Basal VEGF-A and ACE Plasma Levels of Metastatic Colorectal Cancer Patients Have Prognostic Value for First-Line Treatment with Chemotherapy Plus Bevacizumab
Abstract
Simple Summary
Abstract
1. Introduction
2. Materials and Methods
2.1. Patients
2.2. Clinicopathological Variables
2.3. Blood Collection and Plasma Separation
2.4. Analysis of Circulating Markers in Plasma
2.5. Statistical Analysis
3. Results
3.1. Baseline Characteristics of Patients
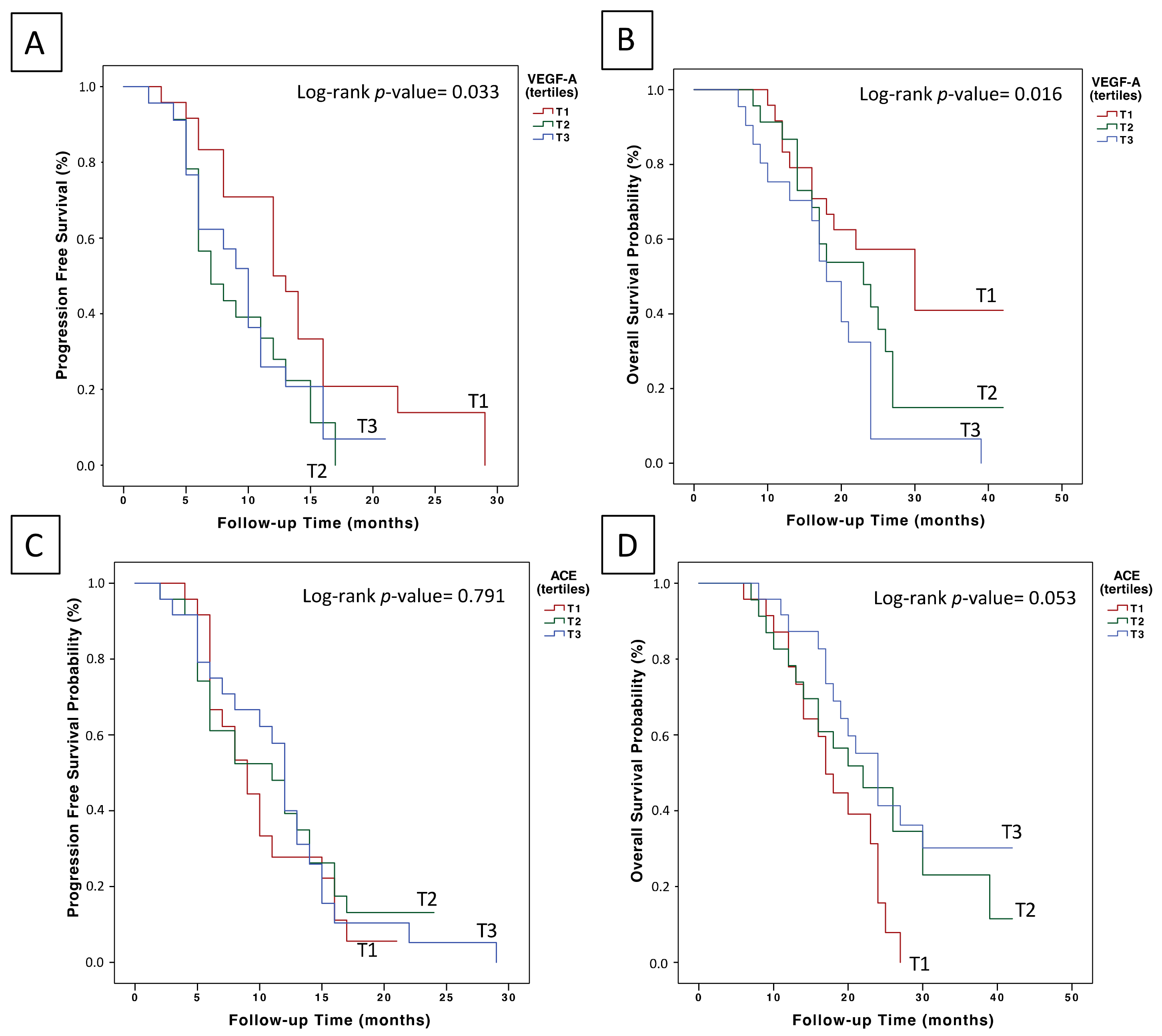
3.2. Basal VEGF-A and ACE Plasma Levels of mCRC Patients Have Prognostic Value for First-Line Treatment with Chemotherapy Plus Bevacizumab
3.3. Combining VEGF-A and ACE Plasma Levels Stratifies mCRC Patients into High-Risk or Low-Risk Groups Prior to Their Treatment with Bevacizumab
4. Discussion
5. Conclusions
Author Contributions
Funding
Institutional Review Board Statement
Informed Consent Statement
Data Availability Statement
Acknowledgments
Conflicts of Interest
Appendix A
| VEGF-A | ACE | |||||||
|---|---|---|---|---|---|---|---|---|
| T1 | T2 | T3 | p | T1 | T2 | T3 | p | |
| Gender | ||||||||
| Male | 19 | 11 | 12 | 14 | 14 | 16 | ||
| Female | 5 | 12 | 11 | 0.058 | 11 | 10 | 8 | 0.727 |
| Age | ||||||||
| >=60 | 6 | 8 | 12 | 9 | 9 | 10 | ||
| <60 | 18 | 15 | 11 | 0.150 | 16 | 15 | 14 | 0.915 |
| Tumor localization | ||||||||
| Left | 15 | 14 | 16 | 17 | 16 | 14 | ||
| Right | 9 | 9 | 7 | 0.807 | 8 | 8 | 10 | 0.748 |
| RAS mutational status | ||||||||
| Mutated | 20 | 19 | 19 | 23 | 17 | 19 | ||
| Wild type | 4 | 4 | 3 | 0.936 | 2 | 7 | 4 | 0.156 |
| ECOG at diagnosis | ||||||||
| 0–1 | 15 | 14 | 14 | 13 | 15 | 16 | ||
| >1 | 9 | 9 | 9 | 0.991 | 12 | 9 | 8 | 0.556 |
| Num of metastases | ||||||||
| Single site | 19 | 19 | 15 | 18 | 19 | 19 | ||
| Multiple | 5 | 4 | 8 | 0.345 | 7 | 5 | 5 | 0.790 |
| Patient Characteristic | Low Risk | Intermediate Risk | High Risk | p Value |
|---|---|---|---|---|
| (n = 11) | (n = 48) | (n = 14) | ||
| Age (median, range) | 59(49–68) | 63(60–66) | 59(53–65) | 0.237 |
| Gender | ||||
| Male | 9 | 27 | 8 | 0.284 |
| Female | 2 | 21 | 6 | |
| Localization | ||||
| Right side | 6 | 16 | 4 | 0.345 |
| Left side | 5 | 32 | 10 | |
| Histological subtype | ||||
| Adenocarcinoma | 9 | 42 | 13 | 0.856 |
| Mucinous/Ring cell | 2 | 6 | 1 | |
| Primary tumor surgery | ||||
| Yes | 5 | 20 | 8 | 0.634 |
| No | 3 | 24 | 6 | |
| ECOG at diagnosis | ||||
| 0 | 8 | 28 | 8 | 0.655 |
| 1 | 3 | 20 | 6 | |
| Number of metastasis locations | ||||
