Factors Contributing to Tumor Shrinkage after Peptide Receptor Radionuclide Therapy in Patients with Unresectable Neuroendocrine Tumors
Abstract
:Simple Summary
Abstract
1. Introduction
2. Materials and Methods
2.1. Patients
2.2. PRRT Protocol
2.3. Somatostatin Receptor Imaging
2.4. Image Analysis Method
2.5. Outcome Measurements
2.6. Statistical Analysis
3. Results
3.1. Patient Characteristics
3.2. Factors Associated with Best tumor Shrinkage Rate in Lesion-Based Analysis
3.3. Per-Patient Analysis of the Change in Tumor Size over Time Based on RECIST
4. Discussion
5. Conclusions
Supplementary Materials
Author Contributions
Funding
Institutional Review Board Statement
Informed Consent Statement
Data Availability Statement
Conflicts of Interest
References
- Ito, T.; Lee, L.; Hijioka, M.; Kawabe, K.; Kato, M.; Nakamura, K.; Ueda, K.; Ohtsuka, T.; Igarashi, H. The up-to-date review of epidemiological pancreatic neuroendocrine tumors in Japan. J. Hepato-Bil. Pancreat. Sci. 2015, 22, 574–577. [Google Scholar] [CrossRef] [PubMed]
- Dasari, A.; Shen, C.; Halperin, D.; Zhao, B.; Zhou, S.; Xu, Y.; Shih, T.; Yao, J.C. Trends in the incidence, prevalence, and survival outcomes in patients with neuroendocrine tumors in the United States. JAMA Oncol. 2017, 3, 1335–1342. [Google Scholar] [CrossRef] [PubMed]
- Metz, D.C.; Jensen, R.T. Gastrointestinal neuroendocrine tumors: Pancreatic endocrine tumors. Gastroenterology 2008, 135, 1469–1492. [Google Scholar] [CrossRef] [Green Version]
- Partelli, S.; Bartsch, D.K.; Capdevila, J.; Chen, J.; Knigge, U.; Niederle, B.; Nieveen van Dijkum, E.J.M.; Pape, U.F.; Pascher, A.; Ramage, J.; et al. ENETS consensus guidelines for standard of care in neuroendocrine tumours: Surgery for small intestinal and pancreatic neuroendocrine tumours. Neuroendocrinology 2017, 105, 255–265. [Google Scholar] [CrossRef]
- Raymond, E.; Dahan, L.; Raoul, J.L.; Bang, Y.J.; Borbath, I.; Lombard-Bohas, C.; Valle, J.; Metrakos, P.; Smith, D.; Vinik, A.; et al. Sunitinib malate for the treatment of pancreatic neuroendocrine tumors. N. Engl. J. Med. 2011, 364, 501–513. [Google Scholar] [CrossRef] [PubMed] [Green Version]
- Yao, J.C.; Shah, M.H.; Ito, T.; Bohas, C.L.; Wolin, E.M.; Van Cutsem, E.; Hobday, T.J.; Okusaka, T.; Capdevila, J.; de Vries, E.G.; et al. Everolimus for advanced pancreatic neuroendocrine tumors. N. Engl. J. Med. 2011, 364, 514–523. [Google Scholar] [CrossRef] [Green Version]
- Vinik, A.I.; Wolin, E.M.; Liyanage, N.; Gomez-Panzani, E.; Fisher, G.A.; ELECT Study Group. Evaluation of lanreotide depot/autogel efficacy and safety as a carcinoid syndrome treatment (ELECT): A randomized, double-blind, placebo-controlled trial. Endocr. Pract. 2016, 22, 1068–1080. [Google Scholar] [CrossRef]
