Efficient Synthesis with Green Chemistry Approach of Novel Pharmacophores of Imidazole-Based Hybrids for Tumor Treatment: Mechanistic Insights from In Situ to In Silico
Abstract
Simple Summary
Abstract
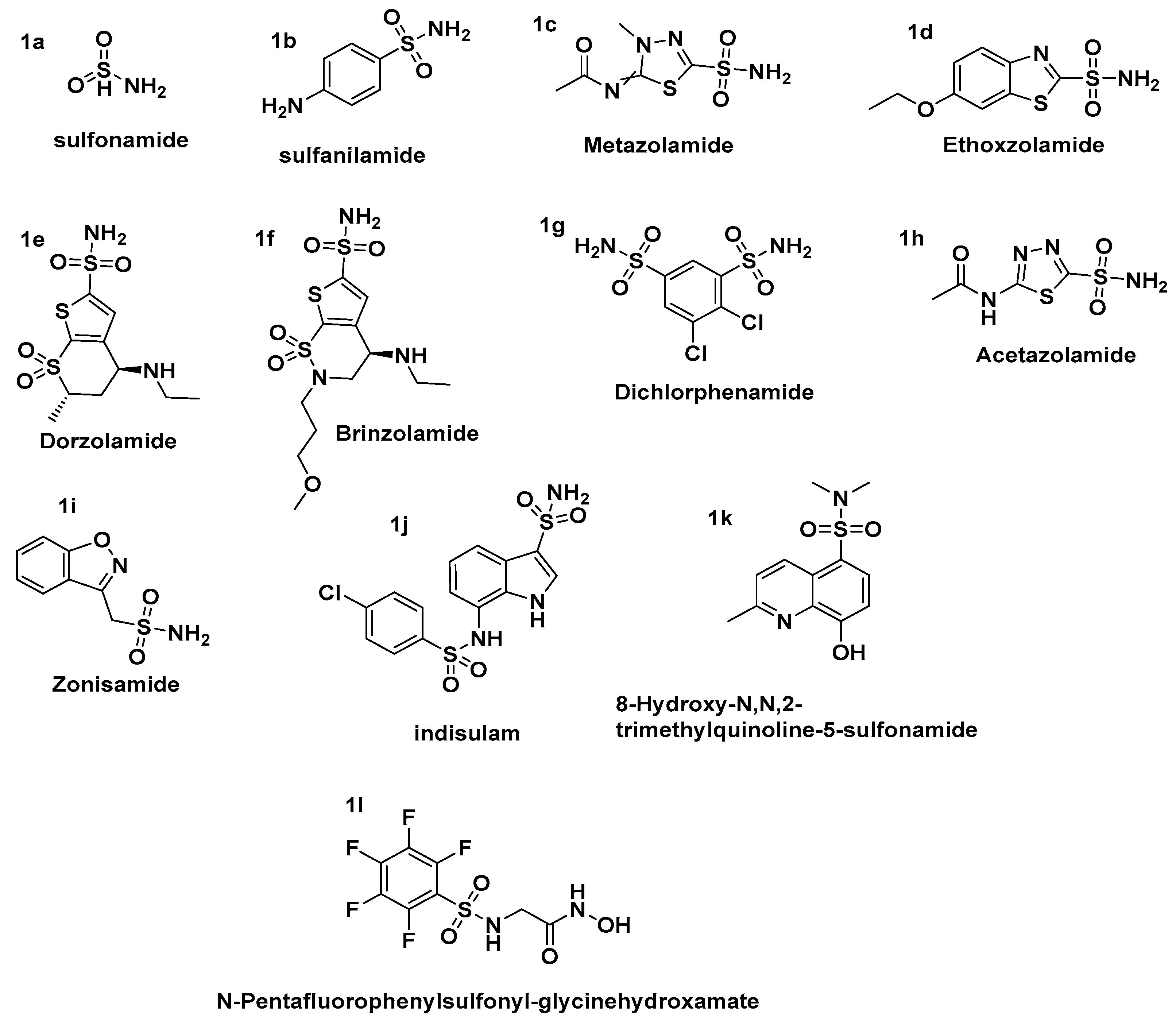
1. Introduction
2. Materials and Methods
2.1. Chemistry: General Procedure for the Synthesis of Compounds
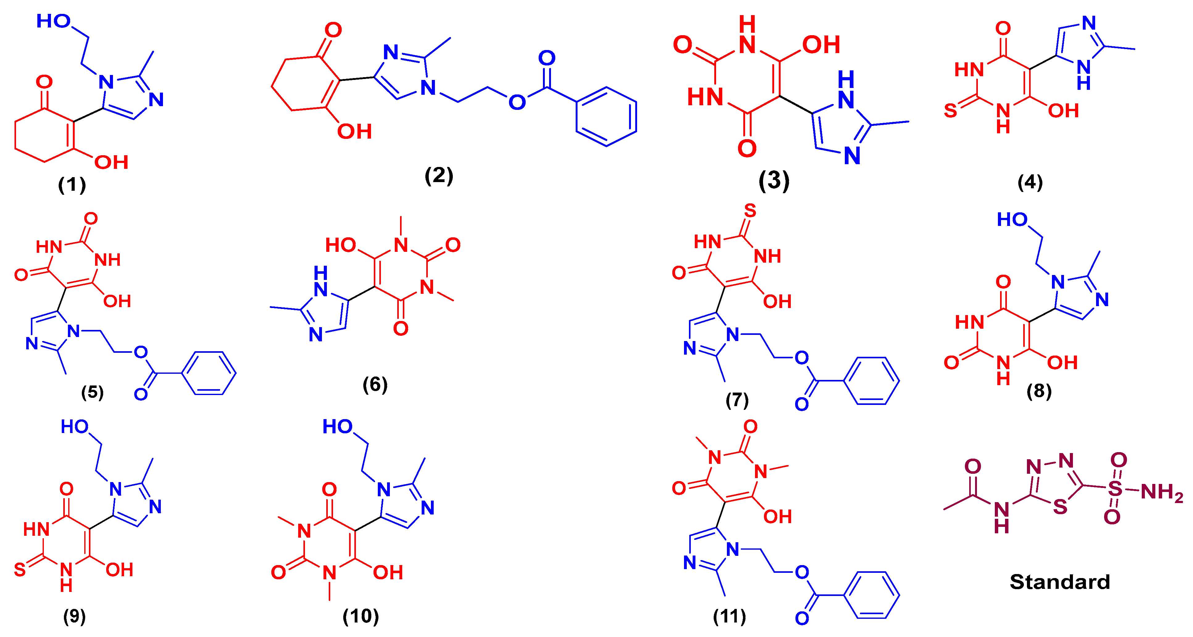
- 3-hydroxy-2-(1-(2-hydroxyethyl)-2-methyl-1H-imidazol-5-yl) cyclohex-2-en-1-one (1)Yield: 35% (70 mg) as light brown solid; purification: chromatography: DCM: MeOH (9.5:0.5 to 3:1) over silica; m.p = 186–190 °C; FTIR (cm−1): V(C=O) = 1684, V(C=C) = 1600, V(C=N) = 1515, V(C-O) = 1276; 1H NMR (600 MHz, DMSO-d6): δ 14.89 (s, O121H), 7.56 (s, C8 1H), 4.95 (t, J = 5.3 Hz, O 181H), 4.01 (t, J = 5.1 Hz, C172H), 