| ≤2 | 9 | 38 | 9 | 0.465 |
| >2 | 2 | 10 | 5 | |
| RAS mutational status | ||||
| Mutated | 9 | 37 | 13 | 0.483 |
| Wild Type | 2 | 10 | 1 | |
| BRAF mutational status | ||||
| Mutated | 0 | 5 | 0 | 0.568 |
| Wild Type | 2 | 10 | 3 | |
| Unknown | 9 | 33 | 11 | |
| Response first line | ||||
| Partial | 5 | 26 | 9 | 0.802 |
| Stable disease | 5 | 19 | 5 | |
| Progression disease | 1 | 3 | 0 | |
| Progression to first-line treatment | ||||
| Yes | 11 | 40 | 11 | 0.288 |
| No | 0 | 8 | 3 | |
| Exitus | ||||
| Yes | 6 | 31 | 11 | 0.435 |
| No | 5 | 17 | 3 |
| Variables | OS | PFS | ||
|---|---|---|---|---|
| HR (95% CI) | p | HR (95% CI) | p | |
| Prognostic Group | ||||
| Low | 1 (ref.) | 1 (ref.) | ||
| Intermediate | 0.46 (0.20–1.01) | 0.054 | 0.79 (0.37–1.68) | 0.541 |
| High | 0.14 (0.04–0.47) | 0.001 | 0.56 (0.23–1.50) | 0.246 |
| Gender | 0.60 (0.31–1.81) | 0.140 | 1.04 (0.59–1.83) | 0.881 |
| Age | 0.99 (0.96–1.04) | 0.915 | 0.98 (0.95–1.01) | 0.115 |
| ECOG | ||||
| 0 | 1(ref.) | 1(ref.) | ||
| 1 | 2.24 (1.19–4.27) | 0.014 | 2.01 (1.20–3.63) | 0.021 |
| RAS status | 1.03 (0.42–2.49) | 0.955 | 0.88 (0.44–1.78) | 0.733 |
| Localization of tumor | ||||
| Right | 1 (ref.) | |||
| Left | 0.36 (0.19–0.71) | 0.003 | 0.64 (0.35–1.18) | 0.152 |
| Number of metastases | 0.78 (0.36–1.64) | 0.514 | 0.91 (0.47–1.76) | 0.782 |
References
- Sung, H.; Ferlay, J.; Siegel, R.L.; Laversanne, M.; Soerjomataram, I.; Jemal, A.; Bray, F. Global Cancer Statistics 2020: GLOBOCAN Estimates of Incidence and Mortality Worldwide for 36 Cancers in 185 Countries. CA Cancer J. Clin. 2021, 71, 209–249. [Google Scholar] [CrossRef] [PubMed]
- Venook, A.P.; Niedzwiecki, D.; Lenz, H.J.; Innocenti, F.; Fruth, B.; Meyerhardt, J.A.; Schrag, D.; Greene, C.; O’Neil, B.H.; Atkins, J.N.; et al. Effect of First-Line Chemotherapy Combined With Cetuximab or Bevacizumab on Overall Survival in Patients With KRAS Wild-Type Advanced or Metastatic Colorectal Cancer: A Randomized Clinical Trial. JAMA 2017, 317, 2392–2401. [Google Scholar] [CrossRef] [PubMed]
- Heinemann, V.; von Weikersthal, L.F.; Decker, T.; Kiani, A.; Vehling-Kaiser, U.; Al-Batran, S.E.; Heintges, T.; Lerchenmuller, C.; Kahl, C.; Seipelt, G.; et al. FOLFIRI plus cetuximab versus FOLFIRI plus bevacizumab as first-line treatment for patients with metastatic colorectal cancer (FIRE-3): A randomised, open-label, phase 3 trial. Lancet Oncol. 2014, 15, 1065–1075. [Google Scholar] [CrossRef]
