Associations of Variability in Metabolic Parameters with Lung Cancer: A Nationwide Population-Based Study
Abstract
Simple Summary
Abstract
1. Introduction
2. Materials and Methods
2.1. Study Population
2.2. Definitions of Variability
2.3. Study Outcomes and Follow-Up
2.4. Covariates
2.5. Statistical Analysis
3. Results
3.1. Baseline Characteristics of Study Participants
3.2. Lung Cancer Risk
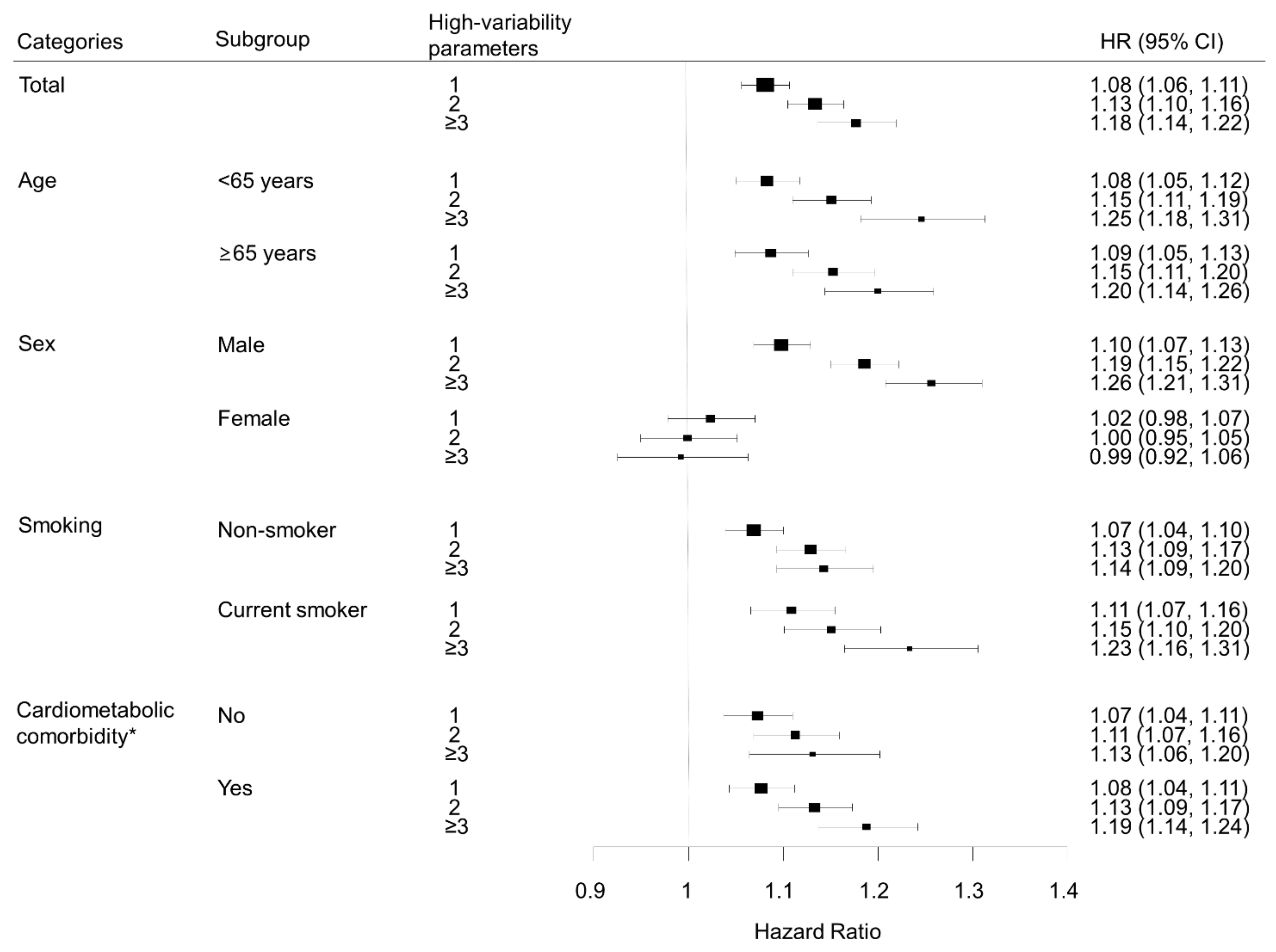
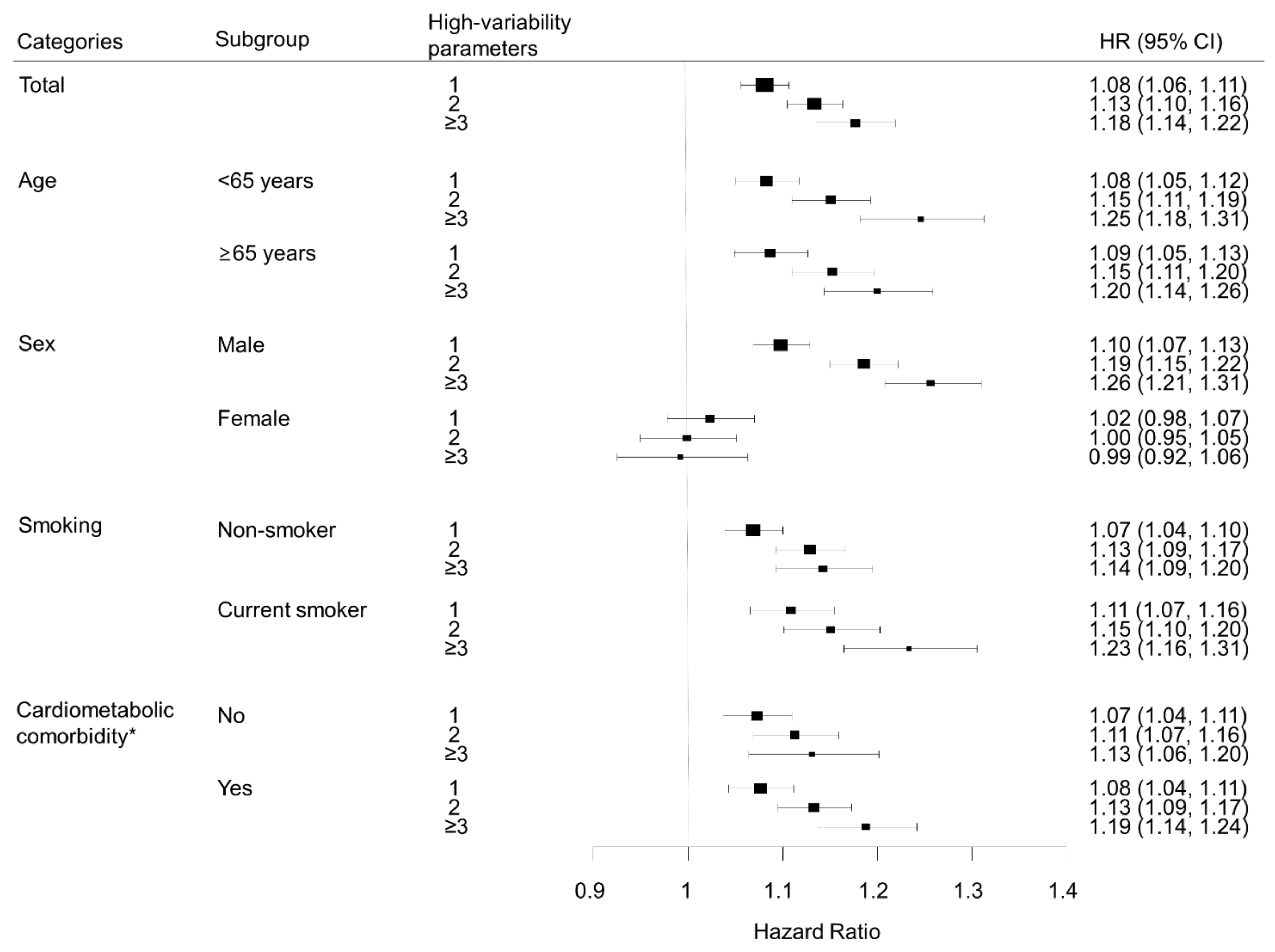
3.3. Subgroup Analyses
4. Discussion
Clinical Implications
5. Conclusions
Author Contributions
Funding
Institutional Review Board Statement
Informed Consent Statement
Data Availability Statement
Conflicts of Interest
References
- Bray, F.; Ferlay, J.; Soerjomataram, I.; Siegel, R.L.; Torre, L.A.; Jemal, A. Global cancer statistics 2018: GLOBOCAN estimates of incidence and mortality worldwide for 36 cancers in 185 countries. CA Cancer J. Clin. 2018, 68, 394–424. [Google Scholar] [CrossRef]
- Subramanian, J.; Govindan, R. Molecular profile of lung cancer in never smokers. EJC Suppl. 2013, 11, 248–253. [Google Scholar] [CrossRef][Green Version]
- Jemal, A.; Miller, K.D.; Ma, J.; Siegel, R.L.; Fedewa, S.A.; Islami, F.; Devesa, S.S.; Thun, M.J. Higher Lung Cancer Incidence in Young Women Than Young Men in the United States. N. Engl. J. Med. 2018, 378, 1999–2009. [Google Scholar] [CrossRef] [PubMed]
- Lee, M.Y.; Lin, K.D.; Hsiao, P.J.; Shin, S.J. The association of diabetes mellitus with liver, colon, lung, and prostate cancer is independent of hypertension, hyperlipidemia, and gout in Taiwanese patients. Metabolism 2012, 61, 242–249. [Google Scholar] [CrossRef] [PubMed]
- Akhtar, N.; Bansal, J.G. Risk factors of Lung Cancer in nonsmoker. Curr. Probl. Cancer 2017, 41, 328–339. [Google Scholar] [CrossRef] [PubMed]
- Lindgren, A.; Pukkala, E.; Nissinen, A.; Tuomilehto, J. Blood pressure, smoking, and the incidence of lung cancer in hypertensive men in North Karelia, Finland. Am. J. Epidemiol. 2003, 158, 442–447. [Google Scholar] [CrossRef] [PubMed]
- Lin, X.; Lu, L.; Liu, L.; Wei, S.; He, Y.; Chang, J.; Lian, X. Blood lipids profile and lung cancer risk in a meta-analysis of prospective cohort studies. J. Clin. Lipidol. 2017, 11, 1073–1081. [Google Scholar] [CrossRef]
- Gomes, M.; Teixeira, A.L.; Coelho, A.; Araujo, A.; Medeiros, R. The role of inflammation in lung cancer. Adv. Exp. Med. Biol. 2014, 816, 1–23. [Google Scholar] [CrossRef]
- Federico, A.; Morgillo, F.; Tuccillo, C.; Ciardiello, F.; Loguercio, C. Chronic inflammation and oxidative stress in human carcinogenesis. Int. J. Cancer 2007, 121, 2381–2386. [Google Scholar] [CrossRef]
- Cao, H.; Wang, G.; Meng, L.; Shen, H.; Feng, Z.; Liu, Q.; Du, J. Association between circulating levels of IGF-1 and IGFBP-3 and lung cancer risk: A meta-analysis. PLoS ONE 2012, 7, e49884. [Google Scholar] [CrossRef]
