Both In Situ and Circulating SLC3A2 Could Be Used as Prognostic Markers for Human Lung Squamous Cell Carcinoma and Lung Adenocarcinoma
Abstract
Simple Summary
Abstract
1. Introduction
2. Materials and Methods
2.1. Bioinformatics Analysis
2.2. Blood Samples
2.3. ELISA
2.4. Cell Culture and SLC3A2 Silencing
2.5. Apoptosis Assay
2.6. 5-Aza-2′-Deoxcytidine (5-AzaC) Treatment
2.7. Immunoblotting
2.8. Statistical Analysis
3. Results
3.1. SLC3A2 mRNA Levels and Roles in LUAD and LUSC Tissues
3.2. Methylation Status of SLC3A2 in LUAD and LUSC Tissues
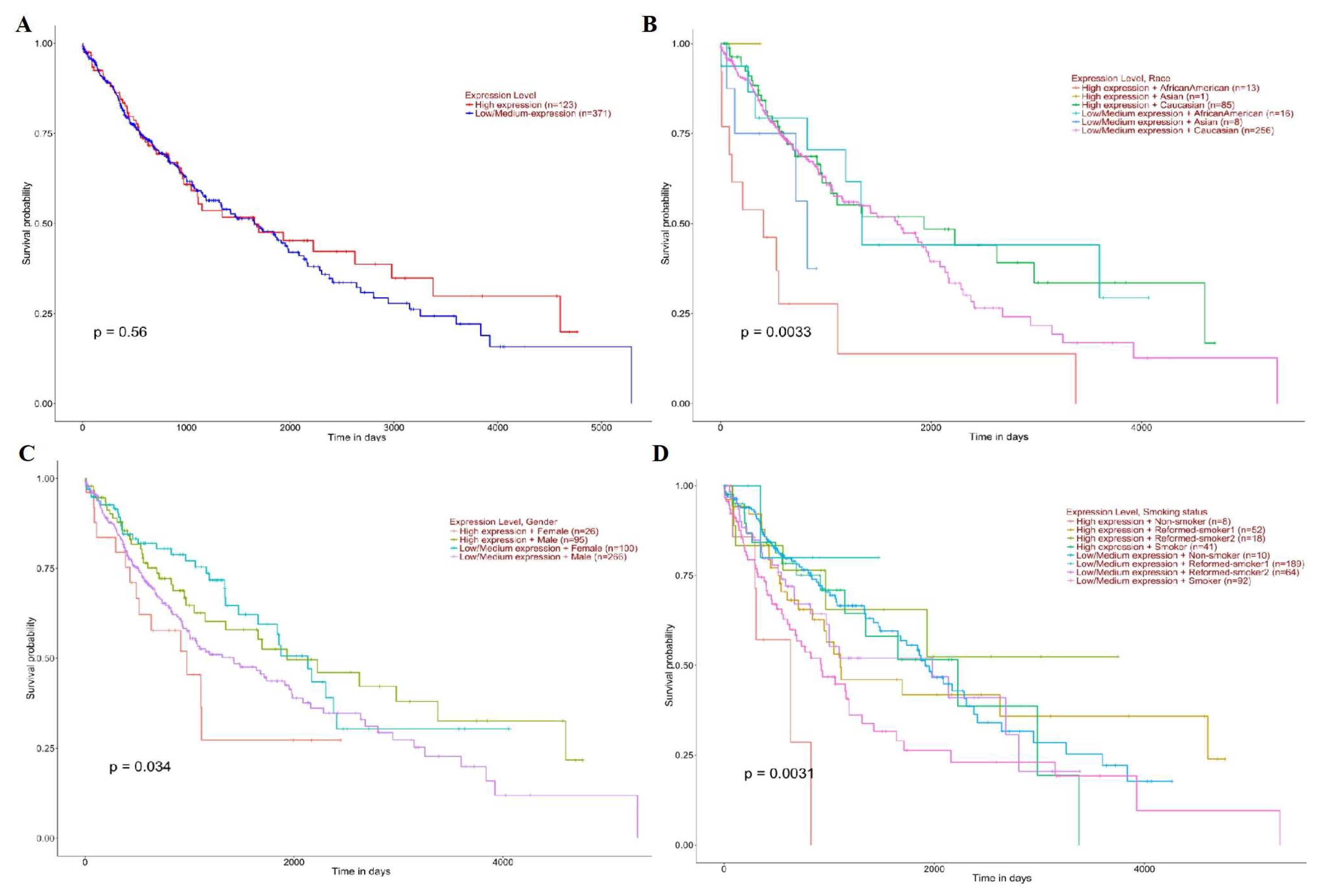
3.3. Tissue SLC3A2 Was a Prognostic Marker for Overall LUAD and Subgroups of LUSC Patients
3.4. Serum SLC3A2 Protein Levels and Roles in LUAD and LUSC Patients
3.5. Tumorigenesis Roles and Mechanisms of SLC3A2 in LUAD and LUSC Cells
4. Discussion
5. Conclusions
Supplementary Materials
Author Contributions
Funding
Institutional Review Board Statement
Informed Consent Statement
Data Availability Statement
Conflicts of Interest
References
- Yin, Y.; Li, D.; He, M.; Wang, J. The identification of hub biomarkers and pathways in lung cancer and prognostic evaluation. Transl. Cancer Res. 2022, 11, 2622–2635. [Google Scholar] [CrossRef] [PubMed]
- Li, N.; Zhai, Z.; Chen, Y.; Li, X. Transcriptomic and immunologic implications of the epithelial-mesenchymal transition model reveal a novel role of SFTA2 in prognosis of non-small-cell lung carcinoma. Front. Genet. 2022, 13, 911801. [Google Scholar] [CrossRef]
- Luddy, K.A.; Teer, J.K.; Freischel, A.; O’Farrelly, C.; Gatenby, R. Evolutionary selection identifies critical immune-relevant genes in lung cancer subtypes. Front. Genet. 2022, 13, 921447. [Google Scholar] [CrossRef]
- Chang, X.; Lu, T.; Xu, R.; Wang, C.; Zhao, J.; Zhang, L. Identification of lactate metabolism-related subtypes and development of a lactate-related prognostic indicator of lung adenocarcinoma. Front. Genet. 2022, 13, 949310. [Google Scholar] [CrossRef] [PubMed]
- Luo, L.; Yao, X.; Xiang, J. Pyroptosis-Related Gene Model Predicts Prognosis and Immune Microenvironment for Non-Small-Cell Lung Cancer. Oxid. Med. Cell. Longev. 2022, 2022, 1749111. [Google Scholar] [CrossRef]
- de Alencar, V.T.L.; Figueiredo, A.B.; Corassa, M.; Gollob, K.J.; Cordeiro de Lima, V.C. Lung cancer in never smokers: Tumor immunology and challenges for immunotherapy. Front. Immunol. 2022, 13, 984349. [Google Scholar] [CrossRef]