- Saltz, L.B.; Clarke, S.; Diaz-Rubio, E.; Scheithauer, W.; Figer, A.; Wong, R.; Koski, S.; Lichinitser, M.; Yang, T.S.; Rivera, F.; et al. Bevacizumab in combination with oxaliplatin-based chemotherapy as first-line therapy in metastatic colorectal cancer: A randomized phase III study. J. Clin. Oncol. 2008, 26, 2013–2019. [Google Scholar] [CrossRef]
- Hurwitz, H.; Fehrenbacher, L.; Novotny, W.; Cartwright, T.; Hainsworth, J.; Heim, W.; Berlin, J.; Baron, A.; Griffing, S.; Holmgren, E.; et al. Bevacizumab plus irinotecan, fluorouracil, and leucovorin for metastatic colorectal cancer. N. Engl. J. Med. 2004, 350, 2335–2342. [Google Scholar] [CrossRef]
- Culy, C. Bevacizumab: Antiangiogenic cancer therapy. Drugs Today 2005, 41, 23–36. [Google Scholar] [CrossRef]
- Stefanini, M.O.; Wu, F.T.; Mac Gabhann, F.; Popel, A.S. Increase of plasma VEGF after intravenous administration of bevacizumab is predicted by a pharmacokinetic model. Cancer Res. 2010, 70, 9886–9894. [Google Scholar] [CrossRef]
- Sessa, C.; Guibal, A.; Del Conte, G.; Ruegg, C. Biomarkers of angiogenesis for the development of antiangiogenic therapies in oncology: Tools or decorations? Nat. Clin. Pract. Oncol. 2008, 5, 378–391. [Google Scholar] [CrossRef]
- Stockmann, C.; Schadendorf, D.; Klose, R.; Helfrich, I. The impact of the immune system on tumor: Angiogenesis and vascular remodeling. Front. Oncol. 2014, 4, 69. [Google Scholar] [CrossRef]
- Stec, R.; Bodnar, L.; Charkiewicz, R.; Korniluk, J.; Rokita, M.; Smoter, M.; Ciechowicz, M.; Chyczewski, L.; Niklinski, J.; Kozlowski, W.; et al. K-Ras gene mutation status as a prognostic and predictive factor in patients with colorectal cancer undergoing irinotecan- or oxaliplatin-based chemotherapy. Cancer Biol. Ther. 2012, 13, 1235–1243. [Google Scholar] [CrossRef]
- Asghar, U.; Hawkes, E.; Cunningham, D. Predictive and prognostic biomarkers for targeted therapy in metastatic colorectal cancer. Clin. Colorectal Cancer 2010, 9, 274–281. [Google Scholar] [CrossRef]
- Diaz, L.A., Jr.; Shiu, K.K.; Kim, T.W.; Jensen, B.V.; Jensen, L.H.; Punt, C.; Smith, D.; Garcia-Carbonero, R.; Benavides, M.; Gibbs, P.; et al. Pembrolizumab versus chemotherapy for microsatellite instability-high or mismatch repair-deficient metastatic colorectal cancer (KEYNOTE-177): Final analysis of a randomised, open-label, phase 3 study. Lancet Oncol. 2022, 23, 659–670. [Google Scholar] [CrossRef]
- Kopetz, S.; Grothey, A.; Yaeger, R.; Van Cutsem, E.; Desai, J.; Yoshino, T.; Wasan, H.; Ciardiello, F.; Loupakis, F.; Hong, Y.S.; et al. Encorafenib, Binimetinib, and Cetuximab in BRAF V600E-Mutated Colorectal Cancer. N. Engl. J. Med. 2019, 381, 1632–1643. [Google Scholar] [CrossRef]