3.64 (t, J = 5.0 Hz, C162H), 2.48 (s, C19 3H), 2.28 (t, J = 6.3 Hz, C1 & 5 4H), 1.82 (p, J = 6.3 Hz, C6 2H); HRMS (ESI+): calculated for C12H16N2O3 (M + H+) 237.27, found 237.12.
- 2-(5-(2-hydroxy-6-oxocyclohex-1-en-1-yl)-2-methyl-1H-imidazol-1-yl) ethyl benzoate (2)Yield: 24% (65 mg) as greenish-yellow solid; purification: filtration, washed with water and methanol; m.p. = 150–154 °C; FTIR (cm−1): V(C=O) = 1713, V(C=C) = 1588, V(C-O) = 1266; 1H NMR (600 MHz, DMSO-d6): δ 7.89 (d, J = 7.7 Hz, C 23 & 272H), 7.63 (t, J = 7.4 Hz, C25 1H), 7.50 (t, J = 7.6 Hz, C24 & 262H), 6.60 (s, C8 1H), 4.33 (t, J = 5.4 Hz, C17 2H), 4.11 (t, J = 5.4 Hz, C16 2H), 2.44 (s, C193H), 2.15 (t, J = 6.3 Hz, C1 & 5 4H), 1.76 (p, J = 6.3 Hz, C6 2H); HRMS (ESI+): calculated for C19H20N2O4 (M + H+) 341.38, found 341.14.
