The Right Treatment Strategy for the Right Patient: A Biomarker-Driven Approach to Neoadjuvant vs. Surgery-First Management of Resectable and Borderline Resectable Pancreatic Cancer
Abstract
:Simple Summary
Abstract
1. Introduction
2. Methods
2.1. Patient Selection
2.2. Patient Treatment
2.3. Immunohistochemistry
2.4. Biomarker Combinations
2.5. Transcriptomic Subtypes of Pancreatic Cancer
2.6. Definitions of Distant and Locoregional Recurrence
2.7. Data Analysis
3. Results
3.1. Baseline Characteristics
3.2. Biomarker Panel Association with Propensity for Early Disease Recurrence
3.3. Biomarker Panel Association with Non-Squamous Subtype
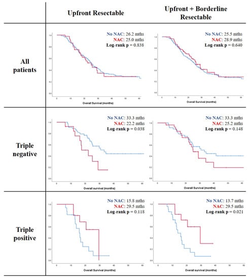
3.4. Biomarker Correlation with Neoadjuvant Treatment Outcomes
4. Discussion
5. Conclusions
Author Contributions
Funding
Institutional Review Board Statement
Informed Consent Statement
Data Availability Statement
Acknowledgments
Conflicts of Interest
References
- Colling, R.; Church, D.N.; Carmichael, J.; Murphy, L.; East, J.; Risby, P.; Kerr, R.; Chetty, R.; Wang, L.M. Screening for Lynch syndrome and referral to clinical genetics by selective mismatch repair protein immunohistochemistry testing: An audit and cost analysis. J. Clin. Pathol. 2015, 68, 1036–1039. [Google Scholar] [CrossRef] [PubMed]
- Australian Institute of Health and Welfare. Colorectal and Other Digestive-Tract Cancers 2018. Cancer Series No. 114 Cat No. CAN 117. Canberra, Australia. 2018. Available online: https://www.aihw.gov.au/getmedia/892d43f7-ab5d-48fe-9969-129f138687f3/aihw-can-117.pdf.aspx?inline=true (accessed on 1 May 2022).
- Winter, J.M.; Cameron, J.L.; Campbell, K.A.; Arnold, M.A.; Chang, D.C.; Coleman, J.; Hodgin, M.B.; Sauter, P.K.; Hruban, R.H.; Riall, T.S.; et al. 1423 pancreaticoduodenectomies for pancreatic cancer: A single-institution experience. J. Gastrointest. Surg. 2006, 10, 1199–1210; discussion 1210–1211. [Google Scholar] [CrossRef] [PubMed]
- Strobel, O.; Neoptolemos, J.; Jager, D.; Buchler, M.W. Optimizing the outcomes of pancreatic cancer surgery. Nat. Rev. Clin. Oncol. 2019, 16, 11–26. [Google Scholar] [CrossRef] [PubMed]
- Bailey, P.; Chang, D.K.; Nones, K.; Johns, A.L.; Patch, A.M.; Gingras, M.C.; Miller, D.K.; Christ, A.N.; Bruxner, T.J.C.; Quinn, M.C.; et al. Genomic analyses identify molecular subtypes of pancreatic cancer. Nature 2016, 531, 47–52. [Google Scholar] [CrossRef] [PubMed]
- Collisson, E.A.; Sadanandam, A.; Olson, P.; Gibb, W.J.; Truitt, M.; Gu, S.; Cooc, J.; Weinkle, J.; Kim, G.E.; Jakkula, L.; et al. Subtypes of pancreatic ductal adenocarcinoma and their differing responses to therapy. Nat. Med. 2011, 17, 500–503. [Google Scholar] [CrossRef] [PubMed]
- Van Nimwegen, K.J.; Van Soest, R.A.; Veltman, J.A.; Nelen, M.R.; Van der Wilt, G.J.; Vissers, L.E.; Grutters, J.P. Is the $1000 Genome as Near as We Think? A Cost Analysis of Next-Generation Sequencing. Clin. Chem. 2016, 62, 1458–1464. [Google Scholar] [CrossRef] [Green Version]
- Nahm, C.B.; Turchini, J.; Jamieson, N.; Moon, E.; Sioson, L.; Itchins, M.; Arena, J.; Colvin, E.; Howell, V.M.; Pavlakis, N.; et al. Biomarker panel predicts survival after resection in pancreatic ductal adenocarcinoma: A multi-institutional cohort study. Eur. J. Surg. Oncol. 2019, 45, 218–224. [Google Scholar] [CrossRef] [Green Version]
