Stromal Cell-Derived Factor 1α (SDF-1α) in Invasive Breast Cancer: Associations with Vasculo-Angiogenic Factors and Prognostic Significance
Abstract
Simple Summary
Abstract
1. Introduction
2. Materials and Methods
2.1. Patient Selection
2.2. Study Design
2.3. Inclusion and Exclusion Criteria
2.4. Follow-Up Details
2.5. Methods
2.5.1. Blood Sampling and Laboratory Tests
2.5.2. Cut-Off Values for Analysed Variables
2.5.3. Immunophenotyping
2.5.4. Immunohistochemical Detection of Hormone Receptors, Ki67 and HER2
2.6. Statistical Methods
3. Results
3.1. Patient-Specific Data
3.2. Analysis of SDF-1α and Selected Vasculo-Angiogenic Factors as Prognostic Markers Using Univariate and Multivariate Cox Proportional Hazards Regression Models
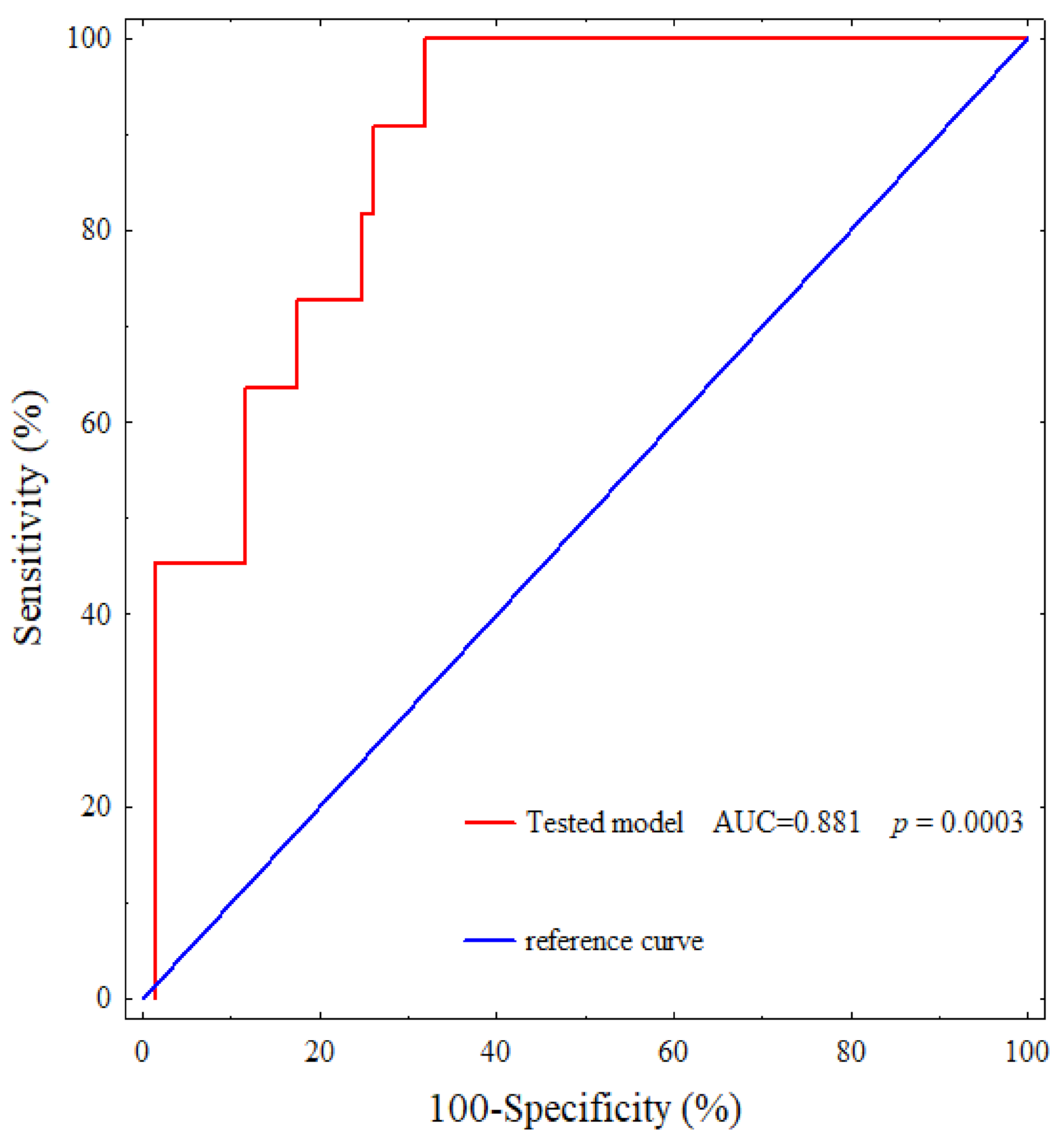
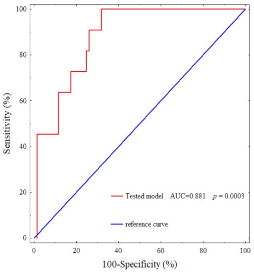
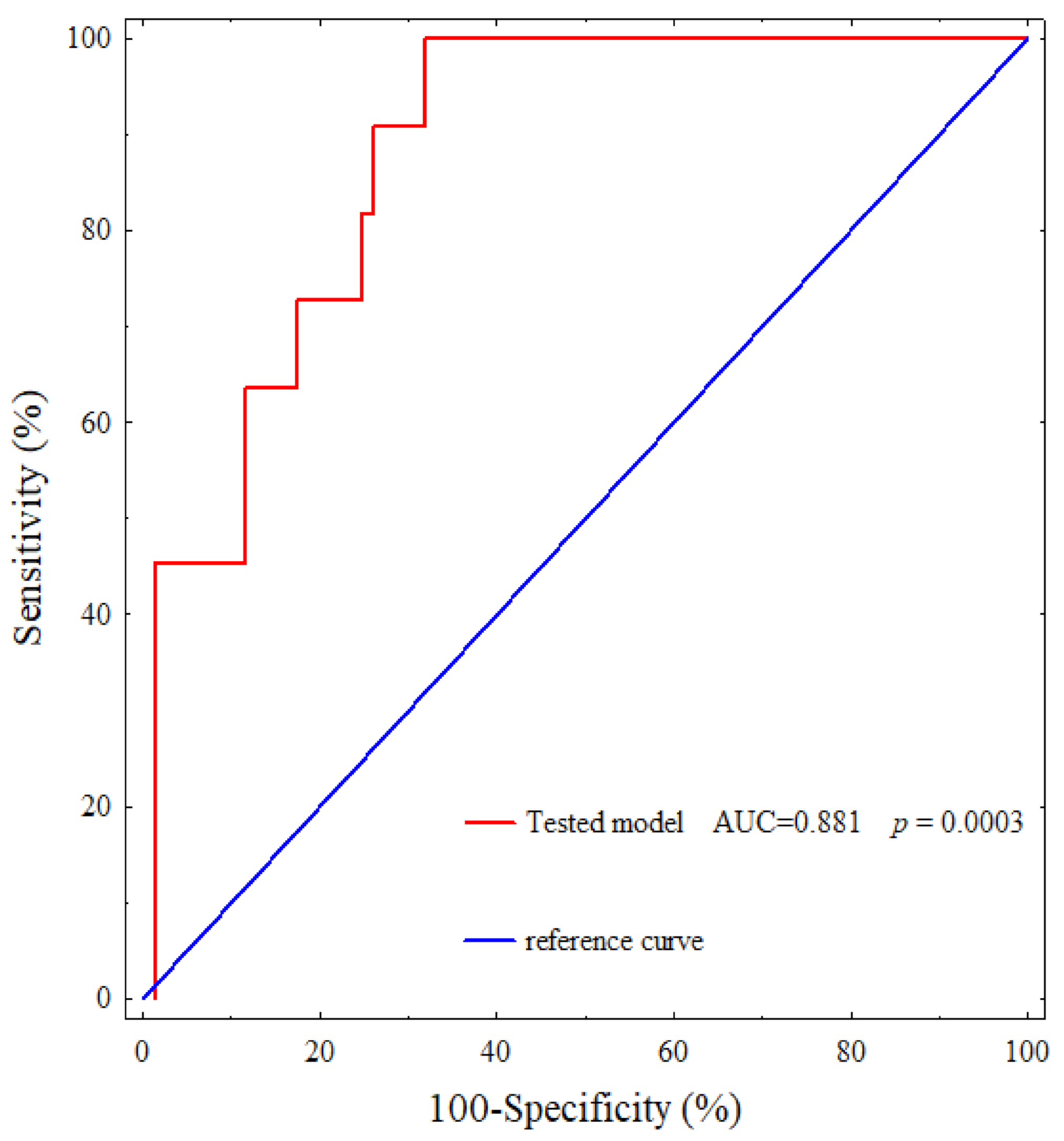
3.3. Assessment of the Analysed Parameters’ Ability to Predict Disease Recurrence, According to the Receiver Operating Characteristics Curve (ROC)
3.4. Predictive Value of Pre-Treatment Values of SDF-1α (A), Circulating EPCs (B), VEGF-A (C), sVEGFR1 (D), sVEGFR2 (E) and sVEGFR2/sVEGFR1 Ratio (F) for Survival
3.5. Survival Time Analysis with Respect to the Combinations of SDF-1α with Circulating EPCs (5A), SDF-1α with sVEGFR1 (5B), SDF-1α with VEGF-A (6A), SDF-1α with sVEGFR2 (6B), and SDF-1α with the sVEGFR2/sVEGFR1 Ratio (6C)
4. Discussion
4.1. Pre-Treatment Values of SDF-1α as a Prognostic Indicator
4.2. Pre-Treatment Values of SDF-1α with Respect to Clinicopathological Features
4.3. Pre-Treatment Number of Circulating Endothelial Cells as a Prognostic Indicator
4.4. Pre-Treatment Concentrations of Selected Angiogenic Parameters as Prognostic Indicators
4.5. Strengths and Limitations of the Study
5. Conclusions
Supplementary Materials
Author Contributions
Funding
Institutional Review Board Statement
Informed Consent Statement
Data Availability Statement
Acknowledgments
Conflicts of Interest
References
- Vallejos, C.S.; Gómez, H.L.; Cruz, W.R.; Pinto, J.A.; Dyer, R.R.; Velarde, R.; Suazo, J.F.; Neciosup, S.P.; León, M.; De La Cruz, M.A.; et al. Breast Cancer Classification According to Immunohistochemistry Markers: Subtypes and Association with Clinicopathologic Variables in a Peruvian Hospital Database. Clin. Breast Cancer 2010, 10, 294–300. [Google Scholar] [CrossRef] [PubMed]