- Fjallskog, M.L.; Janson, E.T.; Falkmer, U.G.; Vatn, M.H.; Oberg, K.E.; Eriksson, B.K. Treatment with combined streptozotocin and liposomal doxorubicin in metastatic endocrine pancreatic tumors. Neuroendocrinology 2008, 88, 53–58. [Google Scholar] [CrossRef]
- Dahan, L.; Bonnetain, F.; Rougier, P.; Raoul, J.L.; Gamelin, E.; Etienne, P.L.; Cadiot, G.; Mitry, E.; Smith, D.; Cvitkovic, F.; et al. Phase III trial of chemotherapy using 5-fluorouracil and streptozotocin compared with interferon alpha for advanced carcinoid tumors: FNCLCC-FFCD 9710. Endocr. Relat. Cancer. 2009, 16, 1351–1361. [Google Scholar] [CrossRef] [Green Version]
- Turner, N.C.; Strauss, S.J.; Sarker, D.; Gillmore, R.; Kirkwood, A.; Hackshaw, A.; Papadopoulou, A.; Bell, J.; Kayani, I.; Toumpanakis, C.; et al. Chemotherapy with 5-fluorouracil, cisplatin and streptozocin for neuroendocrine tumours. Br. J. Cancer. 2010, 102, 1106–1112. [Google Scholar] [CrossRef] [Green Version]
- Strosberg, J.; El-Haddad, G.; Wolin, E.; Hendifar, A.; Yao, J.; Chasen, B.; Mittra, E.; Kunz, P.L.; Kulke, M.H.; Jacene, H.; et al. Phase 3 trial of 177Lu-Dotatate for midgut neuroendocrine tumors. N. Engl. J. Med. 2017, 376, 125–135. [Google Scholar] [CrossRef] [PubMed]
- Kwekkeboom, D.J.; de Herder, W.W.; Kam, B.L.; van Eijck, C.H.; van Essen, M.; Kooij, P.P.; Feelders, R.A.; van Aken, M.O.; Krenning, E.P. Treatment with the radiolabeled somatostatin analog [177 Lu-DOTA 0,Tyr3]octreotate: Toxicity, efficacy, and survival. J. Clin. Oncol. 2008, 26, 2124–2130. [Google Scholar] [CrossRef] [Green Version]
- Kratochwill, C.; Stefanova, M.; Mavriopulou, E.; Holland-Letz, T.; Dimitrakopoulou-Strauss, A.; Afshar-Oromieh, A.; Mier, W.; Haberkorn, U.; Giesel, F.L. SUV of [68Ga] DOTATOC-PET/CT predicts response probability of PRRT in neuroendocrine tumors. Mol. Imaging Biol. 2015, 17, 313–318. [Google Scholar] [CrossRef] [PubMed]
- Strosberg, J.; Kunz, P.L.; Hendifar, A.; Yao, J.; Bushnell, D.; Kulke, M.H.; Baum, R.P.; Caplin, M.; Ruszniewski, P.; Delpassand, E.; et al. Impact of liver tumour burden, alkaline phosphatase elevation, and target lesion size on treatment outcomes with 177Lu-Dotatate: An analysis of the NETTER-1 study. Eur. J. Nucl. Med. Mol. Imaging 2020, 47, 2372–2382. [Google Scholar] [CrossRef] [PubMed] [Green Version]
