Real-World Data on Newly Diagnosed BRCA-Mutated High-Grade Epithelial Ovarian Cancers: The French National Multicenter ESME Database
Abstract
:Simple Summary
Abstract
1. Introduction
2. Materials and Methods
2.1. Study Design and Selection Criteria
2.2. Primary and Secondary Objectives
2.3. Statistical Analyses
3. Results
3.1. Clinicopathological Features
3.2. Treatment Characteristics
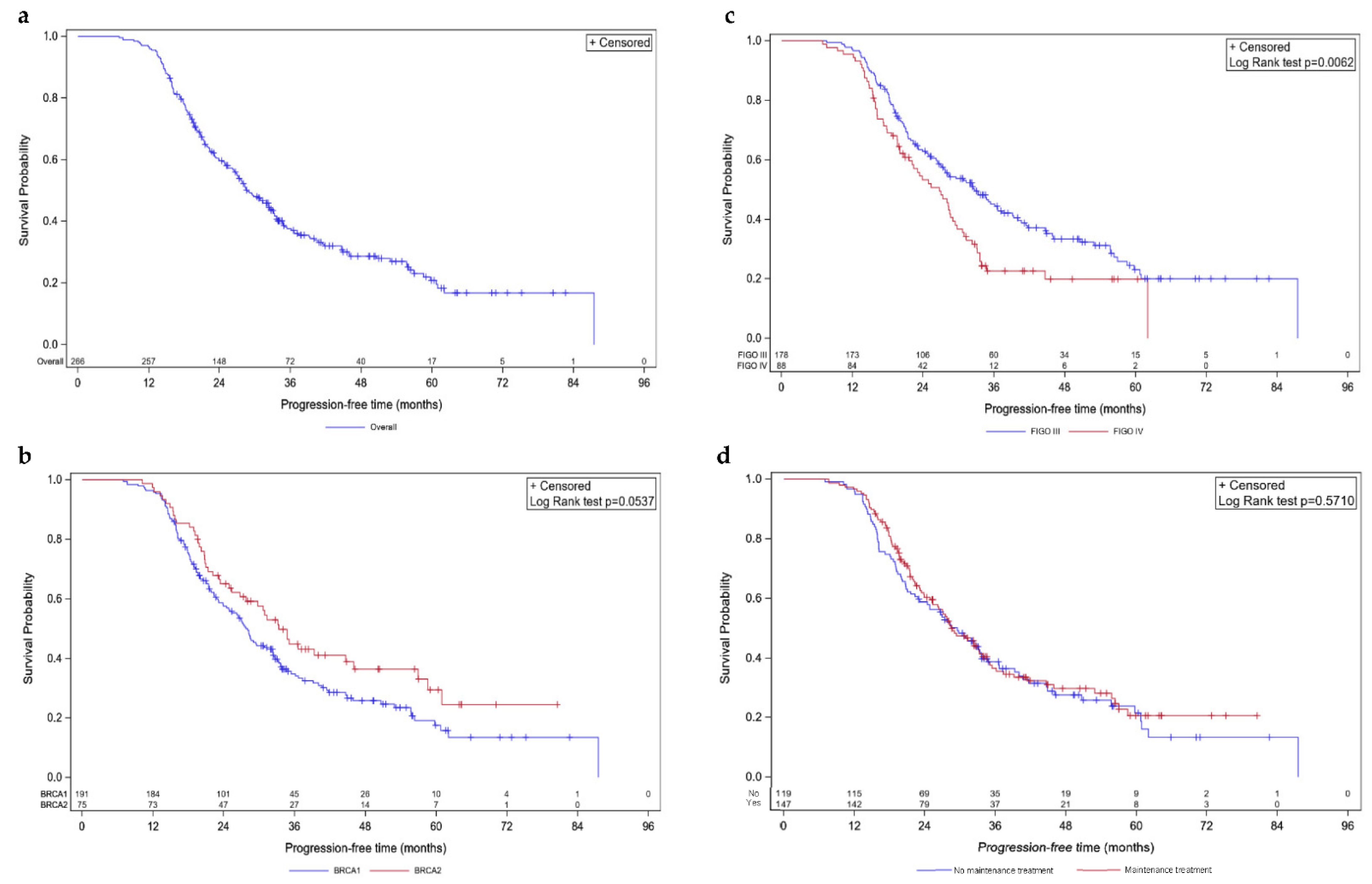
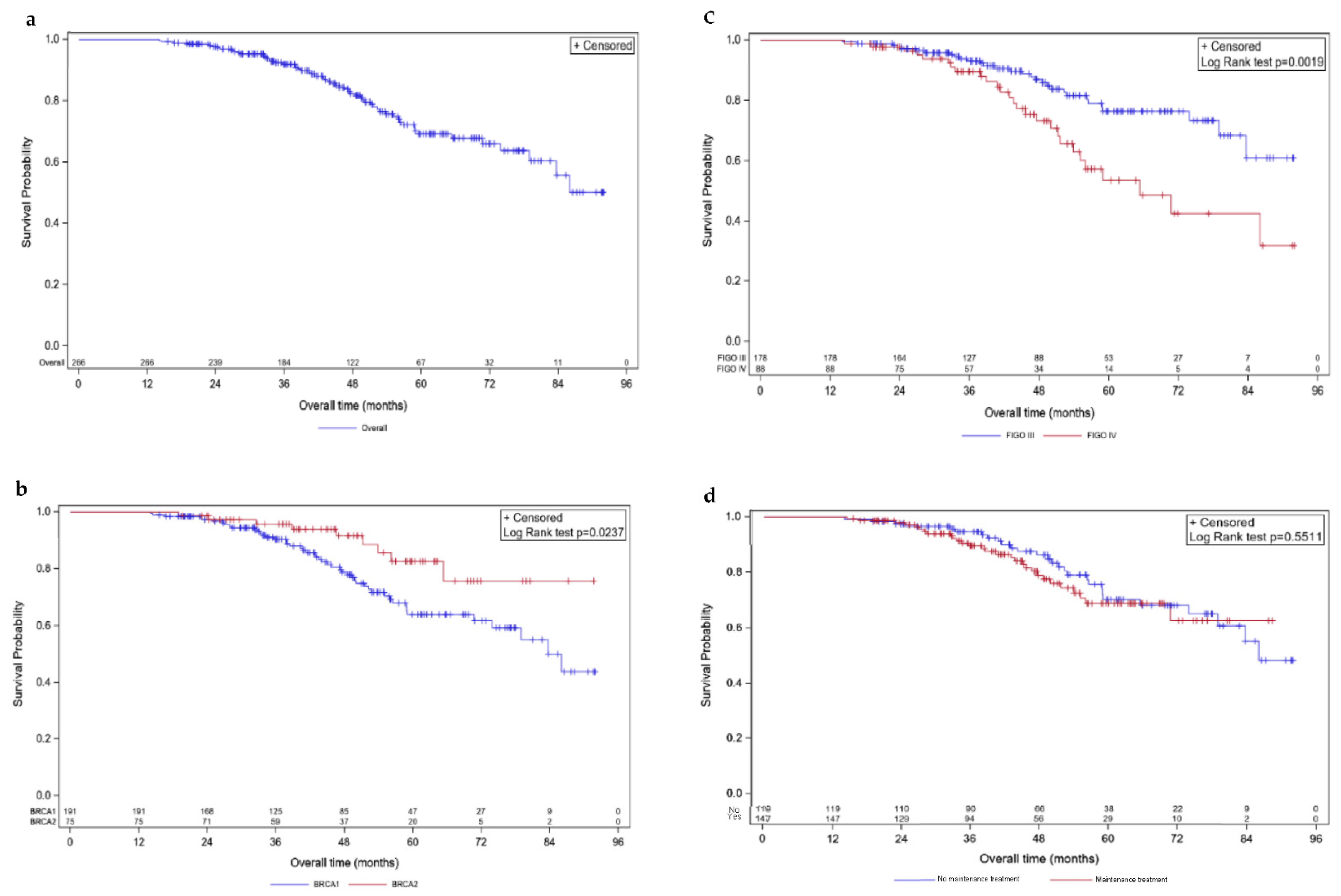
3.3. Survival Analyses
4. Discussion
5. Conclusions
Author Contributions
Funding
Institutional Review Board Statement
Informed Consent Statement
Data Availability Statement
Acknowledgments
Conflicts of Interest
Appendix A

References
- Sung, H.; Ferlay, J.; Siegel, R.L.; Laversanne, M.; Soerjomataram, I.; Jemal, A.; Bray, F. Global Cancer Statistics 2020: GLOBOCAN Estimates of Incidence and Mortality Worldwide for 36 Cancers in 185 Countries. CA Cancer J. Clin. 2021, 71, 209–249. [Google Scholar] [CrossRef] [PubMed]
- Berek, J.S.; Kehoe, S.T.; Kumar, L.; Friedlander, M. Cancer of the Ovary, Fallopian Tube, and Peritoneum. Int. J. Gynaecol. Obstet. 2018, 143 (Suppl. 2), 59–78. [Google Scholar] [CrossRef] [PubMed]
- Prat, J. Ovarian Carcinomas: Five Distinct Diseases with Different Origins, Genetic Alterations, and Clinicopathological Features. Virchows Arch. 2012, 460, 237–249. [Google Scholar] [CrossRef] [PubMed]
- Cancer Genome Atlas Research Network. Integrated Genomic Analyses of Ovarian Carcinoma. Nature 2011, 474, 609–615. [Google Scholar] [CrossRef]
- Quesada, S.; Fabbro, M.; Solassol, J. Toward More Comprehensive Homologous Recombination Deficiency Assays in Ovarian Cancer Part 2: Medical Perspectives. Cancers 2022, 14, 1098. [Google Scholar] [CrossRef]
- Konstantinopoulos, P.A.; Lacchetti, C.; Annunziata, C.M. Germline and Somatic Tumor Testing in Epithelial Ovarian Cancer: ASCO Guideline Summary. JCO Oncol. Pract. 2020, 16, e835–e838. [Google Scholar] [CrossRef]
- Kuchenbaecker, K.B.; Hopper, J.L.; Barnes, D.R.; Phillips, K.A.; Mooij, T.M.; Roos-Blom, M.J.; Jervis, S.; van Leeuwen, F.E.; Milne, R.L.; Andrieu, N.; et al. Risks of Breast, Ovarian, and Contralateral Breast Cancer for BRCA1 and BRCA2 Mutation Carriers. JAMA 2017, 317, 2402–2416. [Google Scholar] [CrossRef] [Green Version]
- Quesada, S.; Fabbro, M.; Solassol, J. Toward More Comprehensive Homologous Recombination Deficiency Assays in Ovarian Cancer, Part 1: Technical Considerations. Cancers 2022, 14, 1132. [Google Scholar] [CrossRef]
