Evolution of Surgical Treatment of Colorectal Liver Metastases in the Real World: Single Center Experience in 1212 Cases
Abstract
Simple Summary
Abstract
1. Introduction
2. Methods
2.1. Study Design
2.2. Preoperative Workup
2.3. Procedures
2.3.1. Open Procedures
2.3.2. Laparoscopic Procedures
2.4. Variables
2.5. Statistical Methods
3. Results
3.1. Participants and Recruitment Trends
3.2. Surgery Characteristics and Outcomes (Technical Issues)
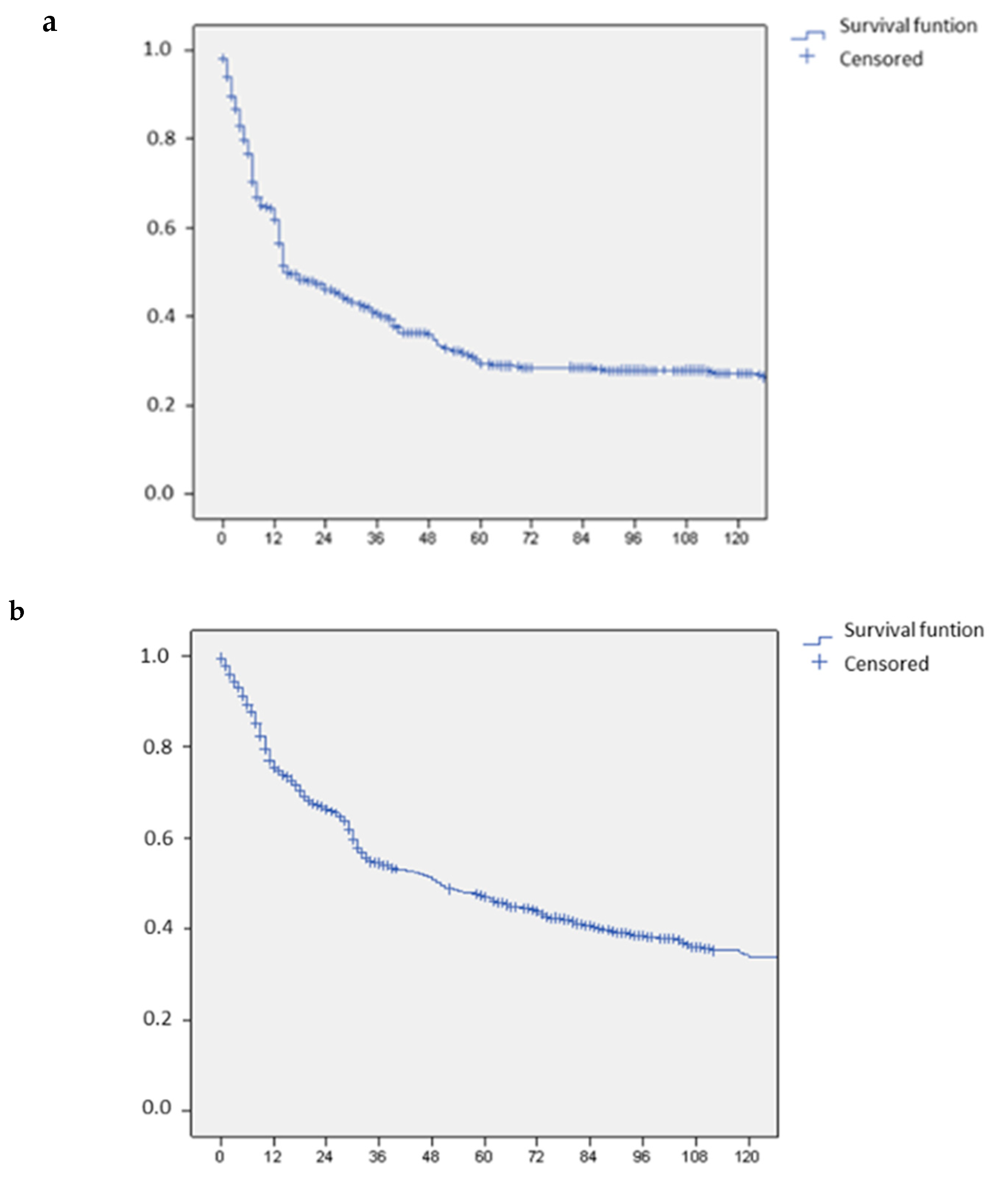
3.3. Oncological Outcomes
4. Discussion
5. Conclusions
Author Contributions
Funding
Institutional Review Board Statement
Informed Consent Statement
Data Availability Statement
Acknowledgments
Conflicts of Interest
References
- Hallet, J.; Sa Cunha, A.; Adam, R.; Goéré, D.; Bachellier, P.; Azoulay, D.; Ayav, A.; Grégoire, E.; Navarro, F.; Pessaux, P.; et al. Factors influencing recurrence following initial hepatectomy for colorectal liver metastases. Br. J. Surg. 2016, 103, 1366–1376. [Google Scholar] [CrossRef]
- Adam, R.; De Gramont, A.; Figueras, J.; Guthrie, A.; Kokudo, N.; Kunstlinger, F.; Loyer, E.; Poston, G.; Rougier, P.; Rubbia-Brandt, L.; et al. Jean-Nicolas Vauthey of the EGOSLIM (Expert Group on OncoSurgery management of LIver Metastases) group. The oncosurgery approach to managing liver metastases from colorectal cancer: A multidisciplinary international consensus. Oncologist 2012, 17, 1225–1239. [Google Scholar] [CrossRef]
- Nordlinger, B.; Sorbye, H.; Glimelius, B.; Poston, G.J.; Schlag, P.M.; Rougier, P.; Bechstein, W.O.; Primrose, J.N.; Walpole, E.T.; Finch-Jones, M.; et al. Perioperative chemotherapy with FOLFOX4 and surgery versus surgery alone for resectable liver metastases from colorectal cancer (EORTC Intergroup trial 40983): A randomised controlled trial. Lancet 2008, 371, 1007–1016. [Google Scholar] [CrossRef]
- Bonney, G.K.; Coldham, C.; Adam, R.; Kaiser, G.; Barroso, E.; Capussotti, L.; Laurent, C.; Verhoef, C.; Nuzzo, G.; Elias, D.; et al. LiverMetSurvey International Registry Working Group. Role of neoadjuvant chemotherapy in resectable synchronous colorectal liver metastasis; An international multi-center data analysis using LiverMetSurvey. J. Surg. Oncol. 2015, 111, 716–724. [Google Scholar] [CrossRef] [PubMed]