- Baum, R.P.; Kulkarni, H.R.; Singh, A.; Kaemmerer, D.; Mueller, D.; Prasad, V.; Hommann, M.; Robiller, F.C.; Niepsch, K.; Franz, H.; et al. Results and adverse events of personalized peptide receptor radionuclide therapy with 90Yttrium and 177Lutetium in 1048 patients with neuroendocrine neoplasms. Oncotarget 2018, 9, 16932–16950. [Google Scholar] [CrossRef] [PubMed] [Green Version]
- Sorbye, H.; Kong, G.; Grozinsky-Glasberg, S. PRRT in high-grade gastroenteropancreatic neuroendocrine neoplasms (WHO G3). Endocr. Relat. Cancer 2020, 27, R67–R77. [Google Scholar] [CrossRef]
- Kobayashi, N.; Wild, D.; Kaul, F.; Shimamura, T.; Takano, S.; Takeda, Y.; Okubo, N.; Suzuki, A.; Tokuhisa, M.; Ichikawa, Y. Retrospective study of peptide receptor radionuclide therapy for Japanese patients with advanced neuroendocrine tumors. J. Hepato-Bil. Pancreat. Sci. 2021, 28, 727–739. [Google Scholar] [CrossRef]
- Nagtegaal, I.D.; Odze, R.D.; Klimstra, D.; Paradis, V.; Rugge, M.; Schirmacher, P.; Washington, K.M.; Carneiro, F.; Cree, I.A.; The WHO Classification of Tumours Editorial Board. The 2019 WHO classification of tumours of the digestive system. Histopathology 2020, 76, 182–188. [Google Scholar] [CrossRef] [Green Version]
- Imhof, A.; Brunner, P.; Marincek, N.; Briel, M.; Schindler, C.; Rasch, H.; Mäcke, H.R.; Rochlitz, C.; Müller-Brand, J.; Walter, M.A. Response, survival, and long-term toxicity after therapy with the radiolabeled somatostatin analogue [90Y-DOTA]-TOC in metastasized neuroendocrine cancers. J. Clin. Oncol. 2011, 29, 2416–2423. [Google Scholar] [CrossRef]
- Krenning, E.P.; Bakker, W.H.; Kooij, P.P.; Breeman, W.A.; Oei, H.Y.; de Jong, M.; Reubi, J.C.; Visser, T.J.; Bruns, C.; Kwekkeboom, D.J.; et al. Somatostatin receptor scintigraphy with indium-111-DTPA-D-Phe-1-octreotide in man: Metabolism, dosimetry and comparison with iodine-123-Tyr-3-octreotide. J. Nucl. Med. 1992, 33, 652–658. [Google Scholar]
- Waldherr, C.; Pless, M.; Maecke, H.R.; Schumacher, T.; Crazzolara, A.; Nitzsche, E.U.; Haldemann, A.; Mueller-Brand, J. Tumor response and clinical benefit in neuroendocrine tumors after 7.4 GBq (90) Y-DOTATOC. J. Nucl. Med. 2002, 43, 610–616. [Google Scholar] [PubMed]
- Pfeifer, A.K.; Gregersen, T.; Grønbæk, H.; Hansen, C.P.; Müller-Brand, J.; Herskind Bruun, K.; Krogh, K.; Kjær, A.; Knigge, U. Peptide receptor radionuclide therapy with Y-DOTATOC and (177)Lu-DOTATOC in advanced neuroendocrine tumors: Results from a Danish cohort treated in Switzerland. Neuroendocrinology 2011, 93, 189–196. [Google Scholar] [CrossRef] [PubMed]
- Campana, D.; Capurso, G.; Partelli, S.; Nori, F.; Panzuto, F.; Tamburrino, D.; Cacciari, G.; Delle Fave, G.; Falconi, M.; Tomassetti, P. Radiolabelled somatostatin analogue treatment in gastroenteropancreatic neuroendocrine tumours: Factors associated with response and suggestions for therapeutic sequence. Eur. J. Nucl. Med. Mol. Imaging 2013, 40, 1197–1205. [Google Scholar] [CrossRef] [PubMed]