- Artioli, G.; Giannone, G.; Valabrega, G.; Maggiorotto, F.; Genta, S.; Pignata, S.; Lorusso, D.; Cormio, G.; Scalone, S.; Nicoletto, M.O.; et al. Characteristics and Outcome of BRCA Mutated Epithelial Ovarian Cancer Patients in Italy: A Retrospective Multicenter Study (MITO 21). Gynecol. Oncol. 2021, 161, 755–761. [Google Scholar] [CrossRef]
- Lorusso, D.; Cirillo, F.; Mancini, M.; Spatti, G.B.; Grijuela, B.; Ditto, A.; Raspagliesi, F. The Different Impact of BRCA Mutations on the Survival of Epithelial Ovarian Cancer Patients: A Retrospective Single-Center Experience. Oncology 2013, 85, 122–127. [Google Scholar] [CrossRef]
- Lavoue, V.; Huchon, C.; Akladios, C.; Alfonsi, P.; Bakrin, N.; Ballester, M.; Bendifallah, S.; Bolze, P.A.; Bonnet, F.; Bourgin, C.; et al. Management of Epithelial Cancer of the Ovary, Fallopian Tube, and Primary Peritoneum. Long Text of the Joint French Clinical Practice Guidelines Issued by FRANCOGYN, CNGOF, SFOG, and GINECO-ARCAGY, and Endorsed by INCa. Part 1: Diagnostic Exploration and Staging, Surgery, Perioperative Care, and Pathology. J. Gynecol. Obstet. Hum. Reprod. 2019, 48, 369–378. [Google Scholar] [CrossRef] [PubMed]
- Classe, J.-M.; Joly, F.; Lécuru, F.; Morice, P.; Pomel, C.; Selle, F.; You, B. Prise en Charge Chirurgicale du Cancer Épithélial de l’ovaire – Première Ligne et Première Rechute. Bull. Cancer 2021, 108, S13–S21. [Google Scholar] [CrossRef]
- Perren, T.J.; Swart, A.M.; Pfisterer, J.; Ledermann, J.A.; Pujade-Lauraine, E.; Kristensen, G.; Carey, M.S.; Beale, P.; Cervantes, A.; Kurzeder, C.; et al. A Phase 3 Trial of Bevacizumab in Ovarian Cancer. N. Engl. J. Med. 2011, 365, 2484–2496. [Google Scholar] [CrossRef] [PubMed] [Green Version]
- Pujade-Lauraine, E.; Hilpert, F.; Weber, B.; Reuss, A.; Poveda, A.; Kristensen, G.; Sorio, R.; Vergote, I.; Witteveen, P.; Bamias, A.; et al. Bevacizumab Combined with Chemotherapy for Platinum-Resistant Recurrent Ovarian Cancer: The AURELIA Open-Label Randomized Phase III Trial. J. Clin. Oncol. 2014, 32, 1302–1308. [Google Scholar] [CrossRef]
- Aghajanian, C.; Blank, S.V.; Goff, B.A.; Judson, P.L.; Teneriello, M.G.; Husain, A.; Sovak, M.A.; Yi, J.; Nycum, L.R. OCEANS: A Randomized, Double-Blind, Placebo-Controlled Phase III Trial of Chemotherapy with or without Bevacizumab in Patients with Platinum-Sensitive Recurrent Epithelial Ovarian, Primary Peritoneal, or Fallopian Tube Cancer. J. Clin. Oncol. 2012, 30, 2039–2045. [Google Scholar] [CrossRef] [Green Version]