- Sung, H.; Ferlay, J.; Siegel, R.L.; Laversanne, M.; Soerjomataram, I.; Jemal, A.; Bray, F. Global Cancer Statistics 2020: GLOBOCAN Estimates of Incidence and Mortality Worldwide for 36 Cancers in 185 Countries. CA Cancer J. Clin. 2021, 71, 209–249. [Google Scholar] [CrossRef]
- He, S.; Li, H.; Cao, M.; Sun, D.; Yang, F.; Yan, X.; Zhang, S.; He, Y.; Du, L.; Sun, X.; et al. Survival of 7311 lung cancer patients by pathological stage and histological classification: A multicenter hospital-based study in China. Transl. Lung Cancer Res. 2022, 11, 1591–1605. [Google Scholar] [CrossRef]
- Qiao, Z.; Zhang, L.; He, J.; He, W. Clinical Significance of Expression of Periostin in Non-small Cell Lung Cancer. J. Coll. Physicians Surg. Pak. 2022, 32, 1149–1153. [Google Scholar] [PubMed]
- Akhtar, N.; Bansal, J.G. Risk factors of Lung Cancer in nonsmoker. Curr. Probl. Cancer 2017, 41, 328–339. [Google Scholar] [CrossRef] [PubMed]
- Eberth, J.M. One Step Forward, Two Steps Back: Progress and Challenges to Implementation of Lung Cancer Screening. Chest 2022, 162, 505–506. [Google Scholar] [CrossRef] [PubMed]
- Rusch, V.W. Five decades of progress in surgical oncology: Tumors of the lung and esophagus. J. Surg. Oncol. 2022, 126, 921–925. [Google Scholar] [CrossRef]
- Lee, Y.; Wiriyasermkul, P.; Jin, C.; Quan, L.; Ohgaki, R.; Okuda, S.; Kusakizako, T.; Nishizawa, T.; Oda, K.; Ishitani, R.; et al. Cryo-EM structure of the human L-type amino acid transporter 1 in complex with glycoprotein CD98hc. Nat. Struct. Mol. Biol. 2019, 26, 510–517. [Google Scholar] [CrossRef] [PubMed]
- Diaz, L.A., Jr.; Fox, D.A. A role for CD98 in cellular activation. J. Biol. Regul. Homeost. Agents. 1998, 12, 25–32. [Google Scholar] [PubMed]
- Ip, H.; Sethi, T. CD98 signals controlling tumorigenesis. Int. J. Biochem. Cell Biol. 2016, 81 Pt A, 148–150. [Google Scholar] [CrossRef]
- Kaira, K.; Oriuchi, N.; Imai, H.; Shimizu, K.; Yanagitani, N.; Sunaga, N.; Hisada, T.; Kawashima, O.; Kamide, Y.; Ishizuka, T.; et al. CD98 expression is associated with poor prognosis in resected non-small-cell lung cancer with lymph node metastases. Ann. Surg. Oncol. 2009, 16, 3473–3481. [Google Scholar] [CrossRef]
- Fei, F.; Li, X.; Xu, L.; Li, D.; Zhang, Z.; Guo, X.; Yang, H.; Chen, Z.; Xing, J. CD147-CD98hc Complex Contributes to Poor Prognosis of NonSmall Cell Lung Cancer Patients Through Promoting Cell Proliferation Via the PI3K/Akt Signaling Pathway. Ann. Surg. Oncol. 2014, 21, 4359–4368. [Google Scholar] [CrossRef]
