Treatments and Outcomes in Stage I Extranodal Marginal Zone Lymphoma in the United States
Abstract
Simple Summary
Abstract
1. Introduction
2. Methods
Statistical Analyses
3. Results
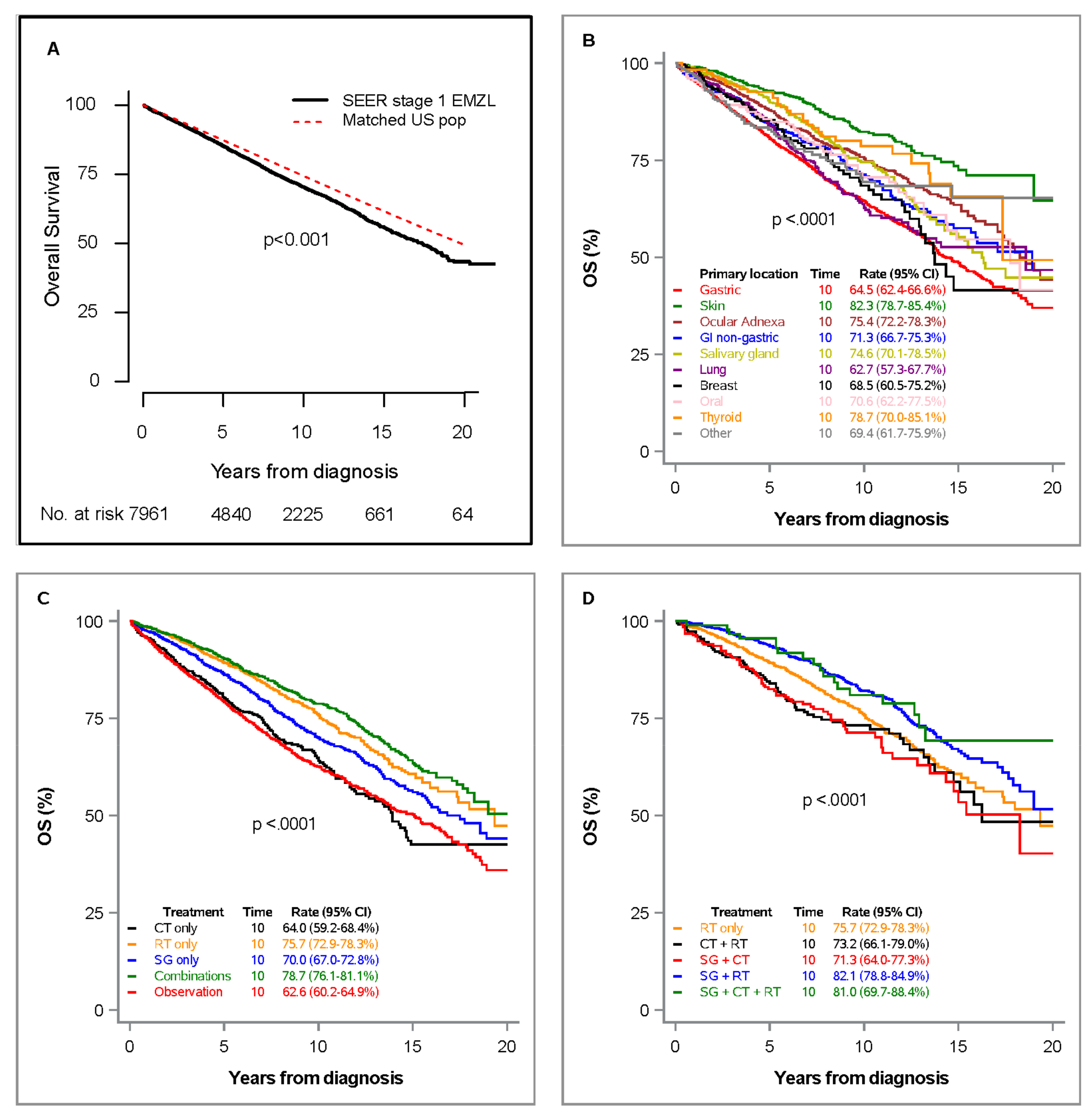
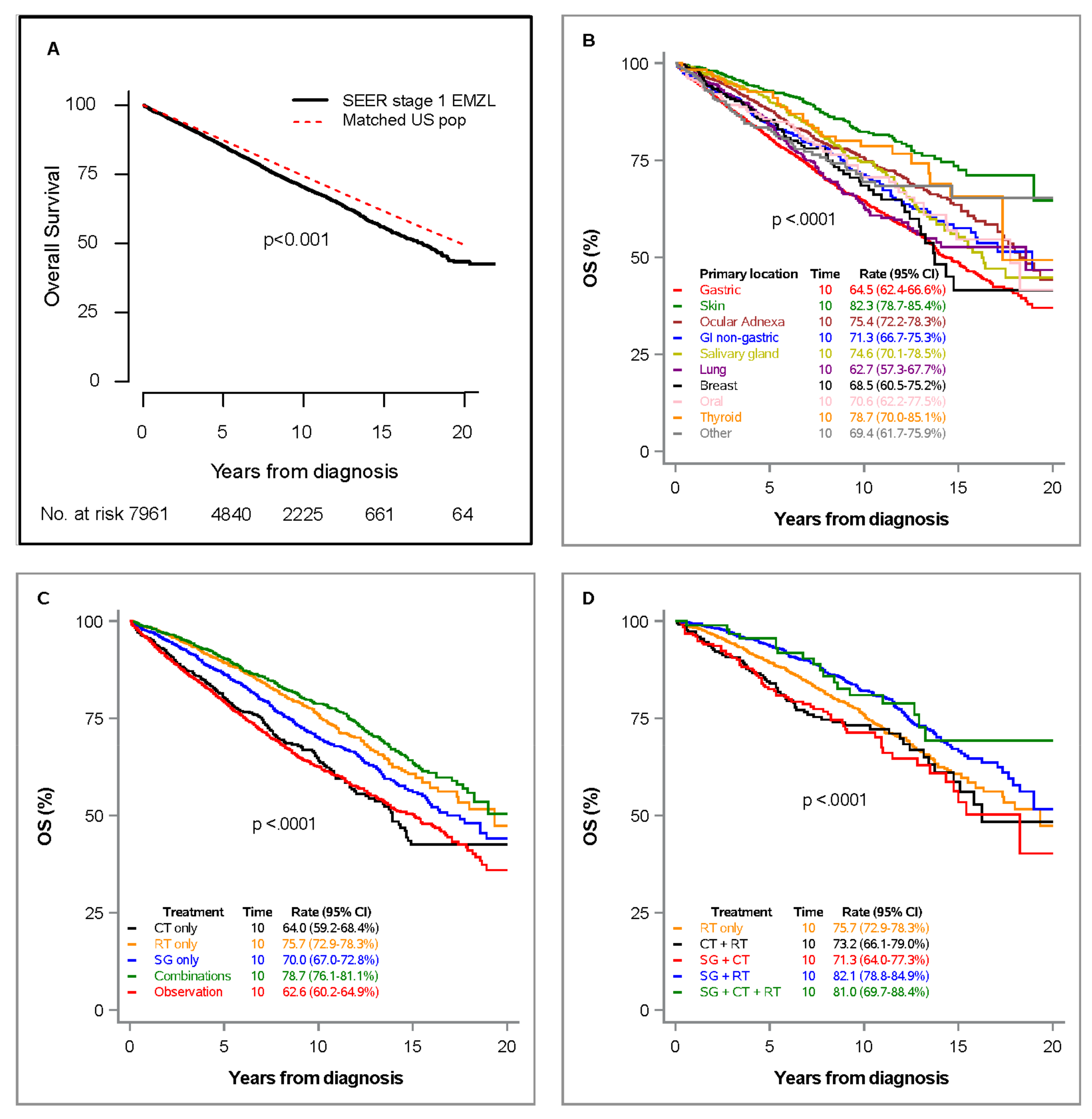
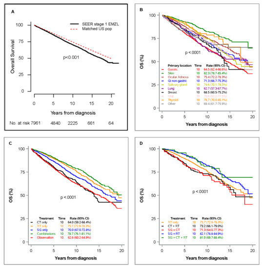
3.1. Overall Survival
3.2. Overall Survival by Treatment Strategy within EMZL Location Subgroups
3.3. Lymphoma-Specific Survival (LSS)
4. Discussion
5. Conclusions
Supplementary Materials
Author Contributions
Funding
Institutional Review Board Statement
Informed Consent Statement
Data Availability Statement
Acknowledgments
Conflicts of Interest
References
- Zucca, E.; Arcaini, L.; Buske, C.; Johnson, P.W.; Ponzoni, M.; Raderer, M.; Ricardi, U.; Salar, A.; Stamatopoulos, K.; Thieblemont, C.; et al. Marginal zone lymphomas: ESMO Clinical Practice Guidelines for diagnosis, treatment and follow-up. Ann. Oncol. 2020, 31, 17–29. [Google Scholar] [CrossRef] [PubMed]
- Du, M.-Q. Mucosa-associated lymphoid tissue lymphoma of various sites: Common molecular mechanisms but different players. Ann. Lymphoma 2020, 4. [Google Scholar] [CrossRef]
- Zucca, E.; Bertoni, F. The spectrum of MALT lymphoma at different sites: Biological and therapeutic relevance. Blood 2016, 127, 2082–2092. [Google Scholar] [CrossRef] [PubMed]
- Alderuccio, J.P.; Lossos, I.S. Prognostic factors and risk of transformation in marginal zone lymphoma. Ann. Lymphoma 2020, 4. [Google Scholar] [CrossRef]
- Zucca, E.; Conconi, A.; Martinelli, G.; Bouabdallah, R.; Tucci, A.; Vitolo, U.; Martelli, M.; Pettengell, R.; Salles, G.; Sebban, C.; et al. Final Results of the IELSG-19 Randomized Trial of Mucosa-Associated Lymphoid Tissue Lymphoma: Improved Event-Free and Progression-Free Survival With Rituximab Plus Chlorambucil Versus Either Chlorambucil or Rituximab Monotherapy. J. Clin. Oncol. 2017, 35, 1905–1912. [Google Scholar] [CrossRef]
- Teckie, S.; Qi, S.; Chelius, M.; Lovie, S.; Hsu, M.; Noy, A.; Portlock, C.; Yahalom, J. Long-term outcome of 487 patients with early-stage extra-nodal marginal zone lymphoma. Ann. Oncol. 2017, 28, 1064–1069. [Google Scholar] [CrossRef] [PubMed]
- Olszewski, A.J.; Castillo, J.J. Survival of patients with marginal zone lymphoma. Cancer 2013, 119, 629–638. [Google Scholar] [CrossRef]
- Kuper-Hommel, M.J.; van de Schans, S.A.; Vreugdenhil, G.; van Krieken, J.H.; Coebergh, J.W. Trends in incidence, therapy and outcome of localized nodal and extranodal marginal zone lymphomas: Declining incidence and inferior outcome for gastrointestinal sites. Leuk. Lymphoma 2013, 54, 1891–1897. [Google Scholar] [CrossRef]
- Goda, J.S.; Gospodarowicz, M.; Pintilie, M.; Wells, W.; Hodgson, D.C.; Sun, A.; Crump, M.; Tsang, R.W. Long-term outcome in localized extranodal mucosa-associated lymphoid tissue lymphomas treated with radiotherapy. Cancer 2010, 116, 3815–3824. [Google Scholar] [CrossRef]