- Moore, K.; Colombo, N.; Scambia, G.; Kim, B.-G.; Oaknin, A.; Friedlander, M.; Lisyanskaya, A.; Floquet, A.; Leary, A.; Sonke, G.S.; et al. Maintenance Olaparib in Patients with Newly Diagnosed Advanced Ovarian Cancer. N. Engl. J. Med. 2018, 379, 2495–2505. [Google Scholar] [CrossRef] [PubMed]
- González-Martín, A.; Pothuri, B.; Vergote, I.; DePont Christensen, R.; Graybill, W.; Mirza, M.R.; McCormick, C.; Lorusso, D.; Hoskins, P.; Freyer, G.; et al. Niraparib in Patients with Newly Diagnosed Advanced Ovarian Cancer. N. Engl. J. Med. 2019, 381, 2391–2402. [Google Scholar] [CrossRef] [PubMed] [Green Version]
- Ray-Coquard, I.; Pautier, P.; Pignata, S.; Pérol, D.; González-Martín, A.; Berger, R.; Fujiwara, K.; Vergote, I.; Colombo, N.; Mäenpää, J.; et al. Olaparib plus Bevacizumab as First-Line Maintenance in Ovarian Cancer. N. Engl. J. Med. 2019, 381, 2416–2428. [Google Scholar] [CrossRef] [PubMed]
- Monk, B.J.; Parkinson, C.; Lim, M.C.; O’Malley, D.M.; Oaknin, A.; Wilson, M.K.; Coleman, R.L.; Lorusso, D.; Bessette, P.; Ghamande, S.; et al. A Randomized, Phase III Trial to Evaluate Rucaparib Monotherapy as Maintenance Treatment in Patients With Newly Diagnosed Ovarian Cancer (ATHENA–MONO/GOG-3020/ENGOT-Ov45). J. Clin. Oncol. 2022, JCO2201003. [Google Scholar] [CrossRef]
- Pérol, D.; Robain, M.; Arveux, P.; Mathoulin-Pélissier, S.; Chamorey, E.; Asselain, B.; Berchery, D.; Gourgou, S.; Breton, M.; Delaine-Clisant, S.; et al. The Ongoing French Metastatic Breast Cancer (MBC) Cohort: The Example-Based Methodology of the Epidemiological Strategy and Medical Economics (ESME). BMJ Open 2019, 9, e023568. [Google Scholar] [CrossRef] [Green Version]
- Delaloge, S.; Pérol, D.; Courtinard, C.; Brain, E.; Asselain, B.; Bachelot, T.; Debled, M.; Dieras, V.; Campone, M.; Levy, C.; et al. Paclitaxel plus Bevacizumab or Paclitaxel as First-Line Treatment for HER2-Negative Metastatic Breast Cancer in a Multicenter National Observational Study. Ann. Oncol. Off. J. Eur. Soc. Med. Oncol. 2016, 27, 1725–1732. [Google Scholar] [CrossRef]
- Jacquet, E.; Lardy-Cléaud, A.; Pistilli, B.; Franck, S.; Cottu, P.; Delaloge, S.; Debled, M.; Vanlemmens, L.; Leheurteur, M.; Guizard, A.V.; et al. Endocrine Therapy or Chemotherapy as First-Line Therapy in Hormone Receptor-Positive HER2-Negative Metastatic Breast Cancer Patients. Eur. J. Cancer 2018, 95, 93–101. [Google Scholar] [CrossRef] [PubMed] [Green Version]