- Santiago-Gómez, A.; Barrasa, J.I.; Olmo, N.; Lecona, E.; Burghardt, H.; Palacín, M.; Lizarbe, M.A.; Turnay, J. 4F2hc-silencing impairs tumorigenicity of HeLa cells via modulation of galectin-3 and beta-catenin signaling, and MMP-2 expression. Biochim. Biophys. Acta 2013, 1833, 2045–2056. [Google Scholar] [CrossRef]
- Poettler, M.; Unseld, M.; Braemswig, K.; Haitel, A.; Zielinski, C.C.; Prager, G.W. CD98hc (SLC3A2) drives integrin-dependent renal cancer cell behavior. Mol. Cancer 2013, 12, 169. [Google Scholar] [CrossRef]
- Im, Y.R.; Tsui, D.W.Y.; Diaz, L.A., Jr.; Wan, J.C.M. Next-Generation Liquid Biopsies: Embracing Data Science in Oncology. Trends Cancer 2021, 7, 283–292. [Google Scholar] [CrossRef]
- Odeny, T.A.; Farha, N.; Hildebrandand, H.; Allen, J.; Vazquez, W.; Martinez, M.; Paluri, R.K.; Kasi, A. Association between Primary Perioperative CEA Ratio, Tumor Site, and Overall Survival in Patients with Colorectal Cancer. J. Clin. Med. 2020, 9, 3848. [Google Scholar] [CrossRef] [PubMed]
- Chandrashekar, D.S.; Bashel, B.; Balasubramanya, S.A.H.; Creighton, C.J.; Ponce-Rodriguez, I.; Chakravarthi, B.V.S.K.; Varambally, S. UALCAN: A Portal for Facilitating Tumor Subgroup Gene Expression and Survival Analyses. Neoplasia 2017, 19, 649–658. [Google Scholar] [CrossRef] [PubMed]
- Ogawa, H.; Kaira, K.; Motegi, Y.; Yokobori, T.; Takada, T.; Katoh, R.; Osone, K.; Takahashi, R.; Katayama, C.; Oyama, T.; et al. Role of Amino Acid Transporter Expression as a Prognostic Marker in Patients with Surgically Resected Colorectal Cancer. Anticancer Res. 2019, 39, 2535–2543. [Google Scholar] [CrossRef]
- El Ansari, R.; Craze, M.L.; Diez-Rodriguez, M.; Nolan, C.C.; Ellis, I.O.; Rakha, E.A.; Green, A.R. The multifunctional solute carrier 3A2 (SLC3A2) confers a poor prognosis in the highly proliferative breast cancer subtypes. Br. J. Cancer 2018, 118, 1115–1122. [Google Scholar] [CrossRef] [PubMed]
- Digomann, D.; Kurth, I.; Tyutyunnykova, A.; Chen, O.; Löck, S.; Gorodetska, I.; Peitzsch, C.; Skvortsova, I.I.; Negro, G.; Aschenbrenner, B.; et al. The CD98 Heavy Chain Is a Marker and Regulator of Head and Neck Squamous Cell Carcinoma Radiosensitivity. Clin. Cancer Res. 2019, 25, 3152–3163. [Google Scholar] [CrossRef]
- Peled, M.; Bar, J.; Avni, L.; Chatterji, S.; Somech, D.; Dvir, A.; Soussan-Gutman, L.; Onn, A. Early Blood-based Liquid Biopsy in Patients with Treatment-naive Metastatic Adenocarcinoma of the Lung: A Case Series. Isr. Med. Assoc. J. 2020, 22, 784–787. [Google Scholar]