- 6-hydroxy-5-(2-methyl-1H-imidazol-5-yl) pyrimidine-2,4(1H,3H)-dione (3)Yield: total 78% (161 mg) as pink solid; purification: filtration, washed with water and methanol; m.p. = 215 °C decomposed; FTIR (cm−1): V(C=O) = 1687, V(C=O) = 1637, V(C=C) = 1580, V(C-O) = 1244; HRMS (ESI+): calculated for C8H8N4O3 (M + H+) 209.18, found 209.04; 1H NMR (600 MHz, DMSO-d6): δ 13.15 (s O121H), 9.66 (s, N1 & 5 2H), 7.33 (s, C8 1H), 2.52 (s, C15 3H).
- 6-hydroxy-5-(2-methyl-1H-imidazol-5-yl)-2-thioxo-2,3-dihydropyrimidin-4(1H)-one (4)Yield: total 71% (166 mg) as grey solid; purification: filtration, washed with water and methanol; m.p. = not determined (above 300 °C); FTIR (cm−1): V(C=O) = 1644, V(C=C) = 1590, V(C=N) = 1522, V(C-O) = 1272; 1H NMR (600 MHz, DMSO-d6): δ 13.33 (s, O121H), 13.09 (s, N16 1H), 11.09 (s, N1 & 5 2H), 7.43 (s, C8 1H), 2.53 (s, C15 3H); HRMS (ESI+) calculated for C8H8N4O2S (M + H+) 225.25, found 225.02.
- 2-(5-(6-hydroxy-2,4-dioxo-1,2,3,4-tetrahydropyrimidin-5-yl)-2-methyl-1H-imidazol-1-yl) ethyl benzoate (5)Yield: 69% (249 mg) as white powder; purification: DCM: MeOH (9.5:0.5 to 3:1) over silica; m.p. = 275–280 °C; FTIR(cm−1): V(C=O) = 1714, V(C=C) = 1566, V(C=N) = 1515, V(C-O) = 1269; 1H NMR (600 MHz, DMSO-d6): δ 13.64 (s, O121H), 9.44 (s, N1 & 5 2H), 7.89 (d, J = 7.6 Hz, C23 & 272H), 7.65 (t, J = 7.4 Hz, C25 1H), 7.52 (t, J = 7.6 Hz, C24 & 26 2H), 7.15 (s, C8 1H), 4.45 (t, J = 5.1 Hz, C172H), 4.42 (t, J = 5.2 Hz, C162H), 2.64 (s, C193H); HRMS (ESI+): calculated for C17H16N4O5 (M + H+) 357.34, found 357.11.
- 6-hydroxy-1,3-dimethyl-5-(2-methyl-1H-imidazol-5-yl) pyrimidine-2,4(1H,3H)-dione (6)Yield: total 75% (185 mg) pink solid product; purification: DCM: MeOH (9.5:0.5 to 3:1) over silica; m.p. = not determined (above 300 °C); FTIR (cm−1): V(C=O) = 1633, V(C=C) = 1592, V(C=N) = 1555, V(C-O) = 1253; 1H NMR (600 MHz, DMSO-d6): δ 13.23 (s, O121H), 7.44 (s, C8 1H), 3.31 (s, C17 & 18 6H), 2.53 (s, C15 3H); HRMS (ESI+): calculated for C10H12N4O3 (M + H+) 237.24, found 237.04.
- 2-(5-(6-hydroxy-4-oxo-2-thioxo-1,2,3,4-tetrahydropyrimidin-5-yl)-2-methyl-1H-imidazol-1-yl) ethyl benzoate (7)Yield: 69% (240 mg) dark brown product; purification: filtration, washed with water and methanol; m.p = 225–230 °C; FTIR (cm−1): V(C=O) = 1706, V(C=O) 1665 = V(C=C) = 1635, V(C=N) = 1526, V(C-O) = 1275; 1H NMR (600 MHz, DMSO-d6): δ 13.76 (s, O121H), 10.85 (s, N1 & 52H), 7.89 (d, J = 7.7 Hz, C23 & 272H), 7.64 (d, J = 7.4 Hz, C25 1H), 7.53 (t, J = 7.4 Hz, C24 & 262H), 7.20 (s, C8 1H), 4.44 (t, J = 4.5 Hz, C172H), 4.43 (t, J = 4.6 Hz, C162H), 2.64 (s, C193H). HRMS (ESI+): calculated for C17H16N4O4S (M + H+) 373.41, found 373.09.