- Dewan, M.; Ahmed, S.; Iwasaki, Y.; Ohba, K.; Toi, M.; Yamamoto, N. Stromal cell-derived factor-1 and CXCR4 receptor interaction in tumor growth and metastasis of breast cancer. Biomed. Pharmacother. 2006, 60, 273–276. [Google Scholar] [CrossRef] [PubMed]
- Tarin, D. Cell and tissue interactions in carcinogenesis and metastasis and their clinical significance. Semin. Cancer Biol. 2011, 21, 72–82. [Google Scholar] [CrossRef] [PubMed]
- Osman, N.; Osman, M. SDF-1 and MMP2 cross talk in cancer cells and tumor microenvironment in non-small cell lung cancer. Egypt. J. Chest Dis. Tuberc. 2016, 65, 517–525. [Google Scholar] [CrossRef]
- Kang, H.; Watkins, G.; Parr, C.; Douglas-Jones, A.; Mansel, R.E.; Jiang, W.G. Stromal cell derived factor-1: Its influence on invasiveness and migration of breast cancer cells in vitro, and its association with prognosis and survival in human breast cancer. Breast Cancer Res. 2005, 7, R402–R410. [Google Scholar] [CrossRef]
- Lim, S.; Nam, H.; Jeon, J.S. Chemotaxis Model for Breast Cancer Cells Based on Signal/Noise Ratio. Biophys. J. 2018, 115, 2034–2043. [Google Scholar] [CrossRef]
- Teicher, B.A.; Fricker, S.P. CXCL12 (SDF-1)/CXCR4 Pathway in Cancer. Clin. Cancer Res. 2010, 16, 2927–2931. [Google Scholar] [CrossRef]
- Zhou, W.; Guo, S.; Liu, M.; Burow, M.E.; Wang, G. Targeting CXCL12/CXCR4 Axis in Tumor Immunotherapy. Curr. Med. Chem. 2019, 26, 3026–3041. [Google Scholar] [CrossRef]
- Zeng, Y.; Wang, X.; Yin, B.; Xia, G.; Shen, Z.; Gu, W.; Wu, M. Role of the stromal cell derived factor-1/CXC chemokine receptor 4 axis in the invasion and metastasis of lung cancer and mechanism. J. Thorac. Dis. 2017, 9, 4947–4959. [Google Scholar] [CrossRef]
- Feng, Q.; Guo, P.; Wang, J.; Zhang, X.; Yang, H.C.; Feng, J.G. High expression of SDF-1 and VEGF is associated with poor prognosis in patients with synovial sarcomas. Exp. Ther. Med. 2018, 15, 2597–2603. [Google Scholar] [CrossRef]
- Ge, Y.-Z.; Wu, R.; Lu, T.-Z.; Xin, H.; Yu, P.; Zhao, Y.; Liu, H.; Xu, Z.; Xu, L.-W.; Shen, J.-W.; et al. Circulating endothelial progenitor cell: A promising biomarker in clinical oncology. Med. Oncol. 2015, 32, 332. [Google Scholar] [CrossRef]
- Ceci, C.; Atzori, M.G.; Lacal, P.M.; Graziani, G. Role of VEGFs/VEGFR-1 Signaling and Its Inhibition in Modulating Tumor Invasion: Experimental Evidence in Different Metastatic Cancer Models. Int. J. Mol. Sci. 2020, 21, 1388. [Google Scholar] [CrossRef]