- Saleh, K.; Carton, M.; Dieras, V.; Heudel, P.-E.; Brain, E.; D’Hondt, V.; Mailliez, A.; Patsouris, A.; Mouret-Reynier, M.-A.; Goncalves, A.; et al. Impact of Body Mass Index on Overall Survival in Patients with Metastatic Breast Cancer. Breast 2021, 55, 16–24. [Google Scholar] [CrossRef]
- Deluche, E.; Antoine, A.; Bachelot, T.; Lardy-Cleaud, A.; Dieras, V.; Brain, E.; Debled, M.; Jacot, W.; Mouret-Reynier, M.A.; Goncalves, A.; et al. Contemporary Outcomes of Metastatic Breast Cancer among 22,000 Women from the Multicentre ESME Cohort 2008-2016. Eur. J. Cancer 2020, 129, 60–70. [Google Scholar] [CrossRef] [PubMed]
- Fink, M.K. Survival in Metastatic Breast Cancer in the ESME Study and the ATRESS Effect. Eur. J. Cancer 2020, 140, 163–164. [Google Scholar] [CrossRef] [PubMed]
- Heudel, P.; Delaloge, S.; Parent, D.; Madranges, N.; Levy, C.; Dalenc, F.; Brain, E.; Uwer, L.; D’Hondt, V.; Augereau, P.; et al. Real-World Evaluation of Oral Vinorelbine in the Treatment of Metastatic Breast Cancer: An ESME-MBC Study. Anticancer Res. 2020, 40, 3905–3913. [Google Scholar] [CrossRef] [PubMed]
- Grinda, T.; Antoine, A.; Jacot, W.; Blaye, C.; Cottu, P.-H.; Diéras, V.; Dalenc, F.; Gonçalves, A.; Debled, M.; Patsouris, A.; et al. Evolution of Overall Survival and Receipt of New Therapies by Subtype among 20 446 Metastatic Breast Cancer Patients in the 2008-2017 ESME Cohort. ESMO Open 2021, 6, 100114. [Google Scholar] [CrossRef]
- Hotton, J.; Lusque, A.; Leufflen, L.; Campone, M.; Levy, C.; Honart, J.-F.; Mailliez, A.; Debled, M.; Gutowski, M.; Leheurteur, M.; et al. Early Locoregional Breast Surgery and Survival in de Novo Metastatic Breast Cancer in the Multicenter National ESME Cohort. Ann. Surg. 2021. [Google Scholar] [CrossRef]
- Carausu, M.; Carton, M.; Cabel, L.; Patsouris, A.; Levy, C.; Verret, B.; Pasquier, D.; Debled, M.; Gonçalves, A.; Desmoulins, I.; et al. Clinicopathological Characteristics and Prognosis of Breast Cancer Patients with Isolated Central Nervous System Metastases in the Multicentre ESME Database. Ther. Adv. Med. Oncol. 2022, 14, 17588359221077082. [Google Scholar] [CrossRef]
- Pasquier, D.; Darlix, A.; Louvel, G.; Fraisse, J.; Jacot, W.; Brain, E.; Petit, A.; Mouret-Reynier, M.A.; Goncalves, A.; Dalenc, F.; et al. Treatment and Outcomes in Patients with Central Nervous System Metastases from Breast Cancer in the Real-Life ESME MBC Cohort. Eur. J. Cancer 2020, 125, 22–30. [Google Scholar] [CrossRef]