- Hyun, K.A.; Kim, J.; Gwak, H.; Jung, H.I. Isolation and enrichment of circulating biomarkers for cancer screening, detection, and diagnostics. Analyst 2016, 141, 382–392. [Google Scholar] [CrossRef]
- Barbosa, R.; Acevedo, L.A.; Marmorstein, R. The MEK/ERK Network as a Therapeutic Target in Human Cancer. Mol. Cancer Res. 2021, 19, 361–374. [Google Scholar] [CrossRef]
- Shi, Y.; Cao, H.; Liu, Z.; Xi, L.; Dong, C. Echinacoside Induces Mitochondria-Mediated Pyroptosis through Raf/MEK/ERK Signaling in Non-Small Cell Lung Cancer Cells. J. Immunol. Res. 2022, 2022, 3351268. [Google Scholar] [CrossRef]
- Wang, Y.; Zhou, X.; Lei, Y.; Chu, Y.; Yu, X.; Tong, Q.; Zhu, T.; Yu, H.; Fang, S.; Li, G.; et al. NNMT contributes to high metastasis of triple negative breast cancer by enhancing PP2A/MEK/ERK/c-Jun/ABCA1 pathway mediated membrane fluidity. Cancer Lett. 2022, 547, 215884. [Google Scholar] [CrossRef]
- Ondič, O.; Ptáková, N.; Janovský, V.; Vančurová, J.; Hósová, M.; Michal, M.; Pešek, M. Patients with neuregulin 1 (NRG1) rearranged cancer are suitable for the theranostic approach and targeted therapy. Klin. Onkol. 2022, 35, 271–275. [Google Scholar] [CrossRef] [PubMed]
- Shin, D.H.; Kim, S.H.; Choi, M.; Bae, Y.K.; Han, C.; Choi, B.K.; Kim, S.S.; Han, J.Y. Oncogenic KRAS promotes growth of lung cancer cells expressing SLC3A2-NRG1 fusion via ADAM17-mediated shedding of NRG1. Oncogene 2022, 41, 280–292. [Google Scholar] [CrossRef] [PubMed]
- Shin, D.H.; Jo, J.Y.; Han, J.Y. Dual Targeting of ERBB2/ERBB3 for the Treatment of SLC3A2-NRG1-Mediated Lung Cancer. Mol Cancer Ther. 2018, 17, 2024–2033. [Google Scholar] [CrossRef]
- Schram, A.M.; Odintsov, I.; Espinosa-Cotton, M.; Khodos, I.; Sisso, W.J.; Mattar, M.S.; Lui, A.J.W.; Vojnic, M.; Shameem, S.H.; Chauhan, T.; et al. Zenocutuzumab, a HER2xHER3 Bispecific Antibody, Is Effective Therapy for Tumors Driven by NRG1 Gene Rearrangements. Cancer Discov. 2022, 12, 1233–1247. [Google Scholar] [CrossRef] [PubMed]
- Deuschle, F.C.; Morath, V.; Schiefner, A.; Brandt, C.; Ballke, S.; Reder, S.; Steiger, K.; Schwaiger, M.; Weber, W.; Skerra, A. Development of a high affinity Anticalin® directed against human CD98hc for theranostic applications. Theranostics 2020, 10, 2172–2187. [Google Scholar] [CrossRef]









| Clinicopathological Features | LUAD | LUSC | ||||||||
|---|---|---|---|---|---|---|---|---|---|---|
| n | High | Low | χ2 | p | n | High | Low | χ2 | p | |
| Sex | 0.229 | 0.632 | 0.001 | 0.975 | ||||||
| Male | 31 | 15 | 16 | 25 | 14 | 11 | ||||
| Female | 35 | 19 | 16 | 27 | 15 | 12 | ||||