- Chen, Y.; Gou, X.; Kong, D.K.; Wang, X.; Wang, J.; Chen, Z.; Huang, C.; Zhou, J. EMMPRIN regulates tumor growth and metastasis by recruiting bone marrow-derived cells through paracrine signaling of SDF-1 and VEGF. Oncotarget 2015, 6, 32575–32585. [Google Scholar] [CrossRef]
- Zarychta, E.; Rhone, P.; Bielawski, K.; Rosc, D.; Szot, K.; Zdunska, M.; Ruszkowska-Ciastek, B. Elevated plasma levels of tis-sue factor as a valuable diagnostic biomarker with relevant efficacy for prediction of breast cancer morbidity. J. Physiol. Pharmacol. 2018, 69, 1–11. [Google Scholar] [CrossRef]
- Mancuso, P.; Antoniotti, P.; Quarna, J.; Calleri, A.; Rabascio, C.; Tacchetti, C.; Braidotti, P.; Wu, H.-K.; Zurita, A.J.; Saronni, L.; et al. Validation of a Standardized Method for Enumerating Circulating Endothelial Cells and Progenitors: Flow Cytometry and Molecular and Ultrastructural Analyses. Clin. Cancer Res. 2009, 15, 267–273. [Google Scholar] [CrossRef]
- Rhone, P.; Bielawski, K.; Ziołkowska, K.; Rość, D.; Ruszkowska-Ciastek, B. Low Pre-Treatment Count of Circulating Endothelial Progenitors as a Prognostic Biomarker of the High Risk of Breast Cancer Recurrence. J. Clin. Med. 2019, 8, 1984. [Google Scholar] [CrossRef]
- Emon, B.; Bauer, J.; Jain, Y.; Jung, B.; Saif, T. Biophysics of Tumor Microenvironment and Cancer Metastasis—A Mini Review. Comput. Struct. Biotechnol. J. 2018, 16, 279–287. [Google Scholar] [CrossRef]
- Gelmini, S.; Mangoni, M.; Serio, M.; Romagnani, P.; Lazzeri, E. The critical role of SDF-1/CXCR4 axis in cancer and cancer stem cells metastasis. J. Endocrinol. Investig. 2008, 31, 809–819. [Google Scholar] [CrossRef]
- Hassan, S.; Baccarelli, A.; Salvucci, O.; Basik, M. Plasma Stromal Cell-Derived Factor-1: Host Derived Marker Predictive of Distant Metastasis in Breast Cancer. Clin. Cancer Res. 2008, 14, 446–454. [Google Scholar] [CrossRef]
- Cabioglu, N.; Sahin, A.A.; Morandi, P.; Meric-Bernstam, F.; Islam, R.; Lin, H.Y.; Bucana, C.D.; Gonzalez-Angulo, A.M.; Hortobagyi, G.N.; Cristofanilli, M. Chemokine receptors in advanced breast cancer: Differential expression in metastatic disease sites with diagnostic and therapeutic implications. Ann. Oncol. 2009, 20, 1013–1019. [Google Scholar] [CrossRef]