- Thieblemont, C.; Bastion, Y.; Berger, F.; Rieux, C.; Salles, G.; Dumontet, C.; Felman, P.; Coiffier, B. Mucosa-associated lymphoid tissue gastrointestinal and nongastrointestinal lymphoma behavior: Analysis of 108 patients. J. Clin. Oncol. 1997, 15, 1624–1630. [Google Scholar] [CrossRef]
- Zucca, E.; Conconi, A.; Pedrinis, E.; Cortelazzo, S.; Motta, T.; Gospodarowicz, M.K.; Patterson, B.J.; Ferreri, A.J.; Ponzoni, M.; Devizzi, L.; et al. Nongastric marginal zone B-cell lymphoma of mucosa-associated lymphoid tissue. Blood 2003, 101, 2489–2495. [Google Scholar] [CrossRef] [PubMed]
- Starr, A.G.; Caimi, P.F.; Fu, P.; Massoud, M.R.; Meyerson, H.; Hsi, E.D.; Mansur, D.B.; Cherian, S.; Singh, A.D.; Cooper, B.W.; et al. Dual institution experience of extranodal marginal zone lymphoma reveals excellent long-term outcomes. Br. J. Haematol. 2016, 173, 404–412. [Google Scholar] [CrossRef]
- Alderuccio, J.P.; Zhao, W.; Desai, A.; Ramdial, J.; Gallastegui, N.; Kimble, E.; de la Fuente, M.I.; Husnain, M.; Rosenblatt, J.D.; Alencar, A.J.; et al. Short survival and frequent transformation in extranodal marginal zone lymphoma with multiple mucosal sites presentation. Am. J. Hematol. 2019, 94, 585–596. [Google Scholar] [CrossRef]
- Raderer, M.; Streubel, B.; Woehrer, S.; Puespoek, A.; Jaeger, U.; Formanek, M.; Chott, A. High Relapse Rate in Patients with MALT Lymphoma Warrants Lifelong Follow-up. Clin. Cancer Res. 2005, 11, 3349–3352. [Google Scholar] [CrossRef] [PubMed]
- Bayerdörffer, E.; Neubauer, A.; Rudolph, B.; Thiede, C.; Lehn, N.; Eidt, S.; Stolte, M. Regression of primary gastric lymphoma of mucosa-associated lymphoid tissue type after cure of Helicobacter pylori infection. MALT Lymphoma Study Group. Lancet 1995, 345, 1591–1594. [Google Scholar] [CrossRef]
- Roggero, E.; Zucca, E.; Pinotti, G.; Pascarella, A.; Capella, C.; Savio, A.; Pedrinis, E.; Paterlini, A.; Venco, A.; Cavalli, F. Eradication of Helicobacter pylori infection in primary low-grade gastric lymphoma of mucosa-associated lymphoid tissue. Ann. Intern. Med. 1995, 122, 767–769. [Google Scholar] [CrossRef] [PubMed]
- Barzenje, D.A.; Holte, H.; Fosså, A.; Ghanima, W.; Liestøl, K.; Delabie, J.; Kolstad, A. Long-term outcome for patients with early stage marginal zone lymphoma and mantle cell lymphoma. Leuk. Lymphoma 2017, 58, 623–632. [Google Scholar] [CrossRef] [PubMed]
- Luminari, S.; Cesaretti, M.; Rashid, I.; Mammi, C.; Montanini, A.; Barbolini, E.; Bellei, M.; Pennese, E.; Sirotti, M.A.; Marcheselli, L.; et al. Incidence, clinical characteristics and survival of malignant lymphomas: A population-based study from a cancer registry in northern Italy. Hematol. Oncol. 2007, 25, 189–197. [Google Scholar] [CrossRef]
