 34.2) | 29.2 (25.6; 33.0) | 0.059 | ||
| 5 years | 9.7 (6.7; 13.3) | 12.3 (9.2; 15.8) | 13.9 (10.8; 17.3) | 0.057 | ||
| 10 years | 5.0 (2.9; 8.1) | 7.7 (5.1; 11.0) | 8.5 (5.6; 12.0) | 0.052 | ||
| 5|1 year | 27.3 (19.1; 36.2) | 27.1 (20.5; 34.2) | 30.7 (24.2; 37.5) | 0.367 | ||
| 5|2 years | 43.7 (31.2; 55.6) | 40.2 (30.8; 49.5) | 45.9 (34.8; 56.3) | 0.682 | ||
| Women | 1 year | 46.7 (41.0; 52.2) | 47.0 (42.2; 51.7) | 54.1 (49.5; 58.5) | 0.159 | |
| 2 years | 28.4 (23.1; 33.8) | 33.1 (28.5; 37.8) | 38.1 (33.5; 42.7) | 0.032 | ||
| 5 years | 12.8 (9.1; 17.2) | 14.2 (10.7; 18.1) | 17.4 (13.5; 21.7) | 0.037 | ||
| 10 years | 11.2 (6.8; 16.7) | 9.8 (6.5; 13.9) | 12.2 (8.3; 16.8) | 0.040 | ||
| 5|1 year | 28.5 (20.2; 37.3) | 30.3 (23.2; 37.8) | 32.3 (25.3; 39.4) | 0.116 | ||
| 5|2 years | 47.1 (34.1; 58.9) | 43.2 (33.5; 52.4) | 46.1 (35.9; 55.7) | 0.645 | ||
| Other liver cancer types | Men | 1 year | 38.5 (36.8; 40.2) | 45.7 (43.9; 47.4) | 46.6 (44.7; 48.4) | 0.001 |
| 2 years | 25.7 (24.1; 27.4) | 30.6 (28.9; 32.3) | 33.0 (31.1; 34.9) | <0.001 | ||
| 5 years | 11.2 (9.9; 12.6) | 14.4 (13.0; 15.8) | 16.6 (14.9; 18.4) | <0.001 | ||
| 10 years | 6.1 (5.0; 7.3) | 7.7 (6.5; 9.0) | 9.0 (7.6; 10.6) | <0.001 | ||
| 5|1 year | 28.2 (25.3; 31.2) | 30.7 (28.0; 33.5) | 34.2 (31.2; 37.1) | 0.002 | ||
| 5|2 years | 41.7 (37.7; 45.6) | 46.0 (42.3; 49.7) | 49.3 (45.3; 53.2) | 0.008 | ||
| Women | 1 year | 38.8 (35.6; 42.0) | 44.5 (41.2; 47.8) | 42.5 (39.1; 46.0) | 0.568 | |
| 2 years | 26.5 (23.3; 29.7) | 30.4 (27.3; 33.7) | 31.1 (27.8; 34.5) | 0.282 | ||
| 5 years | 14.3 (11.6; 17.3) | 18.1 (15.2; 21.1) | 17.5 (14.6; 20.5) | 0.253 | ||
| 10 years | 10.1 (7.5; 13.0) | 10.8 (8.3; 13.7) | 10.4 (8.0; 13.3) | 0.284 | ||
| 5|1 year | 34.3 (28.9; 39.7) | 39.0 (34.0; 43.9) | 39.2 (34.2; 44.2) | 0.160 | ||
| 5|2 years | 50.0 (43.3; 56.3) | 56.4 (50.6; 61.8) | 51.5 (44.7; 57.9) | 0.785 | ||
Publisher’s Note: MDPI stays neutral with regard to jurisdictional claims in published maps and institutional affiliations. |
© 2022 by the authors. Licensee MDPI, Basel, Switzerland. This article is an open access article distributed under the terms and conditions of the Creative Commons Attribution (CC BY) license (https://creativecommons.org/licenses/by/4.0/).
Share and Cite
Mancini, S.; Bucchi, L.; Zamagni, F.; Guzzinati, S.; Dal Maso, L.; Rugge, M.; Bisceglia, L.; Serraino, D.; Casella, C.; Caldarella, A.; et al. Trends in Liver Cancer Incidence and Survival in Italy by Histologic Type, 2003–2017. Cancers 2022, 14, 6162. https://doi.org/10.3390/cancers14246162
Mancini S, Bucchi L, Zamagni F, Guzzinati S, Dal Maso L, Rugge M, Bisceglia L, Serraino D, Casella C, Caldarella A, et al. Trends in Liver Cancer Incidence and Survival in Italy by Histologic Type, 2003–2017. Cancers. 2022; 14(24):6162. https://doi.org/10.3390/cancers14246162
Chicago/Turabian StyleMancini, Silvia, Lauro Bucchi, Federica Zamagni, Stefano Guzzinati, Luigino Dal Maso, Massimo Rugge, Lucia Bisceglia, Diego Serraino, Claudia Casella, Adele Caldarella, and et al. 2022. "Trends in Liver Cancer Incidence and Survival in Italy by Histologic Type, 2003–2017" Cancers 14, no. 24: 6162. https://doi.org/10.3390/cancers14246162
APA StyleMancini, S., Bucchi, L., Zamagni, F., Guzzinati, S., Dal Maso, L., Rugge, M., Bisceglia, L., Serraino, D., Casella, C., Caldarella, A., Falcini, F., Musolino, A., Carrozzi, G., Rizzello, R. V., Mangone, L., Mazzoleni, G., Seghini, P., Ferretti, S., & the Italian Cancer Registries’ Collaborative Group. (2022). Trends in Liver Cancer Incidence and Survival in Italy by Histologic Type, 2003–2017. Cancers, 14(24), 6162. https://doi.org/10.3390/cancers14246162

