Prognostic Significance of Interim Response Evaluation during Definitive Chemoradiotherapy for Locally Advanced Esophageal Squamous Cell Carcinoma
Abstract
Simple Summary
Abstract
1. Introduction
2. Materials and Methods
2.1. Patient Identification
2.2. Treatment Regimens
2.3. Defining Regions of Interest and Interim Analysis at ART
2.4. Assessment of Overall Treatment Response
2.5. Statistical Analyses
2.6. Ethical Considerations
3. Results
3.1. Baseline Characteristics of Patients
3.2. Interim Analysis
3.3. Overall Treatment Response and Pattern of Failure
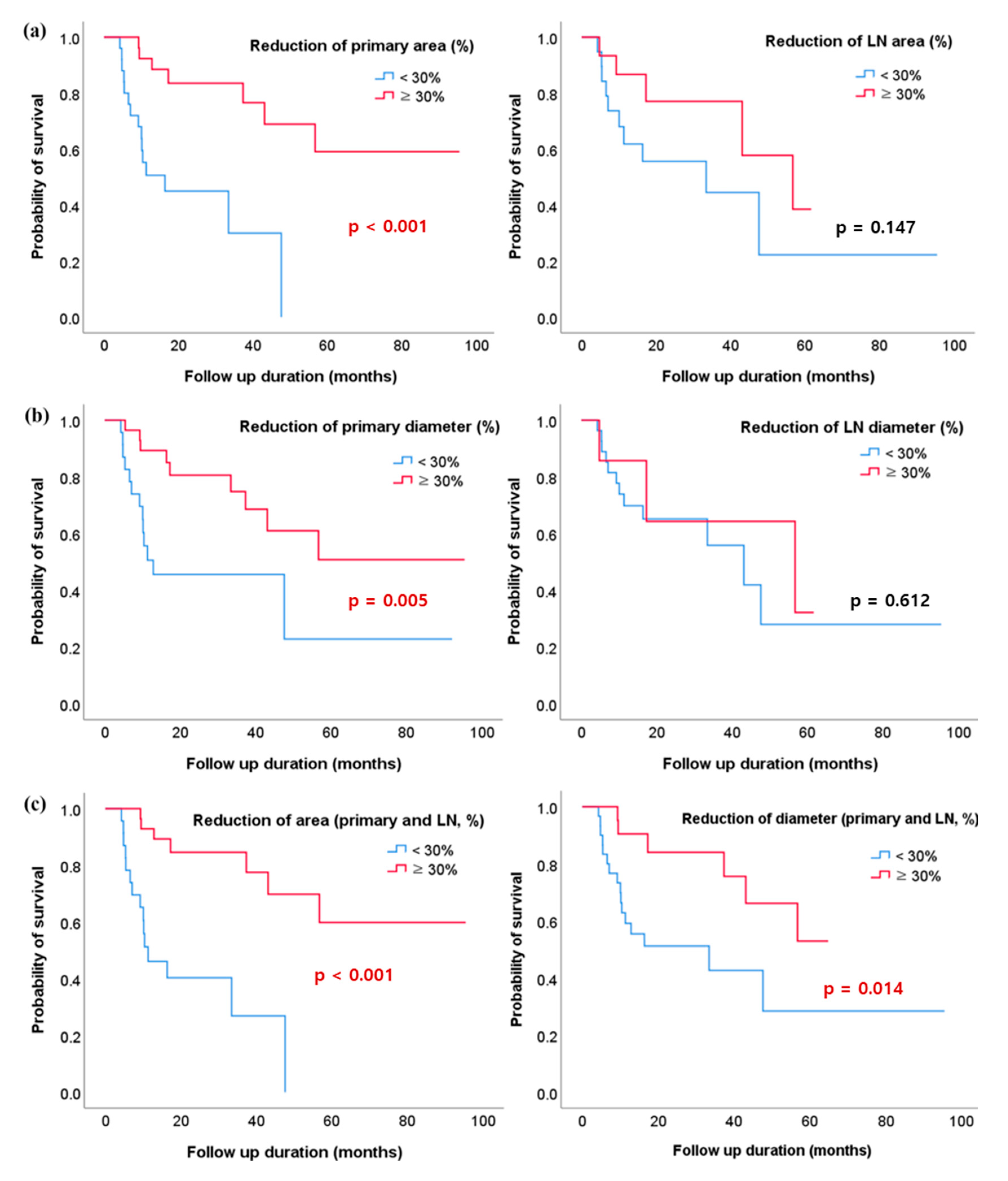
3.4. Prognostic Significance of Interim Analysis
4. Discussion
5. Conclusions
Supplementary Materials
Author Contributions
Funding
Institutional Review Board Statement
Informed Consent Statement
Data Availability Statement
Acknowledgments
Conflicts of Interest
References
- Bray, F.; Ferlay, J.; Soerjomataram, I.; Siegel, R.L.; Torre, L.A.; Jemal, A. Global cancer statistics 2018: GLOBOCAN estimates of incidence and mortality worldwide for 36 cancers in 185 countries. CA Cancer J. Clin. 2018, 68, 394–424. [Google Scholar] [CrossRef]
- Abnet, C.C.; Arnold, M.; Wei, W.-Q. Epidemiology of Esophageal Squamous Cell Carcinoma. Gastroenterology 2018, 154, 360–373. [Google Scholar] [CrossRef]
- Lagergren, J.; Smyth, E.; Cunningham, D.; Lagergren, P. Oesophageal cancer. Lancet 2017, 390, 2383–2396. [Google Scholar] [CrossRef]
- Berry, M.F. Esophageal cancer: Staging system and guidelines for staging and treatment. J. Thorac. Dis. 2014, 6, S289. [Google Scholar] [PubMed]
- Smith, G.L.; Smith, B.D.; Buchholz, T.A.; Liao, Z.; Jeter, M.; Swisher, S.G.; Hofstetter, W.L.; Ajani, J.A.; McAleer, M.F.; Komaki, R.; et al. Patterns of care and locoregional treatment outcomes in older esophageal cancer patients: The SEER-Medicare Cohort. Int. J. Radiat. Oncol. Biol. Phys. 2009, 74, 482–489. [Google Scholar] [CrossRef] [PubMed]
- Khushalani, N.I. Cancer of the esophagus and stomach. Mayo Clin. Proc. 2008, 83, 712–722. [Google Scholar] [CrossRef]
- van Hagen, P.; Hulshof, M.C.C.M.; van Lanschot, J.J.B.; Steyerberg, E.W.; Henegouwen, M.I.v.B.; Wijnhoven, B.P.L.; Richel, D.J.; Nieuwenhuijzen, G.A.P.; Hospers, G.A.P.; Bonenkamp, J.J.; et al. Preoperative Chemoradiotherapy for Esophageal or Junctional Cancer. N. Engl. J. Med. 2012, 366, 2074–2084. [Google Scholar] [CrossRef] [PubMed]