- Siena, S.; Di Bartolomeo, M.; Raghav, K.; Masuishi, T.; Loupakis, F.; Kawakami, H.; Yamaguchi, K.; Nishina, T.; Fakih, M.; Elez, E.; et al. Trastuzumab deruxtecan (DS-8201) in patients with HER2-expressing metastatic colorectal cancer (DESTINY-CRC01): A multicentre, open-label, phase 2 trial. Lancet Oncol. 2021, 22, 779–789. [Google Scholar] [CrossRef]
- Jurgensmeier, J.M.; Schmoll, H.J.; Robertson, J.D.; Brooks, L.; Taboada, M.; Morgan, S.R.; Wilson, D.; Hoff, P.M. Prognostic and predictive value of VEGF, sVEGFR-2 and CEA in mCRC studies comparing cediranib, bevacizumab and chemotherapy. Br. J. Cancer 2013, 108, 1316–1323. [Google Scholar] [CrossRef]
- Mohamed, S.Y.; Mohammed, H.L.; Ibrahim, H.M.; Mohamed, E.M.; Salah, M. Role of VEGF, CD105, and CD31 in the Prognosis of Colorectal Cancer Cases. J. Gastrointest. Cancer 2019, 50, 23–34. [Google Scholar] [CrossRef]
- Tsai, H.L.; Yang, I.P.; Lin, C.H.; Chai, C.Y.; Huang, Y.H.; Chen, C.F.; Hou, M.F.; Kuo, C.H.; Juo, S.H.; Wang, J.Y. Predictive value of vascular endothelial growth factor overexpression in early relapse of colorectal cancer patients after curative resection. Int. J. Colorectal Dis. 2013, 28, 415–424. [Google Scholar] [CrossRef]
- Des Guetz, G.; Uzzan, B.; Nicolas, P.; Cucherat, M.; Morere, J.F.; Benamouzig, R.; Breau, J.L.; Perret, G.Y. Microvessel density and VEGF expression are prognostic factors in colorectal cancer. Meta-analysis of the literature. Br. J. Cancer 2006, 94, 1823–1832. [Google Scholar] [CrossRef]
- Nanni, O.; Volpi, A.; Frassineti, G.L.; De Paola, F.; Granato, A.M.; Dubini, A.; Zoli, W.; Scarpi, E.; Turci, D.; Oliverio, G.; et al. Role of biological markers in the clinical outcome of colon cancer. Br. J. Cancer 2002, 87, 868–875. [Google Scholar] [CrossRef][Green Version]
- Zheng, S.; Han, M.Y.; Xiao, Z.X.; Peng, J.P.; Dong, Q. Clinical significance of vascular endothelial growth factor expression and neovascularization in colorectal carcinoma. World J. Gastroenterol. 2003, 9, 1227–1230. [Google Scholar] [CrossRef]
- Elez, E.; Gomez-Espana, M.A.; Gravalos, C.; Garcia-Alfonso, P.; Ortiz-Morales, M.J.; Losa, F.; Diaz, I.A.; Grana, B.; Toledano-Fonseca, M.; Valladares-Ayerbes, M.; et al. Effect of aflibercept plus FOLFIRI and potential efficacy biomarkers in patients with metastatic colorectal cancer: The POLAF trial. Br. J. Cancer 2022, 126, 874–880. [Google Scholar] [CrossRef] [PubMed]