- Andre, F.; Cabioglu, N.; Assi, H.; Sabourin, J.C.; Delaloge, S.; Sahin, A.; Broglio, K.; Spano, J.P.; Combadiere, C.; Bucana, C.; et al. Expression of chemokine receptors predicts the site of metastatic relapse in patients with axillary node positive primary breast cancer. Ann. Oncol. 2006, 17, 945–951. [Google Scholar] [CrossRef] [PubMed]
- Kong, L.; Guo, S.; Liu, C.; Zhao, Y.; Feng, C.; Liu, Y.; Wang, T.; Li, C. Overexpression of SDF-1 activates the NF-κB pathway to induce epithelial to mesenchymal transition and cancer stem cell-like phenotypes of breast cancer cells. Int. J. Oncol. 2016, 48, 1085–1094. [Google Scholar] [CrossRef] [PubMed][Green Version]
- Mego, M.; Cholujova, D.; Minarik, G.; Sedlackova, T.; Gronesova, P.; Karaba, M.; Benca, J.; Cingelova, S.; Cierna, Z.; Manasova, D.; et al. CXCR4-SDF-1 interaction potentially mediates trafficking of circulating tumor cells in primary breast cancer. BMC Cancer 2016, 16, 127. [Google Scholar] [CrossRef] [PubMed]
- Hattermann, K.; Holzenburg, E.; Hans, F.; Lucius, R.; Held-Feindt, J.; Mentlein, R. Effects of the chemokine CXCL12 and combined internalization of its receptors CXCR4 and CXCR7 in human MCF-7 breast cancer cells. Cell Tissue Res. 2014, 357, 253–266. [Google Scholar] [CrossRef]
- Samarendra, H.; Jones, K.; Petrinic, T.; Silva, M.A.; Reddy, S.; Soonawalla, Z.; Gordon-Weeks, A. A meta-analysis of CXCL12 expression for cancer prognosis. Br. J. Cancer 2017, 117, 124–135. [Google Scholar] [CrossRef]
- Jin, F.; Brockmeier, U.; Otterbach, F.; Metzen, E. New Insight into the SDF-1/CXCR4 Axis in a Breast Carcinoma Model: Hypoxia-Induced Endothelial SDF-1 and Tumor Cell CXCR4 Are Required for Tumor Cell Intravasation. Mol. Cancer Res. 2012, 10, 1021–1031. [Google Scholar] [CrossRef]
- Yao, Q.; Xu, C.; Zhao, H.; Chen, H. CXCR4 in breast cancer: Oncogenic role and therapeutic targeting. Drug Des. Dev. Ther. 2015, 9, 4953–4964. [Google Scholar] [CrossRef]
- Wu, W.; Qian, L.; Dai, J.; Ding, B.; Chen, X. Expression of chemokine CXCL12 and its receptor (CXCR4 and CXCR7) in dif-ferent molecular subtypes of human breast carcinoma and the clinical significance. Zhong Nan Da Xue Xue Bao Yi Xue Ban. 2017, 42, 147–153. [Google Scholar] [CrossRef]