- Herskovic, A.; Martz, K.; Al-Sarraf, M.; Leichman, L.; Brindle, J.; Vaitkevicius, V.; Cooper, J.; Byhardt, R.; Davis, L.; Emami, B. Combined chemotherapy and radiotherapy compared with radiotherapy alone in patients with cancer of the esophagus. N. Engl. J. Med. 1992, 326, 1593–1598. [Google Scholar] [CrossRef]
- Crehange, G.; Maingon, P.; Peignaux, K.; N’guyen, T.D.; Mirabel, X.; Marchal, C.; Verrelle, P.; Roullet, B.; Bonnetain, F.; Bedenne, L. Phase III trial of protracted compared with split-course chemoradiation for esophageal carcinoma: Federation Francophone de Cancerologie Digestive 9102. J. Clin. Oncol. 2007, 25, 4895–4901. [Google Scholar] [CrossRef]
- Minsky, B.D.; Pajak, T.F.; Ginsberg, R.J.; Pisansky, T.M.; Martenson, J.; Komaki, R.; Okawara, G.; Rosenthal, S.A.; Kelsen, D.P. INT 0123 (Radiation Therapy Oncology Group 94-05) phase III trial of combined-modality therapy for esophageal cancer: High-dose versus standard-dose radiation therapy. J. Clin. Oncol. 2002, 20, 1167–1174. [Google Scholar] [CrossRef] [PubMed]
- Sonke, J.J.; Aznar, M.; Rasch, C. Adaptive Radiotherapy for Anatomical Changes. Semin. Radiat. Oncol. 2019, 29, 245–257. [Google Scholar] [CrossRef] [PubMed]
- Eisenhauer, E.A.; Therasse, P.; Bogaerts, J.; Schwartz, L.H.; Sargent, D.; Ford, R.; Dancey, J.; Arbuck, S.; Gwyther, S.; Mooney, M.; et al. New response evaluation criteria in solid tumours: Revised RECIST guideline (version 1.1). Eur. J. Cancer 2009, 45, 228–247. [Google Scholar] [CrossRef] [PubMed]
- Kim, D.-E.; Kim, U.-J.; Choi, W.-Y.; Kim, M.-Y.; Kim, S.-H.; Kim, M.-J.; Shim, H.-J.; Hwang, J.-E.; Bae, W.-K.; Chung, I.-J.; et al. Clinical Prognostic Factors for Locally Advanced Esophageal Squamous Carcinoma Treated after Definitive Chemoradiotherapy. Cancer Res. Treat. 2013, 45, 276–284. [Google Scholar] [CrossRef] [PubMed][Green Version]
- Du, X.-X.; Yu, R.; Wang, Z.-F.; Du, D.-C.; Liu, Q.-Y.; Wang, R.-M.; Kang, S.-R.; Yang, H. Outcomes and prognostic factors for patients with cervical esophageal cancer undergoing definitive radiotherapy or chemoradiotherapy. Bosn. J. Basic Med. Sci. 2019, 19, 186–194. [Google Scholar] [CrossRef]