| Age (years) | 0.354 | 0.552 | 0.023 | 0.879 | ||||||
| <60 | 23 | 13 | 10 | 22 | 12 | 10 | ||||
| ≥60 | 43 | 21 | 22 | 30 | 17 | 13 | ||||
| Differentiation | 3.957 | 0.047 | 4.348 | 0.037 | ||||||
| Well or Moderate | 23 | 8 | 15 | 19 | 7 | 12 | ||||
| Poor | 43 | 26 | 17 | 33 | 22 | 11 | ||||
| Lymphatic invasion | 16.00 | 0.00006 | 7.364 | 0.00665 | ||||||
| - | 25 | 5 | 20 | 23 | 8 | 15 | ||||
| + | 41 | 29 | 12 | 29 | 21 | 8 | ||||
| Venous invasion | 14.68 | 0.00013 | 10.53 | 0.00118 | ||||||
| - | 22 | 4 | 18 | 19 | 5 | 14 | ||||
| + | 44 | 30 | 14 | 33 | 24 | 9 | ||||
| Tumor size | 0.487 | 0.485 | 2.526 | 0.112 | ||||||
| <3 cm | 24 | 11 | 13 | 23 | 10 | 13 | ||||
| ≥3 cm | 42 | 23 | 19 | 29 | 19 | 10 | ||||
| pN category | 0.364 | 0.947 | 0.317 | 0.956 | ||||||
| pN0 | 11 | 5 | 6 | 11 | 6 | 5 | ||||
| pN1 | 14 | 8 | 6 | 13 | 8 | 5 | ||||
| pN2 | 20 | 10 | 10 | 18 | 10 | 8 | ||||
| pN3 | 21 | 11 | 10 | 10 | 5 | 5 | ||||
| Smoking status | 0.121 | 0.727 | 0.001 | 0.974 | ||||||
| smokers | 22 | 12 | 10 | 27 | 15 | 12 | ||||
| nonsmokers | 44 | 22 | 22 | 25 | 14 | 11 | ||||
Publisher’s Note: MDPI stays neutral with regard to jurisdictional claims in published maps and institutional affiliations. |
© 2022 by the authors. Licensee MDPI, Basel, Switzerland. This article is an open access article distributed under the terms and conditions of the Creative Commons Attribution (CC BY) license (https://creativecommons.org/licenses/by/4.0/).
Share and Cite
Liu, D.; An, M.; Wen, G.; Xing, Y.; Xia, P. Both In Situ and Circulating SLC3A2 Could Be Used as Prognostic Markers for Human Lung Squamous Cell Carcinoma and Lung Adenocarcinoma. Cancers 2022, 14, 5191. https://doi.org/10.3390/cancers14215191
Liu D, An M, Wen G, Xing Y, Xia P. Both In Situ and Circulating SLC3A2 Could Be Used as Prognostic Markers for Human Lung Squamous Cell Carcinoma and Lung Adenocarcinoma. Cancers. 2022; 14(21):5191. https://doi.org/10.3390/cancers14215191
Chicago/Turabian StyleLiu, Dahua, Min An, Guimin Wen, Yanan Xing, and Pu Xia. 2022. "Both In Situ and Circulating SLC3A2 Could Be Used as Prognostic Markers for Human Lung Squamous Cell Carcinoma and Lung Adenocarcinoma" Cancers 14, no. 21: 5191. https://doi.org/10.3390/cancers14215191
APA StyleLiu, D., An, M., Wen, G., Xing, Y., & Xia, P. (2022). Both In Situ and Circulating SLC3A2 Could Be Used as Prognostic Markers for Human Lung Squamous Cell Carcinoma and Lung Adenocarcinoma. Cancers, 14(21), 5191. https://doi.org/10.3390/cancers14215191