- Ezziddin, S.; Khalaf, F.; Vanezi, M.; Haslerud, T.; Mayer, K.; Al Zreiqat, A.; Willinek, W.; Biersack, H.J.; Sabet, A. Outcome of peptide receptor radionuclide therapy with 177Lu-octreotate in advanced grade 1/2 pancreatic neuroendocrine tumours. Eur. J. Nucl. Med. Mol. Imaging 2014, 41, 925–933. [Google Scholar] [CrossRef] [PubMed]
- Brabander, T.; van der Zwan, W.A.; Teunissen, J.J.M.; Kam, B.L.R.; Feelders, R.A.; de Herder, W.W.; van Eijck, C.H.J.; Franssen, G.J.H.; Krenning, E.P.; Kwekkeboom, D.J. Long-term efficacy, survival, and safety of [177Lu-DOTA0,Tyr3]octreotate in patients with gastroenteropancreatic and bronchial neuroendocrine tumors. Clin. Cancer Res. 2017, 23, 4617–4624. [Google Scholar] [CrossRef] [Green Version]
- Kong, G.; Grozinsky-Glasberg, S.; Hofman, M.S.; Akhurst, T.; Meirovitz, A.; Maimon, O.; Krausz, Y.; Godefroy, J.; Michael, M.; Gross, D.J.; et al. Highly favourable outcomes with peptide receptor radionuclide therapy (PRRT) for metastatic rectal neuroendocrine neoplasia (NEN). Eur. J. Nucl. Med. Mol. Imaging 2019, 46, 718–727. [Google Scholar] [CrossRef]
- Wetz, C.; Genseke, P.; Apostolova, I.; Furth, C.; Ghazzawi, S.; Rogasch, J.M.M.; Schatka, I.; Kreissl, M.C.; Hofheinz, F.; Grosser, O.S.; et al. The association of intra-therapeutic heterogeneity of somatostatin receptor expression with morphological treatment response in patients undergoing PRRT with [177Lu]-DOTATATE. PLoS ONE 2019, 14, e0216781. [Google Scholar] [CrossRef]
- Xu, Z.; Wang, L.; Dai, S.; Chen, M.; Li, F.; Sun, J.; Luo, F. Epidemiologic trends of and factors associated with overall survival for patients with gastroenteropancreatic neuroendocrine tumors in the United States. JAMA Netw. Open 2021, 4, e2124750. [Google Scholar] [CrossRef]
- Parghane, R.V.; Bhandare, M.; Chaudhari, V.; Ostwal, V.; Ramaswamy, A.; Talole, S.; Shrikhande, S.V.; Basu, S. Surgical feasibility, determinants, and overall efficacy of neoadjuvant 177Lu-DOTATATE PRRT for locally advanced unresectable gastroenteropancreatic neuroendocrine tumors. J. Nucl. Med. 2021, 62, 1558–1563. [Google Scholar] [CrossRef]



| n | |
|---|---|
| Patients | 20 |
| Sex | |
| Male | 7 |
| Female | 13 |
| Age, median, (range) | 59 (39–68) |
| Primary site | |
| Pancreas | 10 |
| Rectum | 5 |
| Stomach | 1 |
| Small intestine | 1 |
| Thymus | 1 |
| Biliary tract | 1 |
| Unknown | 1 |
| WHO classification | |
| G1 | 3 |
| G2 | 17 |