- Dai, H.; Shao, Y.W.; Tong, X.; Wu, X.; Pang, J.; Feng, A.; Yang, Z. YAP1 amplification as a prognostic factor of definitive chemoradiotherapy in nonsurgical esophageal squamous cell carcinoma. Cancer Med. 2020, 9, 1628–1637. [Google Scholar] [CrossRef]
- Kang, S.Y.; Han, J.H.; Lee, K.J.; Choi, J.H.; Park, J.I.; Kim, H.I.; Lee, H.W.; Jang, J.H.; Park, J.S.; Kim, H.C.; et al. Low expression of Bax predicts poor prognosis in patients with locally advanced esophageal cancer treated with definitive chemoradiotherapy. Clin. Cancer Res. 2007, 13, 4146–4153. [Google Scholar] [CrossRef]
- Cooper, J.S.; Guo, M.D.; Herskovic, A.; Macdonald, J.S.; Martenson, J.A., Jr.; Al-Sarraf, M.; Byhardt, R.; Russell, A.H.; Beitler, J.J.; Spencer, S.; et al. Chemoradiotherapy of locally advanced esophageal cancer: Long-term follow-up of a prospective randomized trial (RTOG 85-01). Radiation Therapy Oncology Group. JAMA 1999, 281, 1623–1627. [Google Scholar] [CrossRef]
- Maehama, T.; Nishio, M.; Otani, J.; Mak, T.W.; Suzuki, A. The role of Hippo-YAP signaling in squamous cell carcinomas. Cancer Sci. 2020, 112, 51–60. [Google Scholar] [CrossRef] [PubMed]
- Zhou, X.; Li, Y.; Wang, W.; Wang, S.; Hou, J.; Zhang, A.; Lv, B.; Gao, C.; Yan, Z.; Pang, D.; et al. Regulation of Hippo/YAP signaling and Esophageal Squamous Carcinoma progression by an E3 ubiquitin ligase PARK2. Theranostics 2020, 10, 9443–9457. [Google Scholar] [CrossRef]
- Qu, Y.; Zhang, L.; Wang, J.; Chen, P.; Jia, Y.; Wang, C.; Yang, W.; Wen, Z.; Song, Q.; Tan, B.; et al. Yes-associated protein (YAP) predicts poor prognosis and regulates progression of esophageal squamous cell cancer through epithelial-mesenchymal transition. Exp. Ther. Med. 2019, 18, 2993–3001. [Google Scholar] [CrossRef]
- Sun, L.; Wei, L.; Wei, L.; Li, D. Correlation between Bax gene polymorphisms and esophagus cancer. Oncol. Lett. 2018, 16, 7097–7101. [Google Scholar] [CrossRef] [PubMed]
- Li, L.Y.; Peng, J.D.; Zhou, W.; Qiao, H.; Deng, X.; Li, Z.H.; Li, J.D.; Fu, Y.D.; Li, S.; Sun, K.; et al. Potent hydrazone derivatives targeting esophageal cancer cells. Eur. J. Med. Chem. 2018, 148, 359–371. [Google Scholar] [CrossRef] [PubMed]
- Joubert, A.; Maritz, C.; Joubert, F. Bax/Bcl-2 expression levels of 2-methoxyestradiol-exposed esophageal cancer cells. Biomed. Res. 2005, 26, 131–134. [Google Scholar] [CrossRef] [PubMed][Green Version]