- Platt, S.; Al Zahrani, Y.; Singh, N.; Hill, B.; Cherian, S.; Singh, A.D. Extranodal Marginal Zone Lymphoma of Ocular Adnexa: Outcomes following Radiation Therapy. Ocul. Oncol. Pathol. 2017, 3, 181–187. [Google Scholar] [CrossRef]
- Olszewski, A.J.; Castillo, J.J. Comparative outcomes of oncologic therapy in gastric extranodal marginal zone (MALT) lymphoma: Analysis of the SEER-Medicare database. Ann. Oncol. 2013, 24, 1352–1359. [Google Scholar] [CrossRef]
- Ling, D.C.; Vargo, J.A.; Balasubramani, G.K.; Beriwal, S. Underutilization of radiation therapy in early-stage marginal zone lymphoma negatively impacts overall survival. Pract. Radiat. Oncol. 2016, 6, e97–e105. [Google Scholar] [CrossRef]
- Friedberg, J.W.; Taylor, M.D.; Cerhan, J.R.; Flowers, C.R.; Dillon, H.; Farber, C.M.; Rogers, E.S.; Hainsworth, J.D.; Wong, E.K.; Vose, J.M.; et al. Follicular lymphoma in the United States: First report of the national LymphoCare study. J. Clin. Oncol. 2009, 27, 1202–1208. [Google Scholar] [CrossRef]
- Olszewski, A.J.; Desai, A. Radiation therapy administration and survival in stage I/II extranodal marginal zone B-cell lymphoma of mucosa-associated lymphoid tissue. Int. J. Radiat. Oncol. Biol. Phys. 2014, 88, 642–649. [Google Scholar] [CrossRef]
- Surveillance, Epidemiology, and End Results (SEER) Program. SEER*Stat Database: Incidence—SEER 18 Regs Research Data + Hurricane Katrina Impacted Lousiana Cases, Nov 2018 Sub (1975–2016 Varying)—Linked to County Attributes—Total U.S., 1969–2017 Counties, National Cancer Institute, DCCPS, Surveillance Research Program, Released April 2019, Based on November 2018 Submission. Available online: www.seer.cancer.gov (accessed on 2 November 2020).
- Therneau, T. A Package for Survival Analysis in R. R Package Version 3.2-7. 2020. Available online: https://CRAN.R-project.org/package=survival (accessed on 2 November 2020).
- Ederer, F.; Axtell, L.M.; Cutler, S.J. The relative survival rate: A statistical methodology. Natl. Cancer Inst. Monogr. 1961, 6, 101–121. [Google Scholar] [PubMed]
- Finkelstein, D.M.; Muzikansky, A.; Schoenfeld, D.A. Comparing survival of a sample to that of a standard population. J. Natl. Cancer Inst. 2003, 95, 1434–1439. [Google Scholar] [CrossRef]
- Wu, J. Sample size calculation for the one-sample log-rank test. Pharm. Stat. 2015, 14, 26–33. [Google Scholar] [CrossRef] [PubMed]
- MacManus, M.; Fisher, R.; Roos, D.; O’Brien, P.; Macann, A.; Davis, S.; Tsang, R.; Christie, D.; McClure, B.; Joseph, D.; et al. Randomized Trial of Systemic Therapy After Involved-Field Radiotherapy in Patients With Early-Stage Follicular Lymphoma: TROG 99.03. J. Clin. Oncol. 2018, 36, 2918–2925. [Google Scholar] [CrossRef] [PubMed]
- Desai, A.; Joag, M.G.; Lekakis, L.; Chapman, J.R.; Vega, F.; Tibshirani, R.; Tse, D.; Markoe, A.; Lossos, I.S. Long-term course of patients with primary ocular adnexal MALT lymphoma: A large single-institution cohort study. Blood 2017, 129, 324–332. [Google Scholar] [CrossRef] [PubMed]