- Ntikoudi, E.; Kiagia, M.; Boura, P.; Syrigos, K.N. Hormones of adipose tissue and their biologic role in lung cancer. Cancer Treat. Rev. 2014, 40, 22–30. [Google Scholar] [CrossRef] [PubMed]
- Choi, S.; Shin, J.; Choi, S.Y.; Sung, K.C.; Ihm, S.H.; Kim, K.I.; Kim, Y.M. Impact of Visit-to-Visit Variability in Systolic Blood Pressure on Cardiovascular Outcomes in Korean National Health Insurance Service-National Sample Cohort. Am. J. Hypertens. 2017, 30, 577–586. [Google Scholar] [CrossRef] [PubMed]
- Muntner, P.; Joyce, C.; Levitan, E.B.; Holt, E.; Shimbo, D.; Webber, L.S.; Oparil, S.; Re, R.; Krousel-Wood, M. Reproducibility of visit-to-visit variability of blood pressure measured as part of routine clinical care. J. Hypertens. 2011, 29, 2332–2338. [Google Scholar] [CrossRef] [PubMed]
- Hirakawa, Y.; Arima, H.; Zoungas, S.; Ninomiya, T.; Cooper, M.; Hamet, P.; Mancia, G.; Poulter, N.; Harrap, S.; Woodward, M.; et al. Impact of visit-to-visit glycemic variability on the risks of macrovascular and microvascular events and all-cause mortality in type 2 diabetes: The ADVANCE trial. Diabetes Care 2014, 37, 2359–2365. [Google Scholar] [CrossRef]
- Lissner, L.; Odell, P.M.; D’Agostino, R.B.; Stokes, J., 3rd; Kreger, B.E.; Belanger, A.J.; Brownell, K.D. Variability of body weight and health outcomes in the Framingham population. N. Engl. J. Med. 1991, 324, 1839–1844. [Google Scholar] [CrossRef] [PubMed]
- Gosmanova, E.O.; Mikkelsen, M.K.; Molnar, M.Z.; Lu, J.L.; Yessayan, L.T.; Kalantar-Zadeh, K.; Kovesdy, C.P. Association of Systolic Blood Pressure Variability With Mortality, Coronary Heart Disease, Stroke, and Renal Disease. J. Am. Coll. Cardiol. 2016, 68, 1375–1386. [Google Scholar] [CrossRef]
- Kim, M.K.; Han, K.; Kim, H.S.; Park, Y.M.; Kwon, H.S.; Yoon, K.H.; Lee, S.H. Cholesterol variability and the risk of mortality, myocardial infarction, and stroke: A nationwide population-based study. Eur. Heart J. 2017, 38, 3560–3566. [Google Scholar] [CrossRef]
- Chang, Y.; Yoo, J.J.; Cho, E.J.; Han, K.; Kim, D.; Kim, B.Y.; Chung, G.E.; Cho, Y.; Shin, D.W.; Yu, S.J. Weight fluctuation and risk of hepatocellular carcinoma: A nationwide population-based 8-million-subject study. Hepatol. Int. 2021. [Google Scholar] [CrossRef]
- Yoo, J.J.; Cho, E.J.; Han, K.; Heo, S.S.; Kim, B.Y.; Shin, D.W.; Yu, S.J. Glucose variability and risk of hepatocellular carcinoma in diabetic patients: A nationwide population-based study. Cancer Epidemiol. Biomark. Prev. 2021. [Google Scholar] [CrossRef]
- Choi, T.; Choi, I.Y.; Han, K.; Jeong, S.M.; Yoo, J.E.; Rhee, S.Y.; Park, Y.G.; Shin, D.W. Lipid Level, Lipid Variability, and Risk of Multiple Myeloma: A Nationwide Population-Based Study of 3,527,776 Subjects. Cancers 2021, 13, 540. [Google Scholar] [CrossRef]
- Li, X.; Jiang, L.; Yang, M.; Wu, Y.W.; Sun, J.Z. Impact of weight cycling on CTRP3 expression, adipose tissue inflammation and insulin sensitivity in C57BL/6J mice. Exp. Med. 2018, 16, 2052–2059. [Google Scholar] [CrossRef] [PubMed]