| G3 | 0 |
| SRS score | |
| Score 0, 1 | 0 |
| Score 2 | 1 |
| Score 3 | 1 |
| Score 4 | 18 |
| Previous treatment | |
| Surgical operation | 16 |
| Cytotoxic agents | 5 |
| Targeted molecular therapies | 11 |
| Somatostatin analog | 16 |
| PS | |
| 0–1 | 20 |
| 2–4 | 0 |
| Period from diagnosis to PRRT, month, (range) | 61.5 (5–186) |
| Hereditary status | |
| Non-hereditary | 19 |
| MEN type 1 | 1 |
| Variable | Number of Lesions, n (%) | Shrinkage Rate, % (Median [95%CI]) | p Value | |
|---|---|---|---|---|
| All lesion | 75 (100) | 20 [4.8~26.1] | ||
| SRS score | score 2 | 3 (4) | 15.8 [−77.4~88.5] | 0.3944 |
| score 3 | 10 (13.3) | 3.8 [−35.4~43.2] | 0.4782 | |
| score 4 | 62 (82.7) | 17.8 [6.3~29.4] | 0.2749 | |
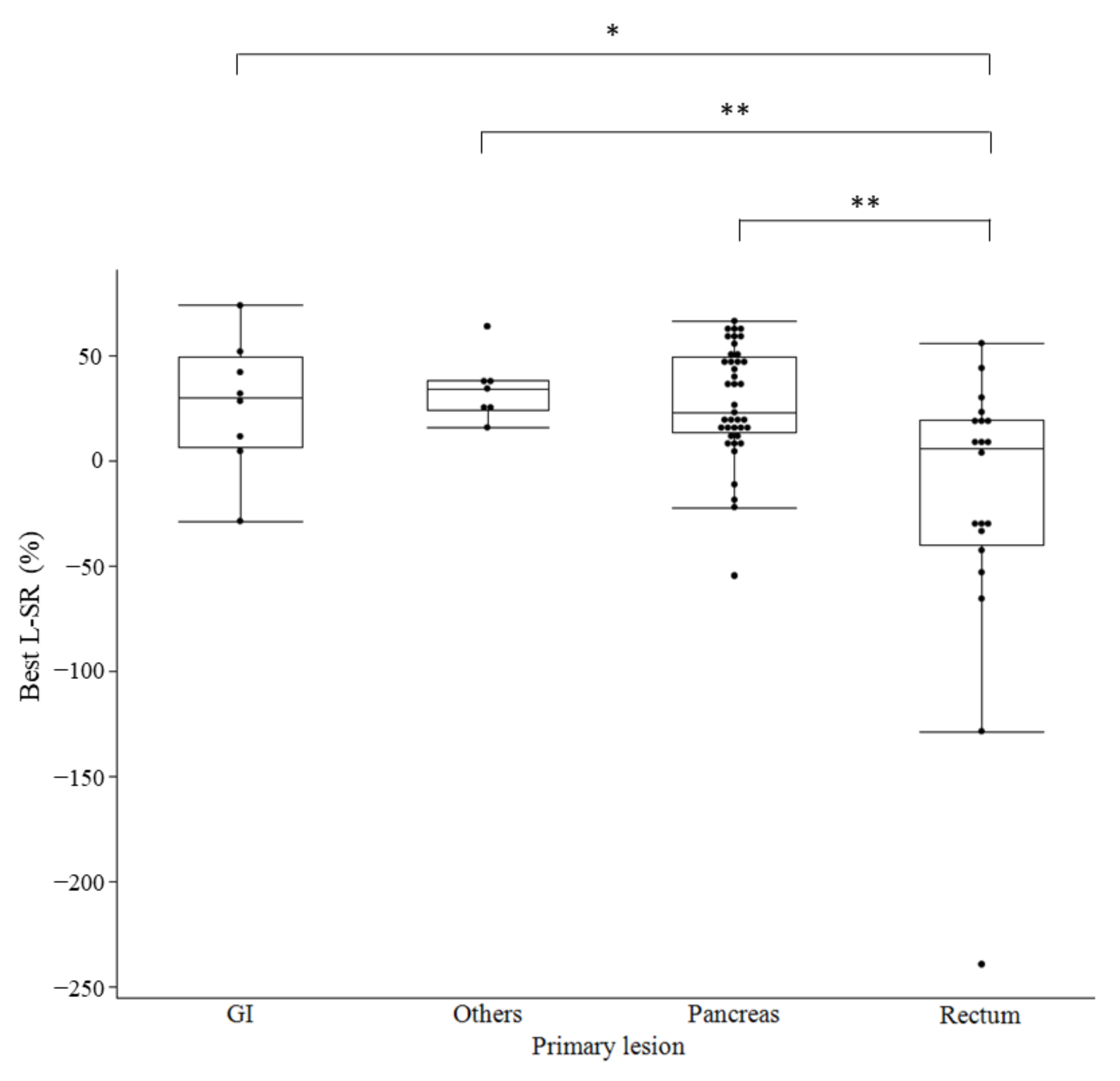
| Primary lesion | Pancreas | 40 (53.3) | 27.8 [19.2~36.3] | 0.0295 |
| Rectum | 20 (26.7) | −20.5 [−51.9~11.0] | 0.0002 | |
| GI | 8 (10.7) | 27.1 [0.77~53.3] | 0.5480 | |
| Others | 7 (9.3) | 34.4 [20.3~48.6] | 0.1749 | |
| Ki67 labeling index | <10% | 53 (70.7) | 22.9 [14.8~31.0] | 0.1984 |
| >10% | 22 (29.3) | −2.48 [−33.5~29.5] | ||
| Doubling time | <100 days | 43 (57.3) | 6.1 [−11.5~23.7] | 0.1141 |
| >100 days | 32 (42.7) | 28.1 [21.1~35.0] | ||
| Therapeutic drug | 90Y and 177Lu-DOTATOC | 34 (45.3) | 10.6 [−9.5~30.6] | 0.7095 |
| 177Lu-DOTATOC | 41 (54.7) | 19.5 [8.7~30.3] | ||
| Previous treatment | ||||
| Cytotoxic agent | yes | 18 (24) | 34.4 [−23.6~45.2] | 0.0394 |
| no | 57 (76) | 9.49 [−3.8~22.8] | ||
| Target molecular therapy | yes | 48 (64) | 22.6 [14.3~31.1] | 0.2943 |
| no | 27 (36) | 2.66 [−23.2~28.6] | ||
| Somatostatin analog | yes | 60 (80) | 11.4 [−1.1~23.9] | 0.0523 |
| no | 15 (20) | 31.7 [13.3~50.2] | ||
| SSA maintenance treatment | yes | 22 (29.3) | 2.1 [−28.3~32.4] | 0.4887 |
| no | 53 (70.7) | 21.0 [12.2~29.9] | ||
| Tumor size before PRRT | <3.0 cm | 57 (76) | 13.8 [0.29~27.3] | 0.9062 |
| >3.0 cm | 18 (24) | 20.7 [7.57~33.9] |
| Factor | n | Effectiveness (%) | Univariate p | Multivariate p | OR | 95% CI | |
|---|---|---|---|---|---|---|---|
| Primary | Pancreas | 40 | 52.5 | 0.4893 | |||
| Rectum | 20 | 20 | 0.0041 | 0.0184 | 0.21 | 0.05~0.76 | |
| GI | 8 | 62.5 | 0.4692 | ||||
| Others | 7 | 85.7 | 0.0502 | 0.1466 | 0.19 | 0.02~1.78 | |
| SRS score | Score 2 | 3 | 33.3 | 1.000 | |||
| Score 3 | 10 | 50 | 1.000 | ||||
| Score 4 | 62 | 48.4 | 1.000 | ||||
| Ki67 LI | <10% | 53 | 50.9 | 0.4583 | |||
| >10% | 22 | 40.9 | |||||
| Doubling time | >100 days | 32 | 44.2 | 0.4897 | |||
| <100 days | 43 | 53.1 | |||||
| Therapeutic drug | 90Y and 177Lu DOTATOC | 34 | 44.1 | 0.6440 | |||