- Moreno-Munoz, D.; de la Haba-Rodriguez, J.R.; Conde, F.; Lopez-Sanchez, L.M.; Valverde, A.; Hernandez, V.; Martinez, A.; Villar, C.; Gomez-Espana, A.; Porras, I.; et al. Genetic variants in the renin-angiotensin system predict response to bevacizumab in cancer patients. Eur. J. Clin. Investig. 2015, 45, 1325–1332. [Google Scholar] [CrossRef]
- Therasse, P.; Arbuck, S.G.; Eisenhauer, E.A.; Wanders, J.; Kaplan, R.S.; Rubinstein, L.; Verweij, J.; Van Glabbeke, M.; van Oosterom, A.T.; Christian, M.C.; et al. New guidelines to evaluate the response to treatment in solid tumors. European Organization for Research and Treatment of Cancer, National Cancer Institute of the United States, National Cancer Institute of Canada. J. Natl. Cancer Inst. 2000, 92, 205–216. [Google Scholar] [CrossRef] [PubMed]
- Shin, S.J.; Hwang, J.W.; Ahn, J.B.; Rha, S.Y.; Roh, J.K.; Chung, H.C. Circulating vascular endothelial growth factor receptor 2/pAkt-positive cells as a functional pharmacodynamic marker in metastatic colorectal cancers treated with antiangiogenic agent. Investig. New Drugs 2013, 31, 1–13. [Google Scholar] [CrossRef] [PubMed]
- Taieb, J.; Jung, A.; Sartore-Bianchi, A.; Peeters, M.; Seligmann, J.; Zaanan, A.; Burdon, P.; Montagut, C.; Laurent-Puig, P. The Evolving Biomarker Landscape for Treatment Selection in Metastatic Colorectal Cancer. Drugs 2019, 79, 1375–1394. [Google Scholar] [CrossRef]
- Hansen, T.F.; Qvortrup, C.; Pfeiffer, P. Angiogenesis Inhibitors for Colorectal Cancer. A Review of the Clinical Data. Cancers 2021, 13, 1031. [Google Scholar] [CrossRef] [PubMed]
- Tsai, H.L.; Lin, C.H.; Huang, C.W.; Yang, I.P.; Yeh, Y.S.; Hsu, W.H.; Wu, J.Y.; Kuo, C.H.; Tseng, F.Y.; Wang, J.Y. Decreased peritherapeutic VEGF expression could be a predictor of responsiveness to first-line FOLFIRI plus bevacizumab in mCRC patients. Int. J. Clin. Exp. Pathol. 2015, 8, 1900–1910. [Google Scholar]
- Hegde, P.S.; Jubb, A.M.; Chen, D.; Li, N.F.; Meng, Y.G.; Bernaards, C.; Elliott, R.; Scherer, S.J.; Chen, D.S. Predictive impact of circulating vascular endothelial growth factor in four phase III trials evaluating bevacizumab. Clin. Cancer Res. 2013, 19, 929–937. [Google Scholar] [CrossRef]
- Longo, R.; Gasparini, G. Anti-VEGF therapy: The search for clinical biomarkers. Expert Rev. Mol. Diagn. 2008, 8, 301–314. [Google Scholar] [CrossRef]