- Vargo, J.A.; Gill, B.S.; Balasubramani, G.K.; Beriwal, S. What is the optimal management of early-stage low-grade follicular lymphoma in the modern era? Cancer 2015, 121, 3325–3334. [Google Scholar] [CrossRef]
- Alderuccio, J.P.; Zhao, W.; Desai, A.; Gallastegui, N.; Ramdial, J.; Kimble, E.; de la Fuente, M.I.; Rosenblatt, J.D.; Chapman, J.R.; Vega, F.; et al. Risk Factors for Transformation to Higher-Grade Lymphoma and Its Impact on Survival in a Large Cohort of Patients with Marginal Zone Lymphoma from a Single Institution. J. Clin. Oncol. 2018. [Google Scholar] [CrossRef]
- Conconi, A.; Franceschetti, S.; Aprile von Hohenstaufen, K.; Margiotta-Casaluci, G.; Stathis, A.; Moccia, A.A.; Bertoni, F.; Ramponi, A.; Mazzucchelli, L.; Cavalli, F.; et al. Histologic transformation in marginal zone lymphomas. Ann. Oncol. 2015, 26, 2329–2335. [Google Scholar] [CrossRef]
- Maeshima, A.M.; Taniguchi, H.; Toyoda, K.; Yamauchi, N.; Makita, S.; Fukuhara, S.; Munakata, W.; Maruyama, D.; Kobayashi, Y.; Tobinai, K. Clinicopathological features of histological transformation from extranodal marginal zone B-cell lymphoma of mucosa-associated lymphoid tissue to diffuse large B-cell lymphoma: An analysis of 467 patients. Br. J. Haematol. 2016, 174, 923–931. [Google Scholar] [CrossRef] [PubMed]
- Montoto, S.; Davies, A.J.; Matthews, J.; Calaminici, M.; Norton, A.J.; Amess, J.; Vinnicombe, S.; Waters, R.; Rohatiner, A.Z.; Lister, T.A. Risk and clinical implications of transformation of follicular lymphoma to diffuse large B-cell lymphoma. J. Clin. Oncol. 2007, 25, 2426–2433. [Google Scholar] [CrossRef] [PubMed]
- Al-Tourah, A.J.; Gill, K.K.; Chhanabhai, M.; Hoskins, P.J.; Klasa, R.J.; Savage, K.J.; Sehn, L.H.; Shenkier, T.N.; Gascoyne, R.D.; Connors, J.M. Population-Based Analysis of Incidence and Outcome of Transformed Non-Hodgkin’s Lymphoma. J. Clin. Oncol. 2008, 26, 5165–5169. [Google Scholar] [CrossRef]
- Tsang, R.W.; Gospodarowicz, M.K.; Pintilie, M.; Wells, W.; Hodgson, D.C.; Sun, A.; Crump, M.; Patterson, B.J. Localized Mucosa-Associated Lymphoid Tissue Lymphoma Treated With Radiation Therapy Has Excellent Clinical Outcome. J. Clin. Oncol. 2003, 21, 4157–4164. [Google Scholar] [CrossRef]
- Wirth, A.; Gospodarowicz, M.; Aleman, B.M.; Bressel, M.; Ng, A.; Chao, M.; Hoppe, R.T.; Thieblemont, C.; Tsang, R.; Moser, L.; et al. Long-term outcome for gastric marginal zone lymphoma treated with radiotherapy: A retrospective, multi-centre, International Extranodal Lymphoma Study Group study. Ann. Oncol. 2013, 24, 1344–1351. [Google Scholar] [CrossRef] [PubMed]
- Luminari, S.; Cesaretti, M.; Marcheselli, L.; Rashid, I.; Madrigali, S.; Maiorana, A.; Federico, M. Decreasing incidence of gastric MALT lymphomas in the era of anti-Helicobacter pylori interventions: Results from a population-based study on extranodal marginal zone lymphomas. Ann. Oncol. 2010, 21, 855–859. [Google Scholar] [CrossRef]