- Kitajima, K.; Kaida, H.; Nakatani, K.; Ishibashi, M.; Morita, T.; Nakajo, M.; Tamaki, Y.; Minamimoto, R. Assessment of tumor response to definitive chemoradiotherapy and prognosis prediction in patients with esophageal cancer judged by PET response criteria in solid tumors: Multicenter study in Japan. Nucl. Med. Commun. 2020, 41, 443–451. [Google Scholar] [CrossRef]
- Kwee, R.M. Prediction of tumor response to neoadjuvant therapy in patients with esophageal cancer with use of 18F FDG PET: A systematic review. Radiology 2010, 254, 707–717. [Google Scholar] [CrossRef]
- Chen, Y.M.; Pan, X.F.; Tong, L.J.; Shi, Y.P.; Chen, T. Can ¹8F-fluorodeoxyglucose positron emission tomography predict responses to neoadjuvant therapy in oesophageal cancer patients? A meta-analysis. Nucl. Med. Commun. 2011, 32, 1005–1010. [Google Scholar] [CrossRef]
- Schollaert, P.; Crott, R.; Bertrand, C.; D’Hondt, L.; Borght, T.V.; Krug, B. A systematic review of the predictive value of (18)FDG-PET in esophageal and esophagogastric junction cancer after neoadjuvant chemoradiation on the survival outcome stratification. J. Gastrointest. Surg. 2014, 18, 894–905. [Google Scholar] [CrossRef]
- Tani, Y.; Nakajima, M.; Kikuchi, M.; Ihara, K.; Muroi, H.; Takahashi, M.; Domeki, Y.; Okamoto, K.; Yamaguchi, S.; Sasaki, K.; et al. ¹⁸F-Fluorodeoxyglucose Positron Emission Tomography for Evaluating the Response to Neoadjuvant Chemotherapy in Advanced Esophageal Cancer. Anticancer Res. 2016, 36, 367–373. [Google Scholar]
- Suzuki, A.; Xiao, L.; Hayashi, Y.; Blum, M.A.; Welsh, J.W.; Lin, S.H.; Lee, J.H.; Bhutani, M.S.; Weston, B.; Maru, D.M.; et al. Nomograms for prognostication of outcome in patients with esophageal and gastroesophageal carcinoma undergoing definitive chemoradiotherapy. Oncology 2012, 82, 108–113. [Google Scholar] [CrossRef]
- Yap, W.K.; Chang, Y.C.; Hsieh, C.H.; Chao, Y.K.; Chen, C.C.; Shih, M.C.; Hung, T.M. Favorable versus unfavorable prognostic groups by post-chemoradiation FDG-PET imaging in node-positive esophageal squamous cell carcinoma patients treated with definitive chemoradiotherapy. Eur. J. Nucl. Med. Mol. Imaging 2018, 45, 689–698. [Google Scholar] [CrossRef] [PubMed]




| Characteristics | Values (n = 51) |
|---|---|
| Age (years, mean ± SD) | 65.6 ± 9.1 |
| Male (n, %) | 43 (84.3) |
| Follow up duration (months) (median, IQR) | 16.6 (10.2–41.3) a |
| Location (n, %) | |