| 177Lu DOTATOC | 41 | 51.2 | |||||
| Previous treatment | |||||||
| Cytotoxic agent | Yes | 57 | 45.6 | 0.5901 | |||
| No | 18 | 55.7 | |||||
| Targeted molecular agent | Yes | 48 | 50.0 | 0.8101 | |||
| No | 27 | 44.4 | |||||
| Somatostatin analog | Yes | 60 | 43.3 | 0.1497 | 0.0736 | 0.30 | 0.89~1.12 |
| No | 15 | 66.7 | |||||
| SSA maintenance treatment | Yes | 22 | 50 | 1.000 | |||
| No | 53 | 47.1 | |||||
| Tumor size before PRRT | <3.0 cm | 57 | 52.6 | 0.1836 | 0.5044 | 0.65 | 0.19~2.24 |
| >3.0 cm | 18 | 33.3 |
| Response Criteria | 25 Weeks | 50 Weeks | 100 Weeks |
|---|---|---|---|
| Response, n (%) | 8 (40) | 7 (35) | 4 (20) |
| CR, n (%) | 0 (0) | 0 (0) | 0 (0) |
| PR, n (%) | 8 (40) | 7 (35) | 4 (20) |
| SD, n (%) | 11 (55) | 7 (35) | 3 (15) |
| PD, n (%) | 1 (5) | 4 (20) | 9 (45) |
| Not evaluated, n (%) | 0 (0) | 2 (10) | 4 (20) |
Publisher’s Note: MDPI stays neutral with regard to jurisdictional claims in published maps and institutional affiliations. |
© 2022 by the authors. Licensee MDPI, Basel, Switzerland. This article is an open access article distributed under the terms and conditions of the Creative Commons Attribution (CC BY) license (https://creativecommons.org/licenses/by/4.0/).
Share and Cite
Hasegawa, S.; Kobayashi, N.; Wild, D.; Kaul, F.; Okubo, N.; Suzuki, A.; Kurita, Y.; Takano, S.; Nakajima, A.; Ichikawa, Y. Factors Contributing to Tumor Shrinkage after Peptide Receptor Radionuclide Therapy in Patients with Unresectable Neuroendocrine Tumors. Cancers 2022, 14, 3317. https://doi.org/10.3390/cancers14143317
Hasegawa S, Kobayashi N, Wild D, Kaul F, Okubo N, Suzuki A, Kurita Y, Takano S, Nakajima A, Ichikawa Y. Factors Contributing to Tumor Shrinkage after Peptide Receptor Radionuclide Therapy in Patients with Unresectable Neuroendocrine Tumors. Cancers. 2022; 14(14):3317. https://doi.org/10.3390/cancers14143317
Chicago/Turabian StyleHasegawa, Sho, Noritoshi Kobayashi, Damian Wild, Fesupplix Kaul, Naoki Okubo, Akihiro Suzuki, Yusuke Kurita, Shoko Takano, Atsushi Nakajima, and Yasushi Ichikawa. 2022. "Factors Contributing to Tumor Shrinkage after Peptide Receptor Radionuclide Therapy in Patients with Unresectable Neuroendocrine Tumors" Cancers 14, no. 14: 3317. https://doi.org/10.3390/cancers14143317
APA StyleHasegawa, S., Kobayashi, N., Wild, D., Kaul, F., Okubo, N., Suzuki, A., Kurita, Y., Takano, S., Nakajima, A., & Ichikawa, Y. (2022). Factors Contributing to Tumor Shrinkage after Peptide Receptor Radionuclide Therapy in Patients with Unresectable Neuroendocrine Tumors. Cancers, 14(14), 3317. https://doi.org/10.3390/cancers14143317