- Tempero, M.A.; Malafa, M.P.; Al-Hawary, M.; Asbun, H.; Bain, A.; Behrman, S.W.; Benson, A.B., III; Binder, E.; Cardin, D.B.; Cha, C.; et al. Pancreatic Adenocarcinoma, Version 2.2017, NCCN Clinical Practice Guidelines in Oncology. J. Natl. Compr. Cancer Netw. 2017, 15, 1028–1061. [Google Scholar] [CrossRef]
- Dreyer, S.B.; Jamieson, N.B.; Upstill-Goddard, R.; Bailey, P.J.; McKay, C.J.; Australian Pancreatic Cancer Genome Initiative; Biankin, A.V.; Chang, D.K. Defining the molecular pathology of pancreatic body and tail adenocarcinoma. Br. J. Surg. 2018, 105, e183–e191. [Google Scholar]
- Moffitt, R.A.; Marayati, R.; Flate, E.L.; Volmar, K.E.; Loeza, S.G.; Hoadley, K.A.; Rashid, N.U.; Williams, L.A.; Eaton, S.C.; Chung, A.H.; et al. Virtual microdissection identifies distinct tumor- and stroma-specific subtypes of pancreatic ductal adenocarcinoma. Nat. Genet. 2015, 47, 1168–1178. [Google Scholar] [CrossRef]
- National Comprehensive Cancer Network. NCCN Guidelines for Pancreatic Adenocarcinoma (Version 1.2019). 2019. Available online: https://www.nccn.org/professionals/physician_gls/pdf/pancreatic.pdf (accessed on 1 May 2022).
- Youngwirth, L.M.; Nussbaum, D.P.; Thomas, S.; Adam, M.A.; Blazer, D.G., 3rd; Roman, S.A.; Sosa, J.A. Nationwide trends and outcomes associated with neoadjuvant therapy in pancreatic cancer: An analysis of 18,243 patients. J. Surg. Oncol. 2017, 116, 127–132. [Google Scholar] [CrossRef]
- Chantrill, L.A.; Nagrial, A.M.; Watson, C.; Johns, A.L.; Martyn-Smith, M.; Simpson, S.; Mead, S.; Jones, M.D.; Samra, J.S.; Gill, A.J.; et al. Precision Medicine for Advanced Pancreas Cancer: The Individualized Molecular Pancreatic Cancer Therapy (IMPaCT) Trial. Clin. Cancer Res. 2015, 21, 2029–2037. [Google Scholar] [CrossRef] [PubMed] [Green Version]
- Lee, J.J.; Murphy, G.F.; Lian, C.G. Melanoma epigenetics: Novel mechanisms, markers, and medicines. Lab. Investig. 2014, 94, 822–838. [Google Scholar] [CrossRef] [Green Version]
- Tsukamoto, N.; Egawa, S.; Akada, M.; Abe, K.; Saiki, Y.; Kaneko, N.; Yokoyama, S.; Shima, K.; Yamamura, A.; Motoi, F.; et al. The expression of S100A4 in human pancreatic cancer is associated with invasion. Pancreas 2013, 42, 1027–1033. [Google Scholar] [CrossRef]
- Haridas, D.; Chakraborty, S.; Ponnusamy, M.P.; Lakshmanan, I.; Rachagani, S.; Cruz, E.; Kumar, S.; Das, S.; Lele, S.M.; Anderson, J.M.; et al. Pathobiological implications of MUC16 expression in pancreatic cancer. PLoS ONE 2011, 6, e26839. [Google Scholar] [CrossRef] [PubMed] [Green Version]
- Chen, S.H.; Hung, W.C.; Wang, P.; Paul, C.; Konstantopoulos, K. Mesothelin binding to CA125/MUC16 promotes pancreatic cancer cell motility and invasion via MMP-7 activation. Sci. Rep. 2013, 3, 1870. [Google Scholar] [CrossRef] [PubMed] [Green Version]
- Glant, J.A.; Waters, J.A.; House, M.G.; Zyromski, N.J.; Nakeeb, A.; Pitt, H.A.; Lillemoe, K.D.; Schmidt, C.M. Does the interval from imaging to operation affect the rate of unanticipated metastasis encountered during operation for pancreatic adenocarcinoma? Surgery 2011, 150, 607–616. [Google Scholar] [CrossRef] [PubMed]