- Ruzzenente, A.; Bagante, F.; Ratti, F.; Beal, E.W.; Alexandrescu, S.; Merath, K.; Makris, E.A.; Poultsides, G.A.; Margonis, G.A.; Weiss, M.J.; et al. Response to preoperative chemotherapy: Impact of change in total burden score and mutational tumor status on prognosis of patients undergoing resection for colorectal liver metastases. HPB (Oxford) 2019, 21, 1230–1239. [Google Scholar] [CrossRef] [PubMed]
- Van Cutsem, E.; Cervantes, A.; Adam, R.; Sobrero, A.; Van Krieken, J.H.; Aderka, D.; Aranda Aguilar, E.; Bardelli, A.; Benson, A.; Bodoky, G.; et al. ESMO consensus guidelines for the management of patients with metastatic colorectal cancer. Ann. Oncol. 2016, 27, 1386–1422. [Google Scholar] [CrossRef]
- Ratti, F.; Fiorentini, G.; Cipriani, F.; Catena, M.; Paganelli, M.; Aldrighetti, L. Laparoscopic vs Open Surgery for Colorectal Liver Metastases. JAMA Surg. 2018, 153, 1028–1035. [Google Scholar] [CrossRef] [PubMed]
- Ratti, F.; Cipriani, F.; Ariotti, R.; Giannone, F.; Paganelli, M.; Aldrighetti, L. Laparoscopic major hepatectomies: Current trends and indications. A comparison with the open technique. Updates Surg. 2015, 67, 157–167. [Google Scholar] [CrossRef]
- Viganò, L.; Procopio, F.; Cimino, M.M.; Donadon, M.; Gatti, A.; Costa, G.; Del Fabbro, D.; Torzilli, G. Is Tumor Detachment from Vascular Structures Equivalent to R0 Resection in Surgery for Colorectal Liver Metastases? An Observational Cohort. Ann. Surg. Oncol. 2016, 23, 1352–1360. [Google Scholar] [CrossRef]
- Torzilli, G.; Serenari, M.; Viganò, L.; Cimino, M.; Benini, C.; Massani, M.; Ettorre, G.M.; Cescon, M.; Ferrero, A.; Cillo, U.; et al. Outcomes of enhanced one-stage ultrasound-guided hepatectomy for bilobar colorectal liver metastases compared to those of ALPPS: A multicenter case-match analysis. HPB (Oxford) 2019, 21, 1411–1418. [Google Scholar] [CrossRef]
- Ratti, F.; Schadde, E.; Masetti, M.; Massani, M.; Zanello, M.; Serenari, M.; Cipriani, F.; Bonariol, L.; Bassi, N.; Aldrighetti, L.; et al. Strategies to Increase the Resectability of Patients with Colorectal Liver Metastases: A Multi-center Case-Match Analysis of ALPPS and Conventional Two-Stage Hepatectomy. Ann. Surg