- Kim, S.; Parks, C.G.; DeRoo, L.A.; Chen, H.; Taylor, J.A.; Cawthon, R.M.; Sandler, D.P. Obesity and weight gain in adulthood and telomere length. Cancer Epidemiol. Biomark. Prev. 2009, 18, 816–820. [Google Scholar] [CrossRef] [PubMed]
- French, S.A.; Folsom, A.R.; Jeffery, R.W.; Zheng, W.; Mink, P.J.; Baxter, J.E. Weight variability and incident disease in older women: The Iowa Women’s Health Study. Int. J. Obes. Relat. Metab. Disord. 1997, 21, 217–223. [Google Scholar] [CrossRef]
- Reaven, G.M. Role of insulin resistance in human disease (syndrome X): An expanded definition. Annu. Rev. Med. 1993, 44, 121–131. [Google Scholar] [CrossRef]
- Lee, J.; Lee, J.S.; Park, S.H.; Shin, S.A.; Kim, K. Cohort Profile: The National Health Insurance Service-National Sample Cohort (NHIS-NSC), South Korea. Int. J. Epidemiol. 2017, 46, e15. [Google Scholar] [CrossRef]
- Lee, H.; Cho, J.; Shin, D.W.; Lee, S.P.; Hwang, S.S.; Oh, J.; Yang, H.K.; Hwang, S.H.; Son, K.Y.; Chun, S.H.; et al. Association of cardiovascular health screening with mortality, clinical outcomes, and health care cost: A nationwide cohort study. Prev. Med. 2015, 70, 19–25. [Google Scholar] [CrossRef] [PubMed]
- Lee, S.H.; Han, K.; Cho, H.; Park, Y.M.; Kwon, H.S.; Kang, G.; Yoon, K.H.; Kim, M.K. Variability in metabolic parameters and risk of dementia: A nationwide population-based study. Alzheimers Res. 2018, 10, 110. [Google Scholar] [CrossRef]
- Kim, M.K.; Han, K.; Park, Y.M.; Kwon, H.S.; Kang, G.; Yoon, K.H.; Lee, S.H. Associations of Variability in Blood Pressure, Glucose and Cholesterol Concentrations, and Body Mass Index With Mortality and Cardiovascular Outcomes in the General Population. Circulation 2018, 138, 2627–2637. [Google Scholar] [CrossRef]
- Choi, D.; Choi, S.; Park, S.M. Impact of weight variability on mortality among Korean men and women: A population based study. Sci. Rep. 2019, 9, 9543. [Google Scholar] [CrossRef]
- Bluher, M.; Rudich, A.; Kloting, N.; Golan, R.; Henkin, Y.; Rubin, E.; Schwarzfuchs, D.; Gepner, Y.; Stampfer, M.J.; Fiedler, M.; et al. Two patterns of adipokine and other biomarker dynamics in a long-term weight loss intervention. Diabetes Care 2012, 35, 342–349. [Google Scholar] [CrossRef]
- Saito, Y.; Noto, H.; Takahashi, O.; Kobayashi, D. Visit-to-Visit Hemoglobin A1c Variability Is Associated With Later Cancer Development in Patients With Diabetes Mellitus. Cancer J. 2019, 25, 237–240. [Google Scholar] [CrossRef] [PubMed]
- Ceriello, A.; Esposito, K.; Piconi, L.; Ihnat, M.A.; Thorpe, J.E.; Testa, R.; Boemi, M.; Giugliano, D. Oscillating glucose is more deleterious to endothelial function and oxidative stress than mean glucose in normal and type 2 diabetic patients. Diabetes 2008, 57, 1349–1354. [Google Scholar] [CrossRef] [PubMed]
- Toya, T.; Sara, J.D.; Corban, M.T.; Taher, R.; Godo, S.; Herrmann, J.; Lerman, L.O.; Lerman, A. Assessment of peripheral endothelial function predicts future risk of solid-tumor cancer. Eur. J. Prev. Cardiol. 2019, 27, 608–618. [Google Scholar] [CrossRef] [PubMed]