- Raman, S.P.; Reddy, S.; Weiss, M.J.; Manos, L.L.; Cameron, J.L.; Zheng, L.; Herman, J.M.; Hruban, R.H.; Fishman, E.K.; Wolfgang, C.L. Impact of the time interval between MDCT imaging and surgery on the accuracy of identifying metastatic disease in patients with pancreatic cancer. AJR Am. J. Roentgenol. 2015, 204, W37–W42. [Google Scholar] [CrossRef] [PubMed] [Green Version]
- Haseeb, A.; Taylor, L.J.; Adler, D.G. Comparing endoscopic ultrasound-guided core biopsies of solid pancreatic and extrapancreatic lesions: A large single-operator experience with a new fine-needle biopsy needle. Ann. Gastroenterol. 2018, 31, 742–746. [Google Scholar] [CrossRef] [PubMed]
- Dreyer, S.B.; Pinese, M.; Jamieson, N.B.; Scarlett, C.J.; Colvin, E.K.; Pajic, M.; Johns, A.L.; Humphris, J.L.; Wu, J.; Cowley, M.J.; et al. Precision Oncology in Surgery: Patient Selection for Operable Pancreatic Cancer. Ann. Surg. 2020, 272, 366–376. [Google Scholar] [CrossRef]
- Horn, A.; Chakraborty, S.; Dey, P.; Haridas, D.; Souchek, J.; Batra, S.K.; Lele, S.M. Immunocytochemistry for MUC4 and MUC16 is a useful adjunct in the diagnosis of pancreatic adenocarcinoma on fine-needle aspiration cytology. Arch. Pathol. Lab. Med. 2013, 137, 546–551. [Google Scholar] [CrossRef] [PubMed] [Green Version]
- McCarthy, D.M.; Maitra, A.; Argani, P.; Rader, A.E.; Faigel, D.O.; Van Heek, N.T.; Hruban, R.H.; Wilentz, R.E. Novel markers of pancreatic adenocarcinoma in fine-needle aspiration: Mesothelin and prostate stem cell antigen labeling increases accuracy in cytologically borderline cases. Appl. Immunohistochem. Mol. Morphol. AIMM 2003, 11, 238–243. [Google Scholar] [CrossRef] [PubMed]
- Sahni, S.; Moon, E.A.; Howell, V.M.; Mehta, S.; Pavlakis, N.; Chan, D.; Ahadi, M.S.; Gill, A.J.; Samra, J.; Mittal, A. Tissue biomarker panel as a surrogate marker for squamous subtype of pancreatic cancer. Eur. J. Surg. Oncol. 2020, 46, 1539–1542. [Google Scholar] [CrossRef] [PubMed]


| Characteristic | ICGC (n = 226) Number (%) Median (Range) | RNSH (n = 252) Number (%) Median (Range) | p-Value |
|---|---|---|---|
| Age | 67 (34–88) | 68 (33–86) | 0.482 |
| Gender, male | 113 (50.0) | 131 (51.9) | 0.714 |
| Follow-up, months | 21.2 (0.03–99.4) | 22.0 (0.4–105.6) | 0.608 |
| Overall survival, months | 21.4 | 25.8 | 0.076 |
| Adjuvant chemotherapy | 162/181 (89.5) | 144/184 (78.3) | 0.004 |
| Tumor size, mm | 34 (10–90) | 30 (3–100) | 0.169 |
| T-stage | |||
| 1–2 | 16/225 (7.11) | 14/225 (6.22) | 0.572 |
| 3–4 | 209/225 (92.9) | 238/252 (94.4) | |
| Lymph node positive | 166/224 (74.1) | 183/252 (72.6) | 0.756 |
| Lymphovascular invasion | 135/219 (61.6) | 143/251 (56.9) | 0.347 |
| Perineural invasion | 182/222 (81.9) | 177/250 (70.8) | 0.005 |
| R1 resection | 65/225 (28.9) | 112/252 (44.4) | <0.001 |
| Biomarker pattern | |||
| S100A4 positive | 186/224 (83.0) | 164/241 (68.0) | <0.001 |
| Ca-125 positive | 114/224 (50.9) | 133/242 (54.9) | 0.404 |
| MSLN positive | 126/224 (56.3) | 112/245 (45.7) | 0.026 |
| Triple negative | 21/223 (9.42) | 38/236 (16.1) | 0.009 |
| Single positive | 63/223 (28.3) | 59/236 (25.0) | |
| Double positive | 54/223 (24.2) | 76/236 (32.2) | |
| Triple positive | 85/223 (38.1) | 63/236 (26.7) |
| Distant Recurrence | |||
|---|---|---|---|
| Biomarker Pattern | β Coefficient | Hazard Ratio (95%CI) | p-Value |