- 6-hydroxy-5-(1-(2-hydroxyethyl)-2-methyl-1H-imidazol-5-yl) pyrimidine-2,4 (1H, 3H)-dione (8)Yield: 78% (176 mg) as pale yellow powder; purification: filtration, washed with water and methanol; m.p = not determined (above 300 °C); FTIR (cm−1): V(C=O) = 1684, V(C=C) = 1626, V(C=N) = 1547, V(C-O) = 1277; 1H NMR (600 MHz, DMSO-d6): δ 9.37 (s, N1 & 5 2H), 7.04 (s, C8 1H), 5.05 (s, O 18 1H), 3.95 (t, J = 5.5 Hz, C172H), 3.55 (t, J = 5.4 Hz, C162H), 2.56 (s, C19 3H); HRMS (ESI+): calculated for C10H12N4O4 (M + H+) 253.23, found 253.09.
- 6-hydroxy-5-(1-(2-hydroxyethyl)-2-methyl-1H-imidazol-5-yl)-2-thioxo-2,3-dihydropyrimidin-4(1H)-one (9)Yield: 76% (193 mg) as pale yellow powder; purification: filtration, washed with water and methanol; m.p. = not determined (above 300 °C); FTIR (cm−1): V(C=O) = 1645, V(C=C) = 1584, V(C=N) = 1520, V(C-O) = 1278; 1H NMR (600 MHz, DMSO-d6): δ 13.07 (s, O121H), 11.10 (s, N1 &52H), 7.54 (s, C8 1H), 5.07 (t, J = 5.5 Hz, O 181H), 4.09 (t, J = 5.1 Hz, C172H), 3.67 (t, J = 4.7 Hz, C162H), 2.58 (s, C193H); HRMS (ESI+): calculated for C10H12N4O3S (M + H+) 269.29, found 269.09.
- 6-hydroxy-5-(1-(2-hydroxyethyl)-2-methyl-1H-imidazol-5-yl)-1,3-dimethylpyrimidine-2,4(1H,3H)-dione (10)Yield: 70% (185 mg) as light pink crystalline solid; purification: filtration, washed with water and methanol; m.p. = 163–165 °C; FTIR (cm−1): V(C=O) = 1707, V(C=C) = 1626, V(C=N) = 1562, V(C-O) = 1261; 1H NMR (600 MHz, DMSO-d6): δ 13.48 (s, O121H), 7.11 (s, C8 1H), 4.98 (t, J = 5.2 Hz, O 181H), 3.93 (t, J = 5.4 Hz, C172H), 3.51 (t, J = 5.3 Hz, C162H), 3.07 (s, C19 & 20 6H), 2.60 (s, C21 3H); HRMS (ESI+): calculated for C12H16N4O4 (M + H+) 281.28, found 281.10.
- 2-(5-(6-hydroxy-1,3-dimethyl-2,4-dioxo-1,2,3,4-tetrahydropyrimidin-5-yl)-2-methyl-1H-imidazol-1-yl) ethyl benzoate (11)Yield: 78% (273 mg) as light pink crystalline solid; filtration, washed with water and methanol; m.p. = 180–185 °C; FTIR (cm−1): V(C=O) = 1724, V(C=O) = 1679, V(C=C) = 1575, V(C-O) = 1258; 1H NMR (600 MHz, DMSO-d6): δ 13.66 (s, O121H), 7.86 (d, J = 7.7 Hz, C23 & 272H), 7.64 (t, J = 7.4 Hz, C25 1H), 7.49 (t, J = 7.6 Hz, C24 & 262H), 7.16 (s, C8 1H), 4.42 (t, J = 4.0 Hz, C172H), 4.41 (t, J = 4.1 Hz, C162H), 3.03 (s, C28 & 29 6H), 2.65 (s, C193H); HRMS (ESI+): calculated for C19H20N4O5 (M + H+) 385.39, found 385.15.