- Koritzinsky, M.; Magagnin, M.G.; van den Beucken, T.; Seigneuric, R.; Savelkouls, K.; Dostie, J.; Pyronnet, S.; Kaufman, R.J.; Weppler, S.A.; Voncken, J.W.; et al. Gene expression during acute and prolonged hypoxia is regulated by distinct mechanisms of translational control. Embo J. 2006, 25, 1114–1125. [Google Scholar] [CrossRef]
- Herrmann, J.; Lerman, L.O.; Mukhopadhyay, D.; Napoli, C.; Lerman, A. Angiogenesis in atherogenesis. Arter. Thromb Vasc. Biol. 2006, 26, 1948–1957. [Google Scholar] [CrossRef]
- Paul, S.A.; Simons, J.W.; Mabjeesh, N.J. HIF at the crossroads between ischemia and carcinogenesis. J. Cell Physiol. 2004, 200, 20–30. [Google Scholar] [CrossRef] [PubMed]
- Hamet, P. Cancer and hypertension: A potential for crosstalk? J. Hypertens. 1997, 15, 1573–1577. [Google Scholar] [CrossRef]
- Moreau, P.; Tea, B.S.; Dam, T.V.; Hamet, P. Altered balance between cell replication and apoptosis in hearts and kidneys of newborn SHR. Hypertension 1997, 30, 720–724. [Google Scholar] [CrossRef]
- Aviv, A.; Aviv, H. Reflections on telomeres, growth, aging, and essential hypertension. Hypertension 1997, 29, 1067–1072. [Google Scholar] [CrossRef]
- Kim, K.I.; Lee, J.H.; Chang, H.J.; Cho, Y.S.; Youn, T.J.; Chung, W.Y.; Chae, I.H.; Choi, D.J.; Park, K.U.; Kim, C.H. Association between blood pressure variability and inflammatory marker in hypertensive patients. Circ. J. 2008, 72, 293–298. [Google Scholar] [CrossRef]
- Valavanidis, A.; Vlachogianni, T.; Fiotakis, K.; Loridas, S. Pulmonary oxidative stress, inflammation and cancer: Respirable particulate matter, fibrous dusts and ozone as major causes of lung carcinogenesis through reactive oxygen species mechanisms. Int. J. Environ. Res. Public Health 2013, 10, 3886–3907. [Google Scholar] [CrossRef]
- Kryston, T.B.; Georgiev, A.B.; Pissis, P.; Georgakilas, A.G. Role of oxidative stress and DNA damage in human carcinogenesis. Mutat. Res. 2011, 711, 193–201. [Google Scholar] [CrossRef] [PubMed]
- Filaire, E.; Dupuis, C.; Galvaing, G.; Aubreton, S.; Laurent, H.; Richard, R.; Filaire, M. Lung cancer: What are the links with oxidative stress, physical activity and nutrition. Lung Cancer 2013, 82, 383–389. [Google Scholar] [CrossRef]
- Lin, W.W.; Karin, M. A cytokine-mediated link between innate immunity, inflammation, and cancer. J. Clin. Investig. 2007, 117, 1175–1183. [Google Scholar] [CrossRef] [PubMed]
- Azad, N.; Rojanasakul, Y.; Vallyathan, V. Inflammation and lung cancer: Roles of reactive oxygen/nitrogen species. J. Toxicol. Environ. Health B Crit. Rev. 2008, 11, 1–15. [Google Scholar] [CrossRef]
- Mann, D.M.; Glazer, N.L.; Winter, M.; Paasche-Orlow, M.K.; Muntner, P.; Shimbo, D.; Adams, W.G.; Kressin, N.R.; Zhang, Y.; Choi, H.; et al. A pilot study identifying statin nonadherence with visit-to-visit variability of low-density lipoprotein cholesterol. Am. J. Cardiol. 2013, 111, 1437–1442. [Google Scholar] [CrossRef] [PubMed]