- Martins, S.F.; Reis, R.M.; Rodrigues, A.M.; Baltazar, F.; Filho, A.L. Role of endoglin and VEGF family expression in colorectal cancer prognosis and anti-angiogenic therapies. World J. Clin. Oncol. 2011, 2, 272–280. [Google Scholar] [CrossRef]
- Murukesh, N.; Dive, C.; Jayson, G.C. Biomarkers of angiogenesis and their role in the development of VEGF inhibitors. Br. J. Cancer 2010, 102, 8–18. [Google Scholar] [CrossRef]
- Marisi, G.; Scarpi, E.; Passardi, A.; Nanni, O.; Ragazzini, A.; Valgiusti, M.; Casadei Gardini, A.; Neri, L.M.; Frassineti, G.L.; Amadori, D.; et al. Circulating vegf and enos variations as predictors of outcome in metastatic colorectal cancer patients receiving bevacizumab. Sci. Rep. 2017, 7, 1293. [Google Scholar] [CrossRef]
- Almutlaq, M.; Alamro, A.A.; Alamri, H.S.; Alghamdi, A.A.; Barhoumi, T. The Effect of Local Renin Angiotensin System in the Common Types of Cancer. Front. Endocrinol. 2021, 12, 736361. [Google Scholar] [CrossRef]
- Li, M.; Kroetz, D.L. Bevacizumab-induced hypertension: Clinical presentation and molecular understanding. Pharmacol. Ther. 2018, 182, 152–160. [Google Scholar] [CrossRef]
- Carvalho, B.; Lopes, R.G.; Linhares, P.; Costa, A.; Caeiro, C.; Fernandes, A.C.; Tavares, N.; Osorio, L.; Vaz, R. Hypertension and proteinuria as clinical biomarkers of response to bevacizumab in glioblastoma patients. J. Neurooncol. 2020, 147, 109–116. [Google Scholar] [CrossRef]
- Masuyer, G.; Yates, C.J.; Sturrock, E.D.; Acharya, K.R. Angiotensin-I converting enzyme (ACE): Structure, biological roles, and molecular basis for chloride ion dependence. Biol. Chem. 2014, 395, 1135–1149. [Google Scholar] [CrossRef]
- Zhang, Y.; He, J.; Deng, Y.; Zhang, J.; Li, X.; Xiang, Z.; Huang, H.; Tian, C.; Huang, J.; Fan, H. The insertion/deletion (I/D) polymorphism in the Angiotensin-converting enzyme gene and cancer risk: A meta-analysis. BMC Med. Genet. 2011, 12, 159. [Google Scholar] [CrossRef]
- Afsar, B.; Afsar, R.E.; Ertuglu, L.A.; Kuwabara, M.; Ortiz, A.; Covic, A.; Kanbay, M. Renin-angiotensin system and cancer: Epidemiology, cell signaling, genetics and epigenetics. Clin. Transl. Oncol. 2021, 23, 682–696. [Google Scholar] [CrossRef]


| Patient Characteristics | n (%) | |
|---|---|---|
| Age (median, range) | 62, 35–87 | |
| Gender | Male | 44 (60.3) |
| Female | 29 (39.7) | |
| Localization | Right side | 26 (35.6) |
| Left side | 47 (64.4) | |
| Stage at diagnosis | Early stage | 10 (12.7) |
| Late stage | 62 (84.9) | |
| Histological subtype | Adenocarcinoma | 64 (87.7) |
| Mucinous/Ring cell | 9 (12.4) | |
| Histological grade | Well-differentiated | 9 (12.3) |