- Raderer, M.; Wöhrer, S.; Streubel, B.; Troch, M.; Turetschek, K.; Jäger, U.; Skrabs, C.; Gaiger, A.; Drach, J.; Puespoek, A.; et al. Assessment of Disease Dissemination in Gastric Compared With Extragastric Mucosa-Associated Lymphoid Tissue Lymphoma Using Extensive Staging: A Single-Center Experience. J. Clin. Oncol. 2006, 24, 3136–3141. [Google Scholar] [CrossRef] [PubMed]
- Alderuccio, J.P.; Isrow, D.; Reis, I.M.; Iyer, S.; Meshman, J.; Zhao, W.; Markoe, A.M.; Lossos, I.S. Omission of Staging Bone Marrow Biopsy Does Not Affect Outcomes in Patients with Stage I Extranodal Marginal Zone Lymphoma (EMZL) Treated with Radiation Therapy. Blood 2019, 134. [Google Scholar] [CrossRef]



| Variable | N | % |
|---|---|---|
| Total | 7961 | 100.0 |
| Age | ||
| <60 years | 3184 | 40.0 |
| ≥60 years | 4777 | 60.0 |
| Sex | ||
| Female | 4422 | 55.5 |
| Male | 3539 | 44.5 |
| Race | ||
| White | 6284 | 78.9 |
| Black | 685 | 8.6 |
| Other | 992 | 12.5 |
| Hispanic | ||
| Non-Hispanic | 7002 | 88.0 |
| Hispanic | 959 | 12.0 |
| Primary location | ||
| Gastric | 3031 | 38.1 |
| Skin | 1051 | 13.2 |
| Ocular adnexa | 990 | 12.4 |
| GI non-gastric | 682 | 8.6 |
| Salivary gland | 644 | 8.1 |
| Lung | 627 | 7.9 |
| Breast | 262 | 3.3 |
| Oral | 206 | 2.6 |
| Thyroid | 183 | 2.3 |
| Other | 285 | 3.6 |
| DLBCL transformation | ||
| No | 7869 | 98.8 |
| Yes | 92 | 1.2 |
| Chemotherapy | ||
| No/Unknown * | 6752 | 84.8 |
| Yes | 1209 | 15.2 |
| Radiotherapy | ||
| No/Unknown * | 4908 | 61.7 |
| Yes | 3053 | 38.3 |
| Surgery | ||
| No | 5100 | 64.1 |
| Yes | 2775 | 34.9 |
| Unknown | 86 | 1.1 |
| Treatment | ||
| Radiation (RT) only | 1835 | 23.0 |
| Surgery (SG) only | 1528 | 19.2 |
| Chemotherapy (CT) only | 640 | 8.0 |
| Combinations | 1470 | 18.5 |
| SG + RT | 901 | 11.3 |
| SG + CT | 252 | 3.2 |
| CT + RT | 223 | 2.8 |
| SG + CT + RT | 94 | 1.2 |
| Observation | 2488 | 31.3 |
| Vital status | ||
| Alive | 5888 | 74.0 |
| Death | 2073 | 26.0 |
| Death from lymphoma | 515 | 6.5 |
| Death from other cause | 1558 | 19.6 |
| Univariable | Multivariable Model | ||||
|---|---|---|---|---|---|
| Variable | Category | HR (95% CI) | p | HR (95% CI) | p |
| Age | <60 years | Reference | Reference | ||
| ≥60 years | 6.69 (5.85, 7.65) | <0.001 | 6.29 (5.49, 7.20) | <0.001 | |
| Sex | Female | Reference | Reference | ||
| Male | 1.17 (1.08, 1.28) | <0.001 | 1.25 (1.14, 1.36) | <0.001 | |
| Race | Non-Hispanic white | Reference | Reference | ||
| Black | 0.94 (0.80, 1.09) | 0.405 | 1.04 (0.89, 1.22) | 0.620 | |
| Other | 0.70 (0.61, 0.81) | <0.001 | 0.75 (0.65, 0.87) | <0.001 | |
| Ethnicity | Non-Hispanic | Reference | Reference | ||
| Hispanic | 0.83 (0.72, 0.96) | 0.013 | 0.93 (0.80, 1.07) | 0.299 | |