| Cervical | 9 (17.6) |
| Upper | 14 (27.5) |
| Middle | 19 (37.3) |
| Lower | 9 (17.6) |
| Clinical T Stage (n, %) | |
| Tx b | 2 (3.9) |
| T1 | 3 (5.9) |
| T2 | 10 (19.6) |
| T3 | 27 (53.0) |
| T4 | 9 (17.6) |
| Clinical N Stage (n, %) | |
| N0 | 4 (7.8) |
| N1 | 23 (45.1) |
| N2 | 16 (31.4) |
| N3 | 8 (15.7) |
| Clinical M Stage, n (%) | |
| M0 | 51 (100.0) |
| Clinical TNM stage (n, %) | |
| Stage II | 11 (21.6) |
| Stage III | 31 (60.8) |
| Stage IVA | 9 (17.6) |
| Tumor histology (n, %) | |
| WD | 7 (13.7) |
| MD | 29 (56.9) |
| PD | 7 (13.7) |
| N/A (Uncertain invasiveness) | 8 (15.7) |
| Chemotherapy regimen | |
| 5-FU + cisplatin | 45 (88.2) |
| Others c | 6 (11.8) |
| Consolidation chemotherapy (n, %) | 27 (52.9) |
| Adaptive RT dose, cGy [median (min–max) | 3570 (2300–6300) |
| Total dose, cGy [median (min–max)] | 6300 (4200–7200) |
| Interim Treatment Response | Values (n = 51) |
|---|---|
| Interval between initial and adaptive CT, days (mean ± SD) | 30.6 ± 7.3 |
| Primary esophageal lesion | |
| Initial area (cm2), (median, IQR) | 5.9 (3.8–8.6) |
| Follow up area (cm2), (median, IQR) | 4.0 (2.3–5.6) |
| Initial diameter (cm), (median, IQR) | 1.8 (1.4–2.7) |
| Follow up diameter (cm), (median, IQR) | 1.3 (0.8–1.6) |
| Reduction of area (%, mean ± SD) | 33.7 ± 24.0 |
| Reduction of diameter (%, mean ± SD) | 32.0 ± 23.4 |
| LN | |
| Initial area (cm2), (median, IQR) | 2.5 (1.5–3.8) |
| Follow up area (cm2), (median, IQR) | 1.7 (1.1–3.3) |
| Initial diameter (cm), (median, IQR) | 2.1 (1.7–2.5) |
| Follow up diameter (cm), (median, IQR) | 1.7 (1.4–2.1) |
| Reduction of area (%, mean ± SD) | 27.2 ± 25.1 |
| Reduction of diameter (%, mean ± SD) | 16.6 ± 19.2 |
| Sum of primary lesion and LN | |
| Initial area (cm2), (median, IQR) | 8.2 (5.4–12.1) |
| Follow up area (cm2), (median, IQR) | 5.7 (3.6–8.1) |
| Initial diameter, (median, IQR) | 3.3 (2.1–4.8) |
| Follow up diameter, (median, IQR) | 2.8 (1.3–3.6) |
| Reduction of area (%, mean ± SD) | 32.4 ± 22.4 |
| Reduction of diameter (%, mean ± SD) | 25.8 ± 22.6 |
| Variables | Non-CR (n = 25) | CR (n = 26) | p-Value |
|---|---|---|---|
| Age (years, mean ± SD) | 66.4 ± 8.0 | 64.9 ± 10.1 | 0.567 |
| Primary esophageal lesion | |||
| Initial area (cm2), (median, IQR) | 6.1 (4.1–9.0) | 5.7 (2.8–8.5) | 0.666 |