| Moderately differentiated | 61 (86.6) | |
| Poorly differentiated | 3 (4.1) | |
| Primary tumor surgery | Yes | 31 (42.5) |
| No | 42 (57.5) | |
| ECOG at diagnosis | 0 | 44 (60.3) |
| 1 | 29 (39.8) | |
| Number of metastases | ≤2 | 56 (76.7) |
| >2 | 17 (23.3) | |
| Liver metastases | Yes | 33 (45.2) |
| No | 40 (54.8) | |
| Lung metastases | Yes | 16 (21.9) |
| No | 57 (78.1) | |
| Peritoneal metastases | Yes | 9 (12.3) |
| No | 64 (87.7) | |
| RAS mutational status | Mutated | 59 (80.8) |
| Wild Type | 13 (17.8) | |
| Unknown | 1 (1.4) | |
| BRAF mutational status | Mutated | 5 (6.8) |
| Wild Type | 15 (20.5) | |
| Unknown | 53 (72.6) | |
| Microsatellite status | MSS | 65 (89.0) |
| MSI | 2 (2.7) | |
| Unknown | 6 (8.2) | |
| First-line palliative chemotherapy | FOLFOX/XELOX–bevacizumab | 63 (86.3) |
| FOLFIRI–bevacizumab | 3 (4.1) | |
| FOLFOXIRI–bevacizumab | 4 (5.5) | |
| Capecitabine–bevacizumab | 3 (4.1) | |
| Response | Partial Response | 40 (54.8) |
| Stable disease | 29 (39.7) | |
| Progression disease | 4 (5.5) | |
| First-line toxicity grade >2 | Yes | 21 (28.8) |
| No | 52 (71.2) | |
| Second-line palliative chemotherapy | Yes | 47 (64.4) |
| No | 26 (35.6) | |
| Progression to first-line treatment | Yes | 62 (84.9) |
| No | 11 (15.1) | |
| Exitus | Yes | 48 (65.8) |
| No | 25 (34.2) |
| Variables | OS | PFS | ||
|---|---|---|---|---|
| HR (95% CI) | p | HR (95% CI) | p | |
| VEGF-A | ||||
| T1 | 1 (ref.) | 1(ref.) | ||
| T2 | 1.9 | 0.124 | 2.15 | 0.045 |
| (0.85–4.30) | (1.02–4.54) | |||
| T3 | 4.28 | 0.001 | 2.64 | 0.014 |
| (1.83–10.0) | (1.21–5.65) | |||
| Gender | 0.6 | 0.13 | 1.12 | 0.685 |
| (0.31–1.16) | (0.64–1.96) | |||
| Age | 1.01 | 0.534 | 0.99 | 0.615 |
| (0.97–1.05) | (0.96–1.02) | |||
| ECOG | ||||
| 0 | 1 (ref.) | 1(ref.) | ||
| 1 | 2.32 | 0.01 | 2.11 | 0.014 |
| (1.22–4.42) | (1.16–3.83) | |||
| RAS status | 0.92 | 0.843 | 0.86 | 0.665 |
| (0.40–2.11) | (0.43–1.71) | |||
| Localization of tumor | ||||
| Right | 1(ref.) | 1(ref.) | ||
| Left | 0.33 | 0.001 | 0.6 | 0.018 |
| (0.17–0.65) | (0.33–1.12) | |||
| Number and localization of metastases | 0.75 | 0.43 | 0.77 | 0.439 |
| (0.36–1.55) | (0.39–1.50) | |||
| Variables | OS | PFS | ||
|---|---|---|---|---|
| HR (95% CI) | p | HR (95% CI) | p | |
| ACE | ||||
| T1 | 1 (ref.) | 1(ref.) | ||
| T2 | 0.69 | 0.339 | 0.98 | 0.952 |
| (0.33–1.47) | (0.51–1.89) | |||
| T3 | 0.44 | 0.032 | 0.95 | 0.879 |
| (0.21–0.93) | (0.50–1.80) | |||