| Primary location | Gastric | Reference | Reference | ||
| Skin | 0.39 (0.32, 0.47) | <0.001 | 0.59 (0.48, 0.71) | <0.001 | |
| Ocular adnexa | 0.65 (0.57, 0.74) | <0.001 | 0.90 (0.78, 1.05) | 0.172 | |
| GI non-gastric | 0.77 (0.65, 0.90) | 0.001 | 0.82 (0.69, 0.98) | 0.025 | |
| Salivary gland | 0.69 (0.58, 0.81) | <0.001 | 0.92 (0.76, 1.10) | 0.354 | |
| Lung | 0.90 (0.76, 1.06) | 0.209 | 0.87 (0.73, 1.04) | 0.136 | |
| Breast | 0.87 (0.69, 1.11) | 0.280 | 1.04 (0.81, 1.34) | 0.752 | |
| Oral | 0.77 (0.59, 1.00) | 0.050 | 0.94 (0.71, 1.23) | 0.630 | |
| Thyroid | 0.52 (0.37, 0.74) | <0.001 | 0.68 (0.47, 0.97) | 0.032 | |
| Other | 0.74 (0.57, 0.96) | 0.025 | 0.86 (0.66, 1.12) | 0.258 | |
| DLBCL transformation | No | Reference | Reference | ||
| Yes | 1.67 (1.24, 2.26) | <0.001 | 1.49 (1.10, 2.02) | 0.009 | |
| Treatment | RT only | Reference | Reference | ||
| CT only | 1.67 (1.41, 1.99) | <0.001 | 1.46 (1.23, 1.74) | <0.001 | |
| SG only | 1.25 (1.08, 1.44) | 0.003 | 1.28 (1.09, 1.50) | 0.002 | |
| Combinations | 0.91 (0.79, 1.06) | 0.244 | 1.00 (0.85, 1.17) | 0.970 | |
| Observation | 1.70 (1.50, 1.93) | <0.001 | 1.47 (1.29, 1.67) | <0.001 | |
| Treatment | RT only | Reference | Not included | ||
| CT only | 1.67 (1.41, 1.99) | <0.001 | |||
| SG only | 1.25 (1.08, 1.44) | 0.003 | |||
| CT + RT | 1.24 (0.95, 1.62) | 0.117 | |||
| SG + CT | 1.32 (1.02, 1.71) | 0.037 | |||
| SG + RT | 0.77 (0.64, 0.93) | 0.005 | |||
| SG + CT + RT | 0.69 (0.43, 1.11) | 0.129 | |||
| Observation | 1.70 (1.50, 1.93) | <0.001 | |||
| Overall Survival (OS)smakal(347 Deaths) | Lymphoma-Specific Survival (LSS)smakal(78 Deaths from Lymphoma and 269 Deaths from Other Cause as Competing Risk) | ||||||||
|---|---|---|---|---|---|---|---|---|---|
| Univariable | Multivariable | Univariable | Multivariable | ||||||
| Variable | Category | HR (95%CI) | p | HR (95%CI) | p | SHR (95%CI) | p | SHR (95%CI) | p |
| Age | <60 | Reference | Reference | Reference | Reference | ||||
| ≥60 | 7.83 (5.66, 10.8) | <0.001 | 7.58 (5.46, 10.5) | <0.001 | 6.31 (3.17, 12.6) | <0.001 | 5.69 (2.80, 11.6) | <0.001 | |
| Sex | Female | Reference | Reference | Reference | Reference | ||||
| Male | 1.13 (0.92, 1.40) | 0.242 | 1.24 (0.99, 1.54) | 0.058 | 0.95 (0.61, 1.48) | 0.813 | 1.06 (0.66, 1.71) | 0.803 | |
| Race | Non-Hispanic White | Reference | Reference | Reference | Reference | ||||
| Black | 1.06 (0.72, 1.56) | 0.773 | 1.20 (0.81, 1.79) | 0.361 | 0.86 (0.34, 2.16) | 0.748 | 0.99 (0.39, 2.48) | 0.984 | |
| Other | 0.87 (0.63, 1.20) | 0.395 | 0.97 (0.70, 1.34) | 0.853 | 1.34 (0.75, 2.38) | 0.327 | 1.34 (0.71, 2.53) | 0.363 | |
| Ethnicity | Non-Hispanic | Reference | Reference | Reference | Reference | ||||
| Hispanic | 0.68 (0.43, 1.07) | 0.097 | 0.85 (0.53, 1.36) | 0.494 | 0.47 (0.15, 1.49) | 0.200 | 0.50 (0.14, 1.78) | 0.285 | |