| Reduction of area (%, mean ± SD) | 18.4 ± 18.0 | 48.4 ± 19.5 | <0.001 |
| Initial diameter (cm), (median, IQR) | 1.8 (1.4–2.6) | 1.8 (1.2–2.7) | 0.926 |
| Reduction of diameter (%, mean ± SD) | 16.3 ± 20.4 | 47.6 ± 14.5 | <0.001 |
| LN | |||
| LN initial area (cm2), (median, IQR) | 2.5 (1.5–4.1) | 2.5 (1.9–3.7) | 0.769 |
| Reduction of LN area (%, mean ± SD)) | 15.2 ± 21.4 | 40.6 ± 22.4 | 0.002 |
| LN initial diameter (cm), (median, IQR) | 2.0 (1.5–2.6) | 2.1 (1.8–2.6) | 0.437 |
| Reduction of LN diameter (%, mean ± SD) | 5.8 ± 14.6 | 28.7 ± 16.5 | <0.001 |
| Sum of primary lesion and LN | |||
| Initial Area (cm2), (median, IQR) | 8.6 (5.9–12.0) | 6.9 (3.6–12.6) | 0.254 |
| Reduction of area, sum (%, mean ± SD)) | 17.7 ± 17.1 | 46.5 ± 17.5 | <0.001 |
| Initial diameter (cm), (median, IQR) | 3.3 (2.6–4.4) | 3.3 (1.9–4.8) | 0.618 |
| Reduction of diameter, sum (%, mean ± SD) | 10.5 ± 19.3 | 40.5 ± 14.4 | <0.001 |
| Clinical Stage (n, %) | 0.145 | ||
| Stage II | 4 (16.0) | 7 (26.9) | |
| Stage III | 14 (56.0) | 17 (65.4) | |
| Stage IVA | 7 (28.0) | 2 (7.7) |
| For Complete Response | Univariable Model | Multivariable Model 1 | Multivariable Model 2 | |||
|---|---|---|---|---|---|---|
| OR(95% CI) | p-Value | OR(95% CI) | p-Value | OR(95% CI) | p-Value | |
| Age | 1.02(0.96–1.08) | 0.559 | ||||
| Primary esophageal lesion | ||||||
| Reduction of area | 0.90(0.84–0.95) | <0.001 | 0.88(0.78–0.99) | 0.029 | ||
| Reduction of diameter | 0.91(0.87–0.96) | <0.001 | ||||
| Lymph node (LN) | ||||||
| Reduction of area | 0.95(0.91–0.99) | 0.008 | 0.97(0.92–1.03) | 0.304 | ||
| Reduction of diameter | 0.91(0.85–0.97) | 0.004 | ||||
| Sum of primary lesion and LN | ||||||
| Reduction of area, sum | 0.90(0.85–0.95) | <0.001 | 0.89(0.84–0.95) | <0.001 | ||
| Reduction of diameter, sum | 0.88(0.81–0.94) | <0.001 | ||||
| Clinical Stage (ref: Stage II) | ||||||
| Stage III | 1.44(0.35–5.95) | 0.386 | 2.79(0.20–39.80) | 0.962 | 2.42(0.38–15.25) | 0.764 |
| Stage IVA | 6.12(0.83–45.02) | 0.064 | 8.79(0.14–544.29) | 0.374 | 9.62(0.71–130.07) | 0.118 |
| For Overall Survival Rates | Univariable Model | Multivariable Model 1 | Multivariable Model 2 | |||
| HR(95% CI) | p-Value | HR(95% CI) | p-Value | HR(95% CI) | p-Value | |
| Age | 0.99(0.94–1.03) | 0.54 | ||||
| Primary esophageal lesion | ||||||