| Gender | 0.67 | 0.231 | 1.05 | 0.863 |
| (0.35–1.29) | (0.60–1.84) | |||
| Age | 0.99 | 0.523 | 0.98 | 0.075 |
| (0.96–1.02) | (0.95–1.01) | |||
| ECOG | ||||
| 0 | 1 (ref.) | 1 (ref.) | ||
| 1 | 2.14 | 0.021 | 1.97 | 0.025 |
| (1.12–4.07) | (1.09–3.58) | |||
| RAS status | 0.96 | 0.92 | 1.06 | 0.862 |
| (0.42–2.20) | (0.55–2.06) | |||
| Localization of tumor | ||||
| Right | 1 (ref.) | 1 (ref.) | ||
| Left | 0.44 | 0.013 | 0.71 | 0.264 |
| (0.23–0.84) | (0.39–1.23) | |||
| Number and localization of metastases | 0.82 | 0.608 | 0.94 | 0.848 |
| (0.49–1.73) | (0.49–1.81) | |||
Publisher’s Note: MDPI stays neutral with regard to jurisdictional claims in published maps and institutional affiliations. |
© 2022 by the authors. Licensee MDPI, Basel, Switzerland. This article is an open access article distributed under the terms and conditions of the Creative Commons Attribution (CC BY) license (https://creativecommons.org/licenses/by/4.0/).
Share and Cite
Ortiz-Morales, M.J.; Toledano-Fonseca, M.; Mena-Osuna, R.; Cano, M.T.; Gómez-España, A.; Haba-Rodríguez, J.R.D.l.; Rodríguez-Ariza, A.; Aranda, E. Basal VEGF-A and ACE Plasma Levels of Metastatic Colorectal Cancer Patients Have Prognostic Value for First-Line Treatment with Chemotherapy Plus Bevacizumab. Cancers 2022, 14, 3054. https://doi.org/10.3390/cancers14133054
Ortiz-Morales MJ, Toledano-Fonseca M, Mena-Osuna R, Cano MT, Gómez-España A, Haba-Rodríguez JRDl, Rodríguez-Ariza A, Aranda E. Basal VEGF-A and ACE Plasma Levels of Metastatic Colorectal Cancer Patients Have Prognostic Value for First-Line Treatment with Chemotherapy Plus Bevacizumab. Cancers. 2022; 14(13):3054. https://doi.org/10.3390/cancers14133054
Chicago/Turabian StyleOrtiz-Morales, M. José, Marta Toledano-Fonseca, Rafael Mena-Osuna, M. Teresa Cano, Auxiliadora Gómez-España, Juan R. De la Haba-Rodríguez, Antonio Rodríguez-Ariza, and Enrique Aranda. 2022. "Basal VEGF-A and ACE Plasma Levels of Metastatic Colorectal Cancer Patients Have Prognostic Value for First-Line Treatment with Chemotherapy Plus Bevacizumab" Cancers 14, no. 13: 3054. https://doi.org/10.3390/cancers14133054
APA StyleOrtiz-Morales, M. J., Toledano-Fonseca, M., Mena-Osuna, R., Cano, M. T., Gómez-España, A., Haba-Rodríguez, J. R. D. l., Rodríguez-Ariza, A., & Aranda, E. (2022). Basal VEGF-A and ACE Plasma Levels of Metastatic Colorectal Cancer Patients Have Prognostic Value for First-Line Treatment with Chemotherapy Plus Bevacizumab. Cancers, 14(13), 3054. https://doi.org/10.3390/cancers14133054