- Rhone, P.; Ruszkowska-Ciastek, B.; Celmer, M.; Brkic, A.; Bielawski, K.; Boinska, J.; Zarychta, E.; Rosc, D. Increased number of endothelial progenitors in peripheral blood as a possible early marker of tumour growth in post-menopausal breast cancer patients. J. Physiol. Pharmacol. Off. J. Pol. Physiol. Soc. 2017, 68, 139–148. [Google Scholar]
- Walentowicz-Sadlecka, M.; Sadlecki, P.; Bodnar, M.; Marszalek, A.; Walentowicz, P.; Sokup, A.; Wilińska-Jankowska, A.; Grabiec, M. Stromal Derived Factor-1 (SDF-1) and Its Receptors CXCR4 and CXCR7 in Endometrial Cancer Patients. PLoS ONE 2014, 9, e84629. [Google Scholar] [CrossRef]
- Dome, B.; Timar, J.; Dobos, J.; Meszaros, L.; Raso, E.; Paku, S.; Kenessey, I.; Ostoros, G.; Magyar, M.; Ladanyi, A.; et al. Iden-tification and clinical significance of circulating endothelial progenitor cells in human non-small cell lung cancer. Cancer Res. 2006, 66, 7341–7347. [Google Scholar] [CrossRef]
- Richter-Ehrenstein, C.; Rentzsch, J.; Runkel, S.; Schneider, A.; Schönfelder, G. Endothelial progenitor cells in breast cancer patients. Breast Cancer Res. Treat. 2007, 106, 343–349. [Google Scholar] [CrossRef]
- Naik, R.P.; Jin, D.; Chuang, E.; Gold, E.G.; Tousimis, E.A.; Moore, A.L.; Christos, P.J.; De Dalmas, T.; Donovan, D.; Rafii, S.; et al. Circulating endothelial progenitor cells correlate to stage in patients with invasive breast cancer. Breast Cancer Res. Treat. 2008, 107, 133–138. [Google Scholar] [CrossRef]
- Jain, S.; Ward, M.M.; O’Loughlin, J.; Boeck, M.; Wiener, N.; Chuang, E.; Cigler, T.; Moore, A.; Donovan, D.; Lam, C.; et al. Incremental increase in VEGFR1+ hematopoietic progenitor cells and VEGFR2+ endothelial progenitor cells predicts relapse and lack of tumor response in breast cancer patients. Breast Cancer Res. Treat. 2012, 132, 235–242. [Google Scholar] [CrossRef]
- Botelho, M.C.; Alves, H. Endothelial Progenitor Cells in Breast Cancer. Int. J. Immunother. Cancer Res. 2016, 2, 001–002. [Google Scholar] [CrossRef]
- Takano, T.; Li, Y.-J.; Kukita, A.; Yamaza, T.; Ayukawa, Y.; Moriyama, K.; Uehara, N.; Nomiyama, H.; Koyano, K.; Kukita, T. Mesenchymal stem cells markedly suppress inflammatory bone destruction in rats with adjuvant-induced arthritis. Lab. Investig. 2014, 94, 286–296. [Google Scholar] [CrossRef]
- Thielemann, A.; Baszczuk, A.; Kopczyński, Z.; Kopczyński, P.; Grodecka-Gazdecka, S. Clinical usefulness of assessing VEGF and soluble receptors sVEGFR-1 and sVEGFR-2 in women with breast cancer. Ann. Agric. Environ. Med. 2013, 20, 293–297. [Google Scholar]