| Reduction of area | 0.98(0.97–0.99) | 0.001 | 0.98(0.96–0.99) | 0.002 | ||
| Reduction of diameter | 0.97(0.95–0.99) | <0.001 | ||||
| Lymph node (LN) | ||||||
| Reduction of LN area | 0.99(0.96–1.01) | 0.253 | ||||
| Reduction of LN diameter | 0.97(0.94–1.00) | 0.07 | ||||
| Sum of primary lesion and LN | ||||||
| Reduction of area, sum | 0.97(0.96–0.99) | <0.001 | 0.97(0.95–0.99) | 0.001 | ||
| Reduction of diameter, sum | 0.97(0.96–0.99) | <0.001 | ||||
| Clinical Stage (ref: Stage II) | ||||||
| Stage III | 0.75(0.25–2.19) | 0.594 | 0.58(0.19–1.79) | 0.346 | 0.65(0.22–1.98) | 0.454 |
| Stage IVA | 2.29(0.72–7.30) | 0.16 | 1.70(0.53–5.50) | 0.373 | 1.84(0.57–5.90) | 0.308 |
Publisher’s Note: MDPI stays neutral with regard to jurisdictional claims in published maps and institutional affiliations. |
© 2021 by the authors. Licensee MDPI, Basel, Switzerland. This article is an open access article distributed under the terms and conditions of the Creative Commons Attribution (CC BY) license (http://creativecommons.org/licenses/by/4.0/).
Share and Cite
Yeom, J.G.; Kim, J.-H.; Kim, J.W.; Cho, Y.; Lee, I.J.; Lee, C.G.; Chun, J.; Youn, Y.H.; Park, H. Prognostic Significance of Interim Response Evaluation during Definitive Chemoradiotherapy for Locally Advanced Esophageal Squamous Cell Carcinoma. Cancers 2021, 13, 1255. https://doi.org/10.3390/cancers13061255
Yeom JG, Kim J-H, Kim JW, Cho Y, Lee IJ, Lee CG, Chun J, Youn YH, Park H. Prognostic Significance of Interim Response Evaluation during Definitive Chemoradiotherapy for Locally Advanced Esophageal Squamous Cell Carcinoma. Cancers. 2021; 13(6):1255. https://doi.org/10.3390/cancers13061255
Chicago/Turabian StyleYeom, Jun Gi, Jie-Hyun Kim, Jun Won Kim, Yeona Cho, Ik Jae Lee, Chang Geol Lee, Jaeyoung Chun, Young Hoon Youn, and Hyojin Park. 2021. "Prognostic Significance of Interim Response Evaluation during Definitive Chemoradiotherapy for Locally Advanced Esophageal Squamous Cell Carcinoma" Cancers 13, no. 6: 1255. https://doi.org/10.3390/cancers13061255
APA StyleYeom, J. G., Kim, J.-H., Kim, J. W., Cho, Y., Lee, I. J., Lee, C. G., Chun, J., Youn, Y. H., & Park, H. (2021). Prognostic Significance of Interim Response Evaluation during Definitive Chemoradiotherapy for Locally Advanced Esophageal Squamous Cell Carcinoma. Cancers, 13(6), 1255. https://doi.org/10.3390/cancers13061255