- De Nonneville, A.; Zemmour, C.; Frank, S.; Joly, F.; Ray-Coquard, I.; Costaz, H.; Classe, J.-M.; Floquet, A.; De la Motte Rouge, T.; Colombo, P.-E.; et al. Clinicopathological Characterization of a Real-World Multicenter Cohort of Endometrioid Ovarian Carcinoma: Analysis of the French National ESME-Unicancer Database. Gynecol. Oncol. 2021, 163, 64–71. [Google Scholar] [CrossRef] [PubMed]
- Thomas, Q.D.; Boussere, A.; Classe, J.-M.; Pomel, C.; Costaz, H.; Rodrigues, M.; Ray-Coquard, I.; Gladieff, L.; Rouzier, R.; Rouge, T.D.L.M.; et al. Optimal Timing of Interval Debulking Surgery for Advanced Epithelial Ovarian Cancer: A Retrospective Study from the ESME National Cohort. Gynecol. Oncol. 2022, S0090-8258(22)00543-1. [Google Scholar] [CrossRef] [PubMed]
- Audibert, C.; Perlaky, A.; Stuntz, M.; Glass, D. Variability in the Therapeutic Management of Advanced Ovarian Cancer Patients: A Five-Country Survey of Oncologists. Drug Des. Dev. Ther. 2017, 11, 3471–3479. [Google Scholar] [CrossRef] [PubMed] [Green Version]
- Karki, C.; Patel, R.; Martino, S.; Wriede, V.; Shah-Manek, B. Treatment Pattern Differences across the United States and EU5 among Patients with Ovarian Cancer. J. Clin. Oncol. 2018, 36, e17516. [Google Scholar] [CrossRef]
- Mylavarapu, S.; Das, A.; Roy, M. Role of BRCA Mutations in the Modulation of Response to Platinum Therapy. Front. Oncol. 2018, 8, 16. [Google Scholar] [CrossRef] [Green Version]
- Oza, A.M.; Cook, A.D.; Pfisterer, J.; Embleton, A.; Ledermann, J.A.; Pujade-Lauraine, E.; Kristensen, G.; Carey, M.S.; Beale, P.; Cervantes, A.; et al. Standard Chemotherapy with or without Bevacizumab for Women with Newly Diagnosed Ovarian Cancer (ICON7): Overall Survival Results of a Phase 3 Randomised Trial. Lancet Oncol. 2015, 16, 928–936. [Google Scholar] [CrossRef]
- Burger, R.A.; Brady, M.F.; Bookman, M.A.; Fleming, G.F.; Monk, B.J.; Huang, H.; Mannel, R.S.; Homesley, H.D.; Fowler, J.; Greer, B.E.; et al. Incorporation of Bevacizumab in the Primary Treatment of Ovarian Cancer. N. Engl. J. Med. 2011, 365, 2473–2483. [Google Scholar] [CrossRef] [Green Version]
- Liontos, M.; Timotheadou, E.; Papadopoulos, E.I.; Zafeiriou, Z.; Lampropoulou, D.I.; Aravantinos, G.; Mavroudis, D.; Christodoulou, C.; Nikolaidi, A.; Somarakis, A.; et al. Real-World Data on Treatment Management and Outcomes of Patients with Newly Diagnosed Advanced Epithelial Ovarian Cancer in Greece (The EpOCa Study). Curr. Oncol. 2021, 28, 5266–5277. [Google Scholar] [CrossRef]