- Bruns, A.F.; Bao, L.; Walker, J.H.; Ponnambalam, S. VEGF-A-stimulated signalling in endothelial cells via a dual receptor tyrosine kinase system is dependent on co-ordinated trafficking and proteolysis. Biochem. Soc. Trans. 2009, 37, 1193–1197. [Google Scholar] [CrossRef]
- Ramsey, D.M.; McAlpine, S.R. Halting metastasis through CXCR4 inhibition. Bioorg. Med. Chem. Lett. 2013, 23, 20–25. [Google Scholar] [CrossRef]






| Patient Characteristics | Number of Patients (%) |
|---|---|
| No of patients: n = 84 females | 84 (100%) |
| Age at diagnosis (years) | |
| <55 | 40 (48%) |
| ≥55 | 44 (52%) |
| BMI kg/m2 according to WHO criteria: | |
| Normal weight (<24.99) | 39 (46%) |
| Overweight (≥25–29.99) | 30 (36%) |
| Obese (30 or more) | 15 (18%) |
| Menopausal status: | |
| Pre-menopausal | 27 (32%) |
| Post-menopausal | 57 (68%) |
| Parity: | |
| Nulliparous/1–2 children/≥3 children | 6 (7%)/62 (74%)/16 (19%) |
| Tumour characteristics | |
| Tumour diameters | |
| T1 (a, b, c < 2 cm)/ T2 (≥2 cm, but <5 cm) | 55 (65%)/29 (35%) |
| Nodal status (N): | |
| N0/N1 | 64 (76%)/20 (24%) |
| Metastases (M) | None |
| Stage (TNM classifications) | |
| IA/IIA/IIB | 40 (48%)/38 (45%)/6 (7%) |
| Histopathological grade: | |
| Grade 1/ Grade 2/ Grade 3 | 6 (7%)/67 (80%)/11 (13%) |
| Histological diagnosis: | |
| Invasive ductal carcinoma (IDC) | 73 (87%) |
| Invasive lobular carcinoma (ILC) | 11 (13%) |
| Intrinsic subtype | |
| Luminal A (ER+/PR+/HER2−/Ki-67 < 20%) | 51 (61%) |
| Luminal B HER2 negative (ER+/PR+/HER2−/Ki-67 ≥ 20%) | 16 (19%) |
| Luminal B HER2 positive (ER+/PR+/HER2+/Ki-67- all %) | 7 (8%) |
| Non-luminal HER2 positive (ER-/PR-/HER2+/Ki-67- all %) | 2 (2%) |
| Triple-negative (ER-/PR-/HER2-/Ki-67- all %) | 8 (10%) |
| ER status | |
| positive/negative | 74 (88%)/10 (12%) |
| PR status | |
| positive/negative | 68 (81%)/16 (19%) |
| HER2 status | |
| positive/negative | 9 (10%)/75 (90%) |
| Ki67 expression | |
| <20%/>20% | 45 (54%)/39 (46%) |
| Laterality: | |
| Left breast/Right breast | 45 (54%)/39 (46%) |
| Attributes | Number of Cases in Each Subgroup | Low SDF-1α (<42 pg/dL) | High SDF-1α (>42 pg/dL) | p-Values | ||
|---|---|---|---|---|---|---|
| N | % | N | % | |||
| Total number of patients | 84 | 40 | 48% | 44 | 52% | |