2.2. Inhibition of Human CA-II and CA-IX
2.3. In Situ Evaluation of Anticancer Properties
2.4. Molecular Docking
3. Results and Discussion
3.1. Chemistry
3.2. In Vitro Testing of Imidazole–Pyrimidine Hybrids against CAs Isozymes
3.3. Mechanistic Studies
3.4. Specificity of Compounds for Specific Target
3.5. Predictive Structure Activity Relationship (SAR) of Imidazole Derivatives in hCA-IX and hCA-II
3.6. Anticancer Potential of the Synthesized Hybrids
4. Conclusions
Supplementary Materials
Author Contributions
Funding
Institutional Review Board Statement
Informed Consent Statement
Data Availability Statement
Acknowledgments
Conflicts of Interest
References
- Supuran, C.T.; De Simone, G. Carbonic Anhydrases as Biocatalysts: From Theory to Medical and Industrial Applications; Elsevier: Amsterdam, The Netherlands, 2015. [Google Scholar]
- Supuran, C.T.; Alterio, V.; Di Fiore, A.; D’Ambrosio, K.; Carta, F.; Monti, S.M.; De Simone, G. Inhibition of carbonic anhydrase IX targets primary tumors, metastases, and cancer stem cells: Three for the price of one. Med. Res. Rev. 2018, 38, 1799–1836. [Google Scholar] [CrossRef] [PubMed]
- Supuran, C.T. Carbonic anhydrases and metabolism. Metabolites 2018, 8, 25. [Google Scholar] [CrossRef]
- Supuran, C.T. Structure and function of carbonic anhydrases. Biochem. J. 2016, 473, 2023–2032. [Google Scholar] [CrossRef] [PubMed]
- Barrese, A.A., III; Genis, C.; Fisher, S.Z.; Orwenyo, J.N.; Kumara, M.T.; Dutta, S.K.; Phillips, E.; Kiddle, J.J.; Tu, C.; Silverman, D.N. Inhibition of carbonic anhydrase II by thioxolone: A mechanistic and structural study. Biochemistry 2008, 47, 3174–3184. [Google Scholar] [CrossRef] [PubMed]
- Supuran, C.T. Applications of carbonic anhydrases inhibitors in renal and central nervous system diseases. Expert Opin. Ther. Patents 2018, 28, 713–721. [Google Scholar] [CrossRef] [PubMed]
- Scozzafava, A.; Supuran, C.T. Glaucoma and the applications of carbonic anhydrase inhibitors. In Carbonic Anhydrase: Mechanism, Regulation, Links to Disease, and Industrial Applications; Susan, C., Frost, R.M., Eds.; Springer: Berlin/Heidelberg, Germany, 2014; Volume 75, pp. 349–359. [Google Scholar]
- Chafe, S.C.; Vizeacoumar, F.S.; Venkateswaran, G.; Nemirovsky, O.; Awrey, S.; Brown, W.S.; McDonald, P.C.; Carta, F.; Metcalfe, A.; Karasinska, J.M.; et al. Genome-wide synthetic lethal screen unveils novel CAIX-NFS1/xCT axis as a targetable vulnerability in hypoxic solid tumors. Sci. Adv. 2021, 7, eabj0364. [Google Scholar] [CrossRef] [PubMed]
- Benej, M.; Pastorekova, S.; Pastorek, J. Carbonic anhydrase IX: Regulation and role in cancer. In Carbonic Anhydrase: Mechanism, Regulation, Links to Disease, and Industrial Applications; Susan, C., Frost, R.M., Eds.; Springer: Berlin/Heidelberg, Germany, 2014; Volume 75, pp. 199–2019. [Google Scholar]
- Kopecka, J.; Campia, I.; Jacobs, A.; Frei, A.P.; Ghigo, D.; Wollscheid, B.; Riganti, C. Carbonic anhydrase XII is a new therapeutic target to overcome chemoresistance in cancer cells. Oncotarget 2015, 6, 6776. [Google Scholar] [CrossRef] [PubMed]
- Ciccone, V.; Filippelli, A.; Angeli, A.; Supuran, C.T.; Morbidelli, L. Pharmacological inhibition of CA-IX impairs tumor cell proliferation, migration and invasiveness. Int. J. Mol. Sci. 2020, 21, 2983. [Google Scholar] [CrossRef]