- Berton, D.; Floquet, A.; Lescaut, W.; Baron, G.; Kaminsky, M.-C.; Toussaint, P.; Largillier, R.; Savoye, A.-M.; Alexandre, J.; Delbaldo, C.; et al. Real-World Experience of Bevacizumab as First-Line Treatment for Ovarian Cancer: The GINECO ENCOURAGE Cohort of 468 French Patients. Front. Pharmacol. 2021, 12, 711813. [Google Scholar] [CrossRef]
- Colombo, N.; Sessa, C.; du Bois, A.; Ledermann, J.; McCluggage, W.G.; McNeish, I.; Morice, P.; Pignata, S.; Ray-Coquard, I.; Vergote, I.; et al. ESMO-ESGO Consensus Conference Recommendations on Ovarian Cancer: Pathology and Molecular Biology, Early and Advanced Stages, Borderline Tumours and Recurrent Diseasedagger. Ann. Oncol. 2019, 30, 672–705. [Google Scholar] [CrossRef] [Green Version]
- Tew, W.P.; Lacchetti, C.; Ellis, A.; Maxian, K.; Banerjee, S.; Bookman, M.; Jones, M.B.; Lee, J.M.; Lheureux, S.; Liu, J.F.; et al. PARP Inhibitors in the Management of Ovarian Cancer: ASCO Guideline. J. Clin. Oncol. 2020, 38, 3468–3493. [Google Scholar] [CrossRef] [PubMed]
- Colombo, N.; Ledermann, J.A. Updated Treatment Recommendations for Newly Diagnosed Epithelial Ovarian Carcinoma from the ESMO Clinical Practice Guidelines. Ann. Oncol. 2021, 32, 1300–1303. [Google Scholar] [CrossRef] [PubMed]


| BRCA1 (N = 191) | BRCA2 (N = 75) | Total (N = 266) | ||
|---|---|---|---|---|
| BRCA Mutation Type | N | 266 | ||
| BRCA1 only | 187 (70.3%) | |||
| BRCA2 only | 75 (28.2%) | |||
| BRCA1 vs. BRCA2 unspecified | 2 (0.8%) | |||
| Both BRCA1 and BRCA2 | 2 (0.8%) | |||
| Age | N | 191 | 75 | 266 |
| Median (min–max) | 54.5 (33–80) | 62.6 (45–81) | 56.8 (33–81) | |
| Performance Status | N (missing cases) | 49 (142) | 30 (45) | 79 (187) |
| 0 | 17 (34.7%) | 15 (50.0%) | 32 (40.5%) | |
| 1 | 24 (49.0%) | 13 (43.3%) | 37 (46.8%) | |
| 2 | 5 (10.2%) | 2 (6.7%) | 7 (8.9%) | |
| 3 | 3 (6.1%) | 0 | 3 (3.8%) | |
| 0 | 0 | |||
| FIGO Stage | N | 191 | 75 | 266 |
| III | 129 (67.5%) | 49 (65.3%) | 178 (66.9%) | |
| IV | 62 (32.5%) | 26 (34.7%) | 88 (33.1%) | |
| Histological Type | N | 191 | 75 | 266 |
| Serous and endometrioid | 5 (2.6%) | 3 (4.0%) | 8 (3.0%) | |
| Serous only | 185 (96.9%) | 72 (96.0%) | 257 (96.6%) | |
| Endometrioid only | 1 (0.5%) | 0 (0.0%) | 1 (0.4%) | |
| Serous or endometrioid | 0 (0.0%) | 0 (0.0%) | 0 (0.0%) | |
| Invasion Sites of Ovarian | N (missing casess) | 190 (1) | 74 (1) | 264 (2) |