| Age | 0.0303 | |||||
| <55 years | 40 | 24 | 60% | 16 | 40% | |
| ≥55 years | 44 | 16 | 36% | 28 | 64% | |
| Menopausal status | 0.0001 | |||||
| Premenopausal | 27 | 21 | 78% | 6 | 22% | |
| Postmenopausal | 57 | 19 | 33% | 38 | 67% | |
| Body mass index (kg/m2) | 0.3237 | |||||
| ≤24.9 | 39 | 22 | 56% | 17 | 44% | |
| 25.0–29.9 | 30 | 12 | 40% | 18 | 60% | |
| 30.0–39.9 | 15 | 6 | 40% | 9 | 60% | |
| Tumour size | 0.4057 | |||||
| T1 < 2 cm | 55 | 28 | 51% | 27 | 49% | |
| T2 ≥ 2–5 cm | 29 | 12 | 41% | 17 | 59% | |
| Nodal status | 0.4489 | |||||
| Negative | 64 | 29 | 45% | 35 | 55% | |
| Positive | 20 | 11 | 55% | 9 | 45% | |
| Stage | 0.6770 | |||||
| IA | 40 | 20 | 50% | 20 | 50% | |
| IIA+IIB | 44 | 20 | 45% | 24 | 55% | |
| ER status | 0.2346 | |||||
| Positive | 74 | 37 | 50% | 37 | 50% | |
| Negative | 10 | 3 | 30% | 7 | 70% | |
| PR status | 0.3677 | |||||
| Positive | 68 | 34 | 50% | 34 | 50% | |
| Negative | 16 | 6 | 37.5% | 10 | 62.5% | |
| HER2 status | 0.6139 | |||||
| Positive | 9 | 5 | 56% | 4 | 44% | |
| Negative | 75 | 35 | 47% | 40 | 53% | |
| Ki67 expression | 0.8023 | |||||
| <20% | 45 | 22 | 49% | 23 | 51% | |
| >20% | 39 | 18 | 46% | 21 | 54% | |
| Histologic grade | 0.8751 | |||||
| G1+G2 | 73 | 35 | 48% | 38 | 52% | |
| G3 | 11 | 5 | 45% | 6 | 55% | |
| Intrinsic subtype of IBrC | 0.5329 | |||||
| Luminal A | 51 | 26 | 51% | 25 | 49% | |
| Luminal B HER (−) | 16 | 7 | 44% | 9 | 56% | |
| Luminal B HER(+) and Non-luminal HER(+) | 9 | 5 | 55% | 4 | 45% | |
| Triple-negative | 8 | 2 | 25% | 6 | 75% | |
| Surgery type | 0.2216 | |||||
| BCS | 69 | 35 | 51% | 34 | 49% | |
| Mastectomy | 15 | 5 | 33% | 10 | 67% | |
| Radiotherapy | 0.8451 | |||||
| Yes | 70 | 33 | 47% | 37 | 53% | |
| No | 14 | 7 | 50% | 7 | 50% | |
| Chemotherapy | 0.6307 | |||||
| Yes | 46 | 23 | 50% | 23 | 50% | |
| No | 38 | 17 | 45% | 21 | 55% | |
| Immunotherapy | 0.5982 | |||||
| Yes | 7 | 4 | 57% | 3 | 43% | |
| No | 77 | 36 | 47% | 41 | 53% | |
| Hormone therapy | 0.2346 | |||||
| Yes | 74 | 37 | 50% | 37 | 50% | |
| No | 10 | 3 | 30% | 7 | 70% | |
| Multivariate | Univariate | |||||||
|---|---|---|---|---|---|---|---|---|
| Variables | HR | 95% CI | p-Values | HR | 95% CI | p-Values | ||
| SDF-1α | ||||||||
| Low | 1.0000 | - | - | - | 1.0000 | - | - | - |