- Kronish, I.M.; Lynch, A.I.; Oparil, S.; Whittle, J.; Davis, B.R.; Simpson, L.M.; Krousel-Wood, M.; Cushman, W.C.; Chang, T.I.; Muntner, P. The Association Between Antihypertensive Medication Nonadherence and Visit-to-Visit Variability of Blood Pressure: Findings From the Antihypertensive and Lipid-Lowering Treatment to Prevent Heart Attack Trial. Hypertension 2016, 68, 39–45. [Google Scholar] [CrossRef]
- Sherman, B.W.; Lynch, W.D. The association of smoking with medical treatment adherence in the workforce of a large employer. Patient Prefer. Adherence 2014, 8, 477–486. [Google Scholar] [CrossRef]
- Han, E.; Sohn, H.S.; Lee, J.Y.; Jang, S. Health Behaviors and Medication Adherence in Elderly Patients. Am. J. Health Promot. 2017, 31, 278–286. [Google Scholar] [CrossRef]
- Cheng, T.Y.; Cramb, S.M.; Baade, P.D.; Youlden, D.R.; Nwogu, C.; Reid, M.E. The International Epidemiology of Lung Cancer: Latest Trends, Disparities, and Tumor Characteristics. J. Thorac. Oncol. 2016, 11, 1653–1671. [Google Scholar] [CrossRef]
- Goodwin, J.; Neugent, M.L.; Lee, S.Y.; Choe, J.H.; Choi, H.; Jenkins, D.M.R.; Ruthenborg, R.J.; Robinson, M.W.; Jeong, J.Y.; Wake, M.; et al. The distinct metabolic phenotype of lung squamous cell carcinoma defines selective vulnerability to glycolytic inhibition. Nat. Commun. 2017, 8, 15503. [Google Scholar] [CrossRef]
- Zhou, F.; Zhou, C. Lung cancer in never smokers-the East Asian experience. Transl. Lung Cancer Res. 2018, 7, 450–463. [Google Scholar] [CrossRef]
- Luo, Y.; Yang, Y.; Peng, P.; Zhan, J.; Wang, Z.; Zhu, Z.; Zhang, Z.; Liu, L.; Fang, W.; Zhang, L. Cholesterol synthesis disruption combined with a molecule-targeted drug is a promising metabolic therapy for EGFR mutant non-small cell lung cancer. Transl. Lung Cancer Res. 2021, 10, 128–142. [Google Scholar] [CrossRef] [PubMed]
- Rochlani, Y.; Pothineni, N.V.; Mehta, J.L. Metabolic Syndrome: Does it Differ Between Women and Men? Cardiovasc. Drugs 2015, 29, 329–338. [Google Scholar] [CrossRef] [PubMed]
- International Early Lung Cancer Action Program Investigators; Henschke, C.I.; Yip, R.; Miettinen, O.S. Women’s susceptibility to tobacco carcinogens and survival after diagnosis of lung cancer. JAMA 2006, 296, 180–184. [Google Scholar] [CrossRef]
- Webb, A.J.; Fischer, U.; Mehta, Z.; Rothwell, P.M. Effects of antihypertensive-drug class on interindividual variation in blood pressure and risk of stroke: A systematic review and meta-analysis. Lancet 2010, 375, 906–915. [Google Scholar] [CrossRef]
- Nansel, T.R.; Lipsky, L.M.; Liu, A. Greater diet quality is associated with more optimal glycemic control in a longitudinal study of youth with type 1 diabetes. Am. J. Clin. Nutr. 2016, 104, 81–87. [Google Scholar] [CrossRef]
- Zenari, L.; Marangoni, A. What are the preferred strategies for control of glycaemic variability in patients with type 2 diabetes mellitus? Diabetes Obes. Metab. 2013, 15 (Suppl. 2), 17–25. [Google Scholar] [CrossRef] [PubMed]