| Cancer at Diagnosis | Ovaries | 140 (73.7%) | 42 (56.8%) | 182 (68.9%) |
| Uterin tubes | 88 (46.3%) | 25 (33.8%) | 113 (42.8%) | |
| Peritoneum | 143 (75.3%) | 57 (77.0%) | 200 (75.8%) | |
| Nodes | 65 (34.2%) | 21 (28.4%) | 86 (32.6%) | |
| Colon/small intestine | 46 (24.2%) | 15 (20.3%) | 61 (23.1%) | |
| Other | 158 (83.2%) | 62 (83.8%) | 220 (83.3%) | |
| Other Cancer History | N (missing cases) | 190 (1) | 74 (1) | 264 (2) |
| No | 188 (98.9%) | 73 (98.6%) | 261 (98.9%) | |
| Yes | 2 (1.1%) | 1 (1.4%) | 3 (1.1%) | |
| If Yes, Type of Cancer | Colorectal | 1 (50.0%) | 0 (0.0%) | 1 (33.3%) |
| Breast | 1 (50.0%) | 1 (100.0%) | 2 (66.7%) | |
| Family History of | No | 75 (39.3%) | 41 (54.7%) | 116 (43.6%) |
| Breast/Ovarian Cancer | Yes | 95 (49.7%) | 24 (32.0%) | 119 (44.7%) |
| Not available | 21 (11.0%) | 10 (13.3%) | 31 (11.7%) | |
| BRCA1 (N = 191) | BRCA2 (N = 75) | Total (N = 266) | ||
|---|---|---|---|---|
| Treatment Lines (Number) | N (missing cases) | 191 (0) | 75 (0) | 266 (0) |
| 1 line | 68 (35.6%) | 31 (41.3%) | 99 (37.2%) | |
| 2 lines | 44 (23.0%) | 23 (30.7%) | 67 (25.2%) | |
| 3 lines | 34 (17.8%) | 8 (10.7%) | 42 (15.8%) | |
| At least 4 lines | 45 (23.6%) | 13 (17.3%) | 58 (21.8%) | |
| ≥1 Surgery with Resection | N (missing cases) | 191 (0) | 75 (0) | 266 (0) |
| No | 8 (4.2%) | 4 (5.3%) | 12 (4.5%) | |
| Yes | 183 (95.8%) | 71 (94.7%) | 254 (95.5%) | |
| Time of 1st Resection | N (missing cases) | 183 (0) | 71 (0) | 254 (0) |
| Before first-line | 12 (6.6%) | 1 (1.4%) | 13 (5.1%) | |
| Start of first-line | 87 (47.5%) | 27 (38.0%) | 114 (44.9%) | |
| During first-line | 81 (44.3%) | 41 (57.7%) | 122 (48.0%) | |
| After the end of first-line | 3 (1.6%) | 2 (2.8%) | 5 (2.0%) | |
| Best Response in the 1st Line | N (missing cases) | 114 (77) | 38 (37) | 152 (114) |
| Complete | 60 (52.6%) | 21 (55.3%) | 81 (53.3%) | |
| Partial | 21 (18.4%) | 10 (26.3%) | 31 (20.4%) | |
| Stable | 11 (9.6%) | 1 (2.6%) | 12 (7.9%) | |
| Progression | 7 (6.1%) | 3 (7.9%) | 10 (6.6%) | |
| Other | 15 (13.2%) | 3 (7.9%) | 18 (11.8%) | |
| Best Response in the 2nd Line | N (missing cases) | 75 (66) | 29 (26) | 104 (92) |
| Complete | 22 (29.3%) | 11 (37.9%) | 33 (31.7%) | |
| Partial | 16 (21.3%) | 4 (13.8%) | 20 (19.2%) | |
| Stable | 14 (18.7%) | 4 (13.8%) | 18 (17.3%) | |
| Progression | 11 (14.7%) | 4 (13.8%) | 15 (14.4%) | |
| Other | 12 (16.0%) | 6 (20.7%) | 18 (17.3%) | |
| Maintenance Treatment | N (missing cases) | 191 (0) | 75 (0) | 266 (0) |