| Triple negative | Reference | Reference | Reference |
| Single positive | 0.294 | 1.342 (0.855–2.105) | 0.201 |
| Double positive | 0.503 | 1.654 (1.004–2.723) | 0.048 |
| Triple positive | 0.759 | 2.136 (1.317–3.464) | 0.002 |
| Locoregional Recurrence | |||
| Biomarker Pattern | β Coefficient | Hazard Ratio (95%CI) | p-Value |
| Triple negative | Reference | Reference | Reference |
| Single positive | 0.638 | 1.893 (1.042–3.441) | 0.036 |
| Double positive | 0.930 | 2.536 (1.326–4.848) | 0.005 |
| Triple positive | 0.465 | 1.592 (0.738–3.438) | 0.236 |
| PP (n = 22) | ADEX (n = 10) | IG (n = 21) | Squamous (n = 15) | Non-Squamous (n = 53) | OR (Squamous vs. Non-Squamous) | p-Value (Squamous vs. Non-squamous) | |
|---|---|---|---|---|---|---|---|
| S100A4 positive (n = 51) | 17 | 7 | 13 | 14 | 37 | 2.475 | 0.148 |
| Ca-125 positive(n = 33) | 12 | 5 | 7 | 9 | 24 | 2.684 | 0.137 |
| MSLN positive (n = 34) | 12 | 6 | 10 | 6 | 28 | 0.595 | 0.560 |
| Triple negative (n = 8) | 2 | 2 | 4 | 0 | 8 | 0.172 | 0.020 |
| Single positive (n = 24) | 8 | 2 | 8 | 6 | 18 | 3.341 | 0.093 |
| Double positive (n = 14) | 3 | 2 | 5 | 4 | 10 | 2.848 | 0.210 |
| Triple positive (n = 22) | 9 | 4 | 4 | 5 | 17 | 0.587 | 0.717 |
Publisher’s Note: MDPI stays neutral with regard to jurisdictional claims in published maps and institutional affiliations. |
© 2022 by the authors. Licensee MDPI, Basel, Switzerland. This article is an open access article distributed under the terms and conditions of the Creative Commons Attribution (CC BY) license (https://creativecommons.org/licenses/by/4.0/).
Share and Cite
Nahm, C.B.; Turchini, J.; Sahni, S.; Moon, E.; Itchins, M.; Arena, J.; Chou, A.; Colvin, E.K.; Howell, V.M.; Pavlakis, N.; et al. The Right Treatment Strategy for the Right Patient: A Biomarker-Driven Approach to Neoadjuvant vs. Surgery-First Management of Resectable and Borderline Resectable Pancreatic Cancer. Cancers 2022, 14, 3620. https://doi.org/10.3390/cancers14153620
Nahm CB, Turchini J, Sahni S, Moon E, Itchins M, Arena J, Chou A, Colvin EK, Howell VM, Pavlakis N, et al. The Right Treatment Strategy for the Right Patient: A Biomarker-Driven Approach to Neoadjuvant vs. Surgery-First Management of Resectable and Borderline Resectable Pancreatic Cancer. Cancers. 2022; 14(15):3620. https://doi.org/10.3390/cancers14153620
Chicago/Turabian StyleNahm, Christopher B., John Turchini, Sumit Sahni, Elizabeth Moon, Malinda Itchins, Jennifer Arena, Angela Chou, Emily K. Colvin, Viive M. Howell, Nick Pavlakis, and et al. 2022. "The Right Treatment Strategy for the Right Patient: A Biomarker-Driven Approach to Neoadjuvant vs. Surgery-First Management of Resectable and Borderline Resectable Pancreatic Cancer" Cancers 14, no. 15: 3620. https://doi.org/10.3390/cancers14153620
APA StyleNahm, C. B., Turchini, J., Sahni, S., Moon, E., Itchins, M., Arena, J., Chou, A., Colvin, E. K., Howell, V. M., Pavlakis, N., Clarke, S., Samra, J. S., Gill, A. J., & Mittal, A. (2022). The Right Treatment Strategy for the Right Patient: A Biomarker-Driven Approach to Neoadjuvant vs. Surgery-First Management of Resectable and Borderline Resectable Pancreatic Cancer. Cancers, 14(15), 3620. https://doi.org/10.3390/cancers14153620