| Primary location | Gastric | Reference | Reference | Reference | Reference | ||||
| Skin | 0.34 (0.21, 0.54) | <0.001 | 0.44 (0.27, 0.71) | <0.001 | 0.44 (0.17, 1.13) | 0.089 | 0.58 (0.22, 1.50) | 0.262 | |
| Ocular adnexa | 0.88 (0.68, 1.14) | 0.340 | 1.00 (0.77, 1.30) | 0.980 | 0.79 (0.44, 1.42) | 0.431 | 0.84 (0.47, 1.52) | 0.572 | |
| GI non-gastric | 1.54 (0.96, 2.47) | 0.075 | 1.46 (0.91, 2.36) | 0.116 | 1.74 (0.69, 4.42) | 0.244 | 1.48 (0.56, 3.87) | 0.427 | |
| Salivary gland | 0.77 (0.39, 1.50) | 0.440 | 1.04 (0.53, 2.04) | 0.902 | 1.28 (0.40, 4.14) | 0.680 | 1.70 (0.53, 5.48) | 0.371 | |
| Lung | 0.87 (0.46, 1.65) | 0.673 | 0.67 (0.35, 1.27) | 0.215 | 1.61 (0.57, 4.52) | 0.367 | 1.36 (0.48, 3.90) | 0.561 | |
| Breast | 0.67 (0.34, 1.30) | 0.236 | 0.76 (0.39, 1.51) | 0.437 | 0.35 (0.05, 2.64) | 0.311 | 0.36 (0.05, 2.78) | 0.325 | |
| Oral | 1.24 (0.74, 2.07) | 0.413 | 1.34 (0.78, 2.31) | 0.283 | 1.86 (0.73, 4.76) | 0.194 | 1.28 (0.41, 3.99) | 0.665 | |
| Thyroid | 0.68 (0.10, 4.86) | 0.701 | 0.99 (0.14, 7.10) | 0.988 | NE | NE | |||
| Other | 0.75 (0.28, 2.01) | 0.563 | 0.79 (0.29, 2.17) | 0.652 | 1.77 (0.43, 7.37) | 0.431 | 1.32 (0.27, 6.51) | 0.736 | |
| DLBCL transformation | No | Reference | Reference | Reference | Reference | ||||
| Yes | 1.94 (1.09, 3.45) | 0.025 | 1.35 (0.73, 2.52) | 0.340 | 6.79 (3.28, 14.1) | <0.001 | 4.92 (2.01, 12.0) | <0.001 | |
| Univariable | Multivariable Model 1 | Multivariable Model 2 | |||||
|---|---|---|---|---|---|---|---|
| Variable | Category | SHR (95% CI) | p | SHR (95% CI) | p | SHR (95% CI) | p |
| Age | <60 years | Reference | Reference | Reference | |||
| ≥60 years | 4.39 (3.41, 5.64) | <0.001 | 4.00 (3.10, 5.15) | <0.001 | 3.99 (3.10, 5.15) | <0.001 | |
| Sex | Female | Reference | Reference | Reference | |||
| Male | 1.09 (0.91, 1.29) | 0.348 | 1.18 (0.99, 1.42) | 0.064 | 1.19 (0.99, 1.42) | 0.059 | |
| Race | Non-Hispanic white | Reference | Reference | Reference | |||
| Black | 0.88 (0.63, 1.22) | 0.434 | 0.99 (0.72, 1.38) | 0.975 | 1.00 (0.72, 1.40) | 0.986 | |
| Other | 0.95 (0.73, 1.24) | 0.699 | 1.03 (0.78, 1.35) | 0.848 | 1.04 (0.79, 1.37) | 0.795 | |
| Ethnicity | Non-Hispanic | Reference | Reference | Reference | |||
| Hispanic | 0.98 (0.75, 1.29) | 0.897 | 1.16 (0.88, 1.54) | 0.292 | 1.17 (0.88, 1.55) | 0.274 | |
| Primary location | Gastric | Reference | Reference | Reference | |||
| Skin | 0.36 (0.24, 0.55) | <0.001 | 0.50 (0.33, 0.77) | 0.002 | 0.52 (0.34, 0.81) | 0.004 | |
| Ocular adnexa | 0.60 (0.44, 0.82) | 0.001 | 0.75 (0.54, 1.04) | 0.086 | 0.79 (0.56, 1.09) | 0.153 | |
| GI non-gastric | 1.12 (0.83, 1.51) | 0.471 | 1.18 (0.85, 1.63) | 0.328 | 1.15 (0.83, 1.60) | 0.400 | |
| Salivary gland | 0.85 (0.61, 1.19) | 0.347 | 1.02 (0.70, 1.48) | 0.938 | 1.05 (0.72, 1.54) | 0.788 | |
| Lung | 1.48 (1.11, 1.97) | 0.007 | 1.44 (1.05, 1.96) | 0.022 | 1.39 (1.02, 1.91) | 0.039 | |