- Dandona, P. Minimizing Glycemic Fluctuations in Patients with Type 2 Diabetes: Approaches and Importance. Diabetes Technol. 2017, 19, 498–506. [Google Scholar] [CrossRef]
- Bangalore, S.; Breazna, A.; DeMicco, D.A.; Wun, C.C.; Messerli, F.H.; TNT Steering Committee and Investigators. Visit-to-visit low-density lipoprotein cholesterol variability and risk of cardiovascular outcomes: Insights from the TNT trial. J. Am. Coll. Cardiol. 2015, 65, 1539–1548. [Google Scholar] [CrossRef]
- Vinogradova, Y.; Coupland, C.; Hippisley-Cox, J. Exposure to statins and risk of common cancers: A series of nested case-control studies. BMC Cancer 2011, 11, 409. [Google Scholar] [CrossRef]
- Wang, J.; Li, C.; Tao, H.; Cheng, Y.; Han, L.; Li, X.; Hu, Y. Statin use and risk of lung cancer: A meta-analysis of observational studies and randomized controlled trials. PLoS ONE 2013, 8, e77950. [Google Scholar] [CrossRef] [PubMed]
- Kwon, Y.J.; You, N.Y.; Lee, J.W.; Kim, J.; Kang, H.T. High Receipt of Statins Reduces the Risk of Lung Cancer in Current Smokers With Hypercholesterolemia: The National Health Insurance Service-Health Screening Cohort. Clin. Lung Cancer 2019, 20, e177–e185. [Google Scholar] [CrossRef] [PubMed]
- Marcus, Y.; Segev, E.; Shefer, G.; Sack, J.; Tal, B.; Yaron, M.; Carmeli, E.; Shefer, L.; Margaliot, M.; Limor, R.; et al. Multidisciplinary Treatment of the Metabolic Syndrome Lowers Blood Pressure Variability Independent of Blood Pressure Control. J. Clin. Hypertens. (Greenwich) 2016, 18, 19–24. [Google Scholar] [CrossRef] [PubMed]




| Metabolic Parameter Variability Index | |||||
|---|---|---|---|---|---|
| N | 0 | 1 | 2 | ≥3 | p-Value |
| 2,717,080 | 3,143,249 | 1,638,357 | 512,523 | ||
| Age (years) | 47.0 ± 12.6 | 47.8 ± 13.6 | 49.1 ± 14.6 | 50.9 ± 15.5 | <0.0001 |
| Sex (male) | 1,713,623 (63.1) | 1,838,363 (58.5) | 899,735 (54.9) | 265,490 (51.8) | <0.0001 |
| Smoking | <0.0001 | ||||
| Current, ≥20 cigarettes/d | 300,149 (11.2) | 357,894 (11.5) | 187,225 (11.5) | 57,279 (11.3) | |
| Current, 10–19 cigarettes/d | 309,947 (11.6) | 350,470 (11.3) | 172,483 (10.6) | 49,882 (9.8) | |
| Current, <10 cigarettes/d | 73,226 (2.7) | 82,665 (2.7) | 42,841 (2.6) | 13,481 (2.7) | |
| Ex-smoker, ≥20 cigarettes/d | 197,683 (7.4) | 220,694 (7.1) | 115,329 (7.1) | 36,941 (7.3) | |
| Ex-smoker, 10–19 cigarettes/d | 202,687 (7.6) | 199,952 (6.4) | 92,182 (5.7) | 25,932 (5.1) | |
| Ex-smoker, <10 cigarettes/d | 66,945 (2.5) | 67,013 (2.2) | 31,226 (1.9) | 9,217 (1.8) | |
| Non-smoker | 1,524,265 (57.0) | 1,827,619 (58.8) | 980,858 (60.5) | 315,241 (62.1) | |
| Alcohol consumption | <0.0001 | ||||
| None | 1,275,385 (46.9) | 1,585,324 (50.4) | 881,290 (53.8) | 295,313 (57.6) | |
| Mild to moderate (<30 g/day) | 1,228,722 (45.2) | 1,316,605 (41.9) | 632,673 (38.6) | 178,623 (34.9) | |
| Heavy (≥30 g/day) | 212,973 (7.8) | 241,320 (7.7) | 124,394 (7.6) | 38,587 (7.5) | |