- Hollo, G.; Chiselita, D.; Petkova, N.; Cvenkel, B.; Liehneova, I.; Izgi, B.; Berta, A.; Szaflik, J.; Turacli, E.; Stewart, W. The efficacy and safety of timolol maleate versus brinzolamide each given twice daily added to travoprost in patients with ocular hypertension or primary open-angle glaucoma. Eur. J. Ophthalmol. 2006, 16, 816–823. [Google Scholar] [CrossRef] [PubMed]
- Anitha, D.; Suganthi, M.; Gnanendra, S.; Govarthanan, M. Identification of potential carbonic anhydrase inhibitors for glaucoma treatment through an in-silico approach. Int. J. Pept. Res. Ther. 2020, 26, 2147–2154. [Google Scholar] [CrossRef]
- McDonald, P.C.; Winum, J.Y.; Supuran, C.T.; Dedhar, S. Recent developments in targeting carbonic anhydrase IX for cancer therapeutics. Oncotarget 2012, 3, 84. [Google Scholar] [CrossRef] [PubMed]
- Neri, D.; Supuran, C.T. Interfering with pH regulation in tumours as a therapeutic strategy. Nat. Rev. Drug Discov. 2011, 10, 767–777. [Google Scholar] [CrossRef] [PubMed]
- Angeli, A.; Carta, F.; Nocentini, A.; Winum, J.Y.; Zalubovskis, R.; Akdemir, A.; Supuran, C.T. Carbonic anhydrase inhibitors targeting metabolism and tumor microenvironment. Metabolites 2020, 10, 412. [Google Scholar] [CrossRef] [PubMed]
- Lindskog, S. Structure and mechanism of carbonic anhydrase. Pharmacol. Ther. 1997, 74, 1–20. [Google Scholar] [CrossRef]
- Supuran, C.T.; Scozzafava, A.; Conway, J. Carbonic Anhydrase: Its Inhibitors and Activators; CRC Press: Boca Raton, FL, USA, 2004; Volume 1. [Google Scholar]
- Scozzafava, A.; Supuran, C. Carbonic anhydrase inhibitors and their therapeutic potential. Expert Opin. Ther. Patents 2000, 10, 575–600. [Google Scholar]
- Mann, T.; Keilin, D. Sulphanilamide as a specific inhibitor of carbonic anhydrase. Nature 1940, 146, 164–165. [Google Scholar] [CrossRef]
- Supuran, C.T.; Scozzafava, A.; Casini, A. Carbonic anhydrase inhibitors. Med. Res. Rev. 2003, 23, 146–189. [Google Scholar] [CrossRef]
- Supuran, C.T.; Vullo, D.; Manole, G.; Casini, A.; Scozzafava, A. Designing of novel carbonic anhydrase inhibitors and activators. Curr. Med. Chem. Cardiovasc. Hematol. Agents 2004, 2, 49–68. [Google Scholar] [CrossRef]
- Winum, J.-Y.; Scozzafava, A.; Montero, J.-L.; Supuran, C.T. New zinc binding motifs in the design of selective carbonic anhydrase inhibitors. Mini Reviews Med. Chem. 2006, 6, 921–936. [Google Scholar] [CrossRef] [PubMed]
- Scolnick, L.R.; Clements, A.M.; Liao, J.; Crenshaw, L.; Hellberg, M.; May, J.; Dean, T.R.; Christianson, D.W. Novel binding mode of hydroxamate inhibitors to human carbonic anhydrase II. J. Am. Chem. Soc. 1997, 119, 850–851. [Google Scholar] [CrossRef]
- Popovic, M.M.; Schlenker, M.B.; Thiruchelvam, D.; Redelmeier, D.A. Serious Adverse Events of Oral and Topical Carbonic Anhydrase Inhibitors. JAMA Ophthalmol. 2022, 140, 235–242. [Google Scholar] [CrossRef] [PubMed]
- Supuran, C.T. Emerging role of carbonic anhydrase inhibitors. Clin. Sci. 2021, 135, 1233–1249. [Google Scholar] [CrossRef] [PubMed]
- Chow, T.G.; Khan, D.A. Sulfonamide hypersensitivity. Clin. Rev. Allergy Immunol. 2022, 62, 400–412. [Google Scholar] [CrossRef] [PubMed]
- Bereznyakov, I.; Imanova, N.; Doroshenko, O.; Lebedynska, M. Cross-Reactivity to Antibiotics: Propositions for Selecting Alternatives. Med. Messag. 2022, 75, 1752–1756. [Google Scholar] [CrossRef]