| No | 83 (43.5%) | 36 (48.0%) | 119 (44.7%) | |
| Yes | 108 (56.5%) | 39 (52.0%) | 147 (55.3%) | |
| Type of Maintenance | N (missing casess) | 108 (0) | 39 (0) | 147 (0) |
| Bevacizumab only | 86 (79.6%) | 30 (76.9%) | 116 (78.9%) | |
| Bevacizumab + other * | 16 (14.8%) | 3 (7.7%) | 19 (12.9%) | |
| Other | 6 (5.6%) | 6 (15.4%) | 12 (8.2%) | |
| Number of Cycles of Platinum-Based Chemotherapy | N | 186 (5) | 73 (2) | 259 (7) |
| Mean ± SD | 6 ± 3 | 6 ± 2 | 6 ± 2 | |
| Median | 6 | 6 | 6 | |
| Min; Max | 1; 22 | 2; 15 | 1; 22 |
Publisher’s Note: MDPI stays neutral with regard to jurisdictional claims in published maps and institutional affiliations. |
© 2022 by the authors. Licensee MDPI, Basel, Switzerland. This article is an open access article distributed under the terms and conditions of the Creative Commons Attribution (CC BY) license (https://creativecommons.org/licenses/by/4.0/).
Share and Cite
Bini, M.; Quesada, S.; Meeus, P.; Rodrigues, M.; Leblanc, E.; Floquet, A.; Pautier, P.; Marchal, F.; Provansal, M.; Campion, L.; et al. Real-World Data on Newly Diagnosed BRCA-Mutated High-Grade Epithelial Ovarian Cancers: The French National Multicenter ESME Database. Cancers 2022, 14, 4040. https://doi.org/10.3390/cancers14164040
Bini M, Quesada S, Meeus P, Rodrigues M, Leblanc E, Floquet A, Pautier P, Marchal F, Provansal M, Campion L, et al. Real-World Data on Newly Diagnosed BRCA-Mutated High-Grade Epithelial Ovarian Cancers: The French National Multicenter ESME Database. Cancers. 2022; 14(16):4040. https://doi.org/10.3390/cancers14164040
Chicago/Turabian StyleBini, Marta, Stanislas Quesada, Pierre Meeus, Manuel Rodrigues, Eric Leblanc, Anne Floquet, Patricia Pautier, Frédéric Marchal, Magali Provansal, Loïc Campion, and et al. 2022. "Real-World Data on Newly Diagnosed BRCA-Mutated High-Grade Epithelial Ovarian Cancers: The French National Multicenter ESME Database" Cancers 14, no. 16: 4040. https://doi.org/10.3390/cancers14164040
APA StyleBini, M., Quesada, S., Meeus, P., Rodrigues, M., Leblanc, E., Floquet, A., Pautier, P., Marchal, F., Provansal, M., Campion, L., Causeret, S., Gourgou, S., Ray-Coquard, I., Classe, J.-M., Pomel, C., De La Motte Rouge, T., Barranger, E., Savoye, A. M., Guillemet, C., ... Joly, F. (2022). Real-World Data on Newly Diagnosed BRCA-Mutated High-Grade Epithelial Ovarian Cancers: The French National Multicenter ESME Database. Cancers, 14(16), 4040. https://doi.org/10.3390/cancers14164040