| Regular physical activity | 554,176 (20.4) | 618,857 (19.7) | 310,185 (18.9) | 91,513 (17.9) | <0.0001 |
| Household income | <0.0001 | ||||
| Q1 | 497,420 (18.3) | 656,015 (20.7) | 376,498 (23.0) | 124,962 (24.4) | |
| Q2 | 678,140 (25.0) | 857,948 (27.3) | 469,876 (28.7) | 149,408 (29.2) | |
| Q3 | 782,055 (28.8) | 890,502 (28.3) | 449,887 (27.5) | 137,954 (26.9) | |
| Q4 | 759,465 (28.0) | 738,784 (23.5) | 342,096 (20.9) | 100,199 (19.6) | |
| Diabetes, yes | 132,900 (4.9) | 251,351 (8.0) | 197,392 (12.1) | 92,535 (18.1) | <0.0001 |
| Hypertension, yes | 577,053 (21.2) | 809,433 (25.8) | 506,657 (30.9) | 189,502 (37.0) | <0.0001 |
| Dyslipidemia, yes | 307,439 (11.3) | 489,095 (15.7) | 332,534 (20.3) | 130,019 (25.4) | <0.0001 |
| Chronic kidney disease, yes | 162,774 (6.0) | 195,852 (6.2) | 116,477 (7.1) | 44,695 (8.7) | <0.0001 |
| Metabolic syndrome, yes | |||||
| Weight (kg) | 65.1 ± 11.2 | 64.5 ± 11.5 | 63.9 ± 11.8 | 63.1 ± 12.1 | <0.0001 |
| Height (cm) | 165.4 ± 8.9 | 164.4 ± 9.2 | 163.4 ± 9.3 | 162.4 ± 9.5 | <0.0001 |
| Waist circumference (cm) | 80.4 ± 8.7 | 80.5 ± 8.9 | 80.7 ± 9.0 | 81.0 ± 9.2 | <0.0001 |
| Body mass index (kg/m2) | 23.7 ± 3.0 | 23.8 ± 3.1 | 23.8 ± 3.3 | 23.8 ± 3.4 | <0.0001 |
| Fasting blood glucose (mg/dL) | 95.3 ± 16.9 | 96.7 ± 21.1 | 98.6 ± 25.5 | 101.3 ± 30.8 | <0.0001 |
| Systolic BP (mmHg) | 122.4 ± 13.0 | 122.4 ± 14.5 | 122.6 ± 15.9 | 122.8 ± 17.4 | <0.0001 |
| Diastolic BP (mmHg) | 76.6 ± 9.3 | 76.4 ± 9.8 | 76.3 ± 10.2 | 76.3 ± 10.7 | <0.0001 |
| Total cholesterol (mg/dL) | 196.4 ± 33.2 | 195.7 ± 35.8 | 195.3 ± 38.9 | 194.9 ± 42.7 | <0.0001 |
| HDL cholesterol (mg/dL) | 54.8 ± 19.1 | 55.1 ± 19.8 | 55.3 ± 20.7 | 55.5 ± 21.9 | <0.0001 |
| LDL cholesterol (mg/dL) | 116.6 ± 44.5 | 115.2 ± 46.2 | 114.1 ± 5 | 112.7 ± 49.0 | <0.0001 |
| Triglycerides (geometric mean) | 112.5 (112.4–112.5) | 113.6 (113.5–113.7) | 115.7 (115.6–115.8) | 118.7 (118.5–118.9) | <0.0001 |
| Glucose VIM | 7.12 ± 3.07 | 9.9 ± 5.7 | 12.5 ± 6.6 | 15.7 ± 6.5 | <0.0001 |
| Weight VIM | 1.3 ± 0.6 | 1.9 ± 1.3 | 2.2 ± 1.6 | 3.3 ± 1.9 | <0.0001 |
| Systolic BP VIM | 6.9 ± 2.9 | 9.3 ± 4.9 | 11.4 ± 5.5 | 13.9 ± 5.3 | <0.0001 |
| Total cholesterol VIM | 13.8 ± 5.6 | 18.7 ± 10.7 | 24.6 ± 12.9 | 31.5 ± 13.1 | <0.0001 |
| N | Events (n) | Follow-Up Duration (Person-Years) | Incidence Rate per 1000 | HR (95% CI) Model 1 1 | HR (95% CI) Model 2 2 | |
|---|---|---|---|---|---|---|
| Glucose variability (VIM) | ||||||
| Q1 | 2,002,582 | 10,692 | 13,733,341 | 0.78 | 1 (Reference) | 1 (Reference) |
| Q2 | 2,003,021 | 10,577 | 13,852,596 | 0.76 | 1.03 (1.00, 1.06) | 1.03 (1.00, 1.06) |
| Q3 | 2,002,771 | 10,799 | 13,890,020 | 0.78 | 1.04 (1.01, 1.07) | 1.03 (1.01, 1.06) |
| Q4 | 2,002,835 | 12,914 | 13,846,359 | 0.93 | 1.08 (1.05, 1.10) | 1.06 (1.03, 1.09) |
| p for trend | <0.001 | <0.001 | ||||
| Weight variability (VIM) | ||||||
| Q1 | 2,003,177 | 11,248 | 13,828,884 | 0.81 | 1 (Reference) | 1 (Reference) |