| High | 5.1263 | 1.0774 | 24.3915 | 0.0400 | 3.2645 | 1.0375 | 10.2717 | 0.0431 |
| Circulating EPCs | ||||||||
| Low | 1.0000 | - | - | - | 1.0000 | - | - | - |
| High | 7.9152 | 1.2207 | 51.3243 | 0.0301 | 3.2619 | 1.0341 | 10.2894 | 0.04367 |
| VEGF-A | ||||||||
| Low | 1.0000 | - | - | - | 1.0000 | - | - | - |
| High | 0.0956 | 0.0122 | 0.7485 | 0.0254 | 1.1054 | 0.4007 | 3.0489 | 0.8466 |
| sVEGFR1 | ||||||||
| Low | 1.0000 | - | - | - | 1.0000 | - | - | - |
| High | 4.0111 | 1.6381 | 166.2917 | 0.0271 | 0.9831 | 0.3539 | 2.7312 | 0.9739 |
| sVEGFR2 | ||||||||
| Low | 1.0000 | - | - | - | 1.0000 | - | - | - |
| High | 1.4369 | 0.3114 | 6.6298 | 0.6422 | 1.3508 | 0.4824 | 3.7826 | 0.5671 |
| sVEGFR2/sVEGFR1 ratio | ||||||||
| Low | 1.0000 | - | - | - | 1.0000 | - | - | - |
| High | 0.0184 | 0.0011 | 0.3062 | 0.0053 | 0.6982 | 0.2470 | 1.9733 | 0.4980 |
Publisher’s Note: MDPI stays neutral with regard to jurisdictional claims in published maps and institutional affiliations. |
© 2021 by the authors. Licensee MDPI, Basel, Switzerland. This article is an open access article distributed under the terms and conditions of the Creative Commons Attribution (CC BY) license (https://creativecommons.org/licenses/by/4.0/).
Share and Cite
Zarychta, E.; Ruszkowska-Ciastek, B.; Bielawski, K.; Rhone, P. Stromal Cell-Derived Factor 1α (SDF-1α) in Invasive Breast Cancer: Associations with Vasculo-Angiogenic Factors and Prognostic Significance. Cancers 2021, 13, 1952. https://doi.org/10.3390/cancers13081952
Zarychta E, Ruszkowska-Ciastek B, Bielawski K, Rhone P. Stromal Cell-Derived Factor 1α (SDF-1α) in Invasive Breast Cancer: Associations with Vasculo-Angiogenic Factors and Prognostic Significance. Cancers. 2021; 13(8):1952. https://doi.org/10.3390/cancers13081952
Chicago/Turabian StyleZarychta, Elżbieta, Barbara Ruszkowska-Ciastek, Kornel Bielawski, and Piotr Rhone. 2021. "Stromal Cell-Derived Factor 1α (SDF-1α) in Invasive Breast Cancer: Associations with Vasculo-Angiogenic Factors and Prognostic Significance" Cancers 13, no. 8: 1952. https://doi.org/10.3390/cancers13081952
APA StyleZarychta, E., Ruszkowska-Ciastek, B., Bielawski, K., & Rhone, P. (2021). Stromal Cell-Derived Factor 1α (SDF-1α) in Invasive Breast Cancer: Associations with Vasculo-Angiogenic Factors and Prognostic Significance. Cancers, 13(8), 1952. https://doi.org/10.3390/cancers13081952