| Breast | 1.00 (0.62, 1.62) | 0.987 | 1.14 (0.70, 1.85) | 0.601 | 1.15 (0.71, 1.88) | 0.570 | |
| Oral | 1.26 (0.79, 2.01) | 0.338 | 1.26 (0.77, 2.06) | 0.352 | 1.27 (0.77, 2.08) | 0.343 | |
| Thyroid | 0.62 (0.31, 1.26) | 0.186 | 0.73 (0.35, 1.52) | 0.405 | 0.77 (0.37, 1.60) | 0.483 | |
| Other | 1.54 (1.03, 2.31) | 0.037 | 1.59 (1.05, 2.40) | 0.029 | 1.60 (1.05, 2.44) | 0.028 | |
| DLBCL transformation | No | Reference | Reference | Reference | |||
| Yes | 5.24 (3.74, 7.34) | <0.001 | 4.63 (3.29, 6.52) | <0.001 | 4.67 (3.30, 6.60) | <0.001 | |
| Treatment | RT only | Reference | Reference | ||||
| CT only | 2.84 (2.08, 3.87) | <0.001 | 2.30 (1.68, 3.15) | <0.001 | |||
| SG only | 1.42 (1.05, 1.91) | 0.021 | 1.24 (0.90, 1.71) | 0.196 | |||
| Combinations | 1.20 (0.88, 1.62) | 0.246 | 1.24 (0.90, 1.71) | 0.179 | |||
| Observation | 1.49 (1.14, 1.95) | 0.004 | 1.29 (0.98, 1.69) | 0.067 | |||
| Treatment | RT only | Reference | Reference | ||||
| CT only | 2.84 (2.08, 3.87) | <0.001 | 2.33 (1.70, 3.19) | <0.001 | |||
| SG only | 1.42 (1.05, 1.91) | 0.021 | 1.25 (0.90, 1.73) | 0.180 | |||
| CT + RT | 1.33 (0.77, 2.31) | 0.305 | 1.27 (0.74, 2.19) | 0.385 | |||
| SG + CT | 2.33 (1.50, 3.62) | <0.001 | 1.96 (1.23, 3.11) | 0.005 | |||
| SG + RT | 0.88 (0.60, 1.28) | 0.494 | 0.97 (0.65, 1.44) | 0.868 | |||
| SG + CT + RT | 1.18 (0.52, 2.67) | 0.696 | 1.35 (0.59, 3.07) | 0.472 | |||
| Observation | 1.49 (1.14, 1.95) | 0.004 | 1.30 (0.99, 1.71) | 0.058 | |||
Publisher’s Note: MDPI stays neutral with regard to jurisdictional claims in published maps and institutional affiliations. |
© 2021 by the authors. Licensee MDPI, Basel, Switzerland. This article is an open access article distributed under the terms and conditions of the Creative Commons Attribution (CC BY) license (https://creativecommons.org/licenses/by/4.0/).
Share and Cite
Alderuccio, J.P.; Florindez, J.A.; Reis, I.M.; Zhao, W.; Lossos, I.S. Treatments and Outcomes in Stage I Extranodal Marginal Zone Lymphoma in the United States. Cancers 2021, 13, 1803. https://doi.org/10.3390/cancers13081803
Alderuccio JP, Florindez JA, Reis IM, Zhao W, Lossos IS. Treatments and Outcomes in Stage I Extranodal Marginal Zone Lymphoma in the United States. Cancers. 2021; 13(8):1803. https://doi.org/10.3390/cancers13081803
Chicago/Turabian StyleAlderuccio, Juan Pablo, Jorge A. Florindez, Isildinha M. Reis, Wei Zhao, and Izidore S. Lossos. 2021. "Treatments and Outcomes in Stage I Extranodal Marginal Zone Lymphoma in the United States" Cancers 13, no. 8: 1803. https://doi.org/10.3390/cancers13081803
APA StyleAlderuccio, J. P., Florindez, J. A., Reis, I. M., Zhao, W., & Lossos, I. S. (2021). Treatments and Outcomes in Stage I Extranodal Marginal Zone Lymphoma in the United States. Cancers, 13(8), 1803. https://doi.org/10.3390/cancers13081803