| Q2 | 2,002,517 | 10,659 | 13,903,250 | 0.77 | 0.99 (0.97, 1.02) | 0.99 (0.96, 1.01) |
| Q3 | 2,003,817 | 11,088 | 13,877,666 | 0.80 | 1.03 (1.01, 1.06) | 1.02 (0.99, 1.05) |
| Q4 | 2,001,698 | 11,987 | 13,712,516 | 0.87 | 1.06 (1.04, 1.09) | 1.04 (1.01, 1.06) |
| p for trend | <0.001 | 0.001 | ||||
| Systolic blood pressure variability (VIM) | ||||||
| Q1 | 2,034,696 | 10,478 | 14,014,465 | 0.75 | 1 (Reference) | 1 (Reference) |
| Q2 | 1,970,945 | 9321 | 13,675,543 | 0.68 | 1.00 (0.97, 1.03) | 1.00 (0.97, 1.02) |
| Q3 | 1,998,818 | 10,952 | 13,875,173 | 0.79 | 1.03 (1.00, 1.06) | 1.02 (1.00, 1.05) |
| Q4 | 2,006,750 | 14,231 | 13,757,135 | 1.03 | 1.09 (1.06, 1.11) | 1.07 (1.05, 1.10) |
| P for trend | <0.001 | <0.001 | ||||
| Total cholesterol variability (VIM) | ||||||
| Q1 | 2,002,798 | 10,232 | 13,794,745 | 0.74 | 1 (Reference) | 1 (Reference) |
| Q2 | 2,002,798 | 9683 | 13,915,420 | 0.70 | 0.99 (0.96, 1.01) | 0.98 (0.96, 1.012) |
| Q3 | 2,002,811 | 10,692 | 13,889,463 | 0.77 | 1.04 (1.01, 1.07) | 1.03 (1.01, 1.062) |
| Q4 | 2,002,802 | 14,375 | 13,722,688 | 1.05 | 1.11 (1.09, 1.14) | 1.11 (1.08, 1.136) |
| p for trend | <0.001 | <0.001 | ||||
| Number of high-variability metabolic parameters | ||||||
| 0 | 2,717,080 | 12,049 | 18,872,698 | 0.64 | 1 (Reference) | 1 (Reference) |
| 1 | 3,143,249 | 17,319 | 21,720,541 | 0.80 | 1.09 (1.07, 1.12) | 1.08 (1.06, 1.11) |
| 2 | 1,638,357 | 11,193 | 11,248,022 | 1.00 | 1.16 (1.16, 1.19) | 1.13 (1.11, 1.16) |
| ≥3 | 512,523 | 4421 | 3,481,056 | 1.27 | 1.21 (1.17, 1.25) | 1.18 (1.14, 1.22) |
| p for trend | <0.001 | <0.001 | ||||
Publisher’s Note: MDPI stays neutral with regard to jurisdictional claims in published maps and institutional affiliations. |
© 2021 by the authors. Licensee MDPI, Basel, Switzerland. This article is an open access article distributed under the terms and conditions of the Creative Commons Attribution (CC BY) license (https://creativecommons.org/licenses/by/4.0/).
Share and Cite
Cho, I.Y.; Han, K.; Shin, D.W.; Cho, M.H.; Yoo, J.E.; Cho, J.H. Associations of Variability in Metabolic Parameters with Lung Cancer: A Nationwide Population-Based Study. Cancers 2021, 13, 1982. https://doi.org/10.3390/cancers13081982
Cho IY, Han K, Shin DW, Cho MH, Yoo JE, Cho JH. Associations of Variability in Metabolic Parameters with Lung Cancer: A Nationwide Population-Based Study. Cancers. 2021; 13(8):1982. https://doi.org/10.3390/cancers13081982
Chicago/Turabian StyleCho, In Young, Kyungdo Han, Dong Wook Shin, Mi Hee Cho, Jung Eun Yoo, and Jong Ho Cho. 2021. "Associations of Variability in Metabolic Parameters with Lung Cancer: A Nationwide Population-Based Study" Cancers 13, no. 8: 1982. https://doi.org/10.3390/cancers13081982
APA StyleCho, I. Y., Han, K., Shin, D. W., Cho, M. H., Yoo, J. E., & Cho, J. H. (2021). Associations of Variability in Metabolic Parameters with Lung Cancer: A Nationwide Population-Based Study. Cancers, 13(8), 1982. https://doi.org/10.3390/cancers13081982