- Kumar, S.; Ceruso, M.; Tuccinardi, T.; Supuran, C.T.; Sharma, P.K. Pyrazolylbenzo [d] imidazoles as new potent and selective inhibitors of carbonic anhydrase isoforms hCA IX and XII. Bioorganic Med. Chem. 2016, 24, 2907–2913. [Google Scholar] [CrossRef]
- Shao, K.-P.; Zhang, X.-Y.; Chen, P.-J.; Xue, D.-Q.; He, P.; Ma, L.-Y.; Zheng, J.-X.; Zhang, Q.-R.; Liu, H.-M. Synthesis and biological evaluation of novel pyrimidine–benzimidazol hybrids as potential anticancer agents. Bioorganic Med. Chem. Lett. 2014, 24, 3877–3881. [Google Scholar] [CrossRef]
- Welsh, J. Animal models for studying prevention and treatment of breast cancer. In Animal Models for the Study of Human Disease; Elsevier: Amsterdam, The Netherlands, 2013; pp. 997–1018. [Google Scholar]
- Sakhi, M.; Khan, A.; Iqbal, Z.; Khan, I.; Raza, A.; Ullah, A.; Nasir, F.; Khan, S.A. Design and Characterization of Paclitaxel-Loaded Polymeric Nanoparticles Decorated With Trastuzumab for the Effective Treatment of Breast Cancer. Front. Pharmacol. 2022, 13, 855294. [Google Scholar] [CrossRef]
- Maher, M.; Kassab, A.E.; Zaher, A.F.; Mahmoud, Z. Novel pyrazolo [3,4-d] pyrimidines: Design, synthesis, anticancer activity, dual EGFR/ErbB2 receptor tyrosine kinases inhibitory activity, effects on cell cycle profile and caspase-3-mediated apoptosis. J. Enzym. Inhib. Med. Chem. 2019, 34, 532–546. [Google Scholar] [CrossRef]
- Fisher, Z.; Koruza, K. X-ray crystal structure of perdeuterated (D) small monoclinic unit cell CA IX SV. Acta Crystallogr. Sect. D Struct. Biol. 2019, 75, 895–903. [Google Scholar]
- Boriack-Sjodin, P.A.; Zeitlin, S.; Christianson, D.W.; Chen, H.H.; Crenshaw, L.; Gross, S.; Dantanarayana, A.; Delgado, P.; May, J.A.; Dean, T. Structural analysis of inhibitor binding to human carbonic anhydrase II. Protein Sci. 1998, 7, 2483–2489. [Google Scholar] [CrossRef]
- Molecular Operating Environment (MOE). Chemical Computing Group ULC: 1010 Sherbooke St. West, Suite 910; H3A 2R7; Molecular Operating Environment (MOE): Montreal, QC, Canada, 2022. [Google Scholar]
- Pettersen, E.F.; Goddard, T.D.; Huang, C.C.; Couch, G.S.; Greenblatt, D.M.; Meng, E.C.; Ferrin, T.E. UCSF Chimera: A visualization system for exploratory research and analysis. J. Comput. Chem. 2004, 25, 1605–1612. [Google Scholar] [CrossRef] [PubMed]
- Shah, S.R.; Ali, M.; Anwar, M.U.; Al-Harrasi, A. A highly green approach towards aromatic nitro group substitutions: Catalyst free reactions of nitroimidazoles with carbon nucleophiles in water. RSC Adv. 2020, 10, 21656–21661. [Google Scholar] [CrossRef] [PubMed]
- Carey, F.A.; Sundberg, R.J. Advanced Organic Chemistry: Part B: Reactions and Synthesis; Springer: New York, NY, USA, 2007; Volume 5. [Google Scholar]








| Compounds | hCA-IX | hCA-II |
|---|---|---|
| IC50 ± SEM | IC50 ± SEM | |
| 1 | 23.0 ± 0.5 | 11.6 ± 0.2 |
| 2 | Inactive | 12.3 ± 0.1 |
| 3 | 10.9 ± 0.8 | 30.7 ± 3.4 |
| 4 | 17.1 ± 0.6 | 31.1 ± 1.3 |
| 5 | Inactive | Inactive |
| 6 | Inactive | Inactive |
| 7 | 9.6 ± 0.2 | Inactive |
| 8 | 32.2 ± 1.0 | Inactive |
| 9 | 19.9 ± 0.8 | 27.5 ± 1.3 |
| 10 | 14.8 ± 0.1 | Inactive |
| 11 | 11.9 ± 0.3 | 15.3 ± 0.3 |
| Acetazolamide | 17.21 ± 0.25 | 18.60 ± 0.26 |
| Compounds | Ki ± SEM | *Vmax | *Vmaxapp | *Km | *Kmapp | Type of Inhibition |
|---|---|---|---|---|---|---|
| hCA-IX | ||||||
| 7 | 7.32 ± 0.02 | 23.01 | 23.01 | 0.53 | 0.41 | Competitive |
| 3 | 8.01 ± 0.01 | 23.01 | 23.01 | 0.45 | 0.38 | Competitive |
| 11 | 8.32 ± 0.05 | 23.01 | 23.01 | 0.55 | 0.42 | Competitive |
| 10 | 13.24 ± 0.03 | 23.01 | 23.01 | 0.49 | 0.40 | Competitive |
| 4 | 15.02 ± 0.04 | 23.01 | 23.01 | 0.51 | 0.43 | Competitive |
| 9 | 17.02 ± 0.02 | 23.01 | 23.01 | 0.56 | 0.47 | Competitive |
| hCA-II | ||||||
| 1 | 9.14 ± 0.08 | 19.32 | 19.32 | 0. 28 | 0.20 | Competitive |
| 2 | 11.32 ± 0.02 | 19.32 | 19.32 | 0.26 | 0.17 | Competitive |
| 11 | 12.58 ± 0.04 | 19.32 | 19.32 | 0.24 | 0.14 | Competitive |
| Compounds | MDA-MB-231 | MCF-10A | ||||||
|---|---|---|---|---|---|---|---|---|
| Concentration (μM) | %Viability | %Inhibition | IC50 (μM) | Concentration (μM) | %Viability | %Inhibition | IC50 (μM) | |
| 1 | 100 | 48.56 | 51.44 | 96.01 | 100 | 86.76 | 13.2 | >100 |
| 2 | 100 | 28.43 | 71.57 | 62.85 | 100 | 84.35 | 15.7 | >100 |
| 3 | 100 | 38.79 | 61.21 | 76.07 | 100 | 85.65 | 14.3 | >100 |
| 4 | 100 | 39.52 | 60.48 | 75.65 | 100 | 82.13 | 17.9 | >100 |
| 5 | 100 | 17.93 | 82.07 | 53.65 | 100 | 79.47 | 20.5 | >100 |
| 6 | 100 | 41.58 | 58.42 | 79.43 | 100 | 86.81 | 13.2 | >100 |
| 7 | 100 | 30.82 | 69.18 | 64.01 | 100 | 86.82 | 13.2 | >100 |
| 8 | 100 | 22.25 | 77.75 | 55.65 | 100 | 84.55 | 15.5 | >100 |
| 9 | 100 | 26.5 | 73.5 | 58.62 | 100 | 84.5 | 13.2 | >100 |
| 10 | 100 | 24.51 | 75.49 | 60.93 | 100 | 84.9 | 15.1 | >100 |
| 11 | 100 | 31.82 | 68.18 | 63.10 | 100 | 87.87 | 12.1 | >100 |
Publisher’s Note: MDPI stays neutral with regard to jurisdictional claims in published maps and institutional affiliations. |
© 2022 by the authors. Licensee MDPI, Basel, Switzerland. This article is an open access article distributed under the terms and conditions of the Creative Commons Attribution (CC BY) license (https://creativecommons.org/licenses/by/4.0/).
Share and Cite
Khan, M.; Shah, S.R.; Khan, F.; Halim, S.A.; Rahman, S.M.; Khalid, M.; Khan, A.; Al-Harrasi, A. Efficient Synthesis with Green Chemistry Approach of Novel Pharmacophores of Imidazole-Based Hybrids for Tumor Treatment: Mechanistic Insights from In Situ to In Silico. Cancers 2022, 14, 5079. https://doi.org/10.3390/cancers14205079
Khan M, Shah SR, Khan F, Halim SA, Rahman SM, Khalid M, Khan A, Al-Harrasi A. Efficient Synthesis with Green Chemistry Approach of Novel Pharmacophores of Imidazole-Based Hybrids for Tumor Treatment: Mechanistic Insights from In Situ to In Silico. Cancers. 2022; 14(20):5079. https://doi.org/10.3390/cancers14205079
Chicago/Turabian StyleKhan, Majid, Syed Raza Shah, Faizullah Khan, Sobia Ahsan Halim, Shaikh Mizanoor Rahman, Mohammad Khalid, Ajmal Khan, and Ahmed Al-Harrasi. 2022. "Efficient Synthesis with Green Chemistry Approach of Novel Pharmacophores of Imidazole-Based Hybrids for Tumor Treatment: Mechanistic Insights from In Situ to In Silico" Cancers 14, no. 20: 5079. https://doi.org/10.3390/cancers14205079
APA StyleKhan, M., Shah, S. R., Khan, F., Halim, S. A., Rahman, S. M., Khalid, M., Khan, A., & Al-Harrasi, A. (2022). Efficient Synthesis with Green Chemistry Approach of Novel Pharmacophores of Imidazole-Based Hybrids for Tumor Treatment: Mechanistic Insights from In Situ to In Silico. Cancers, 14(20), 5079. https://doi.org/10.3390/cancers14205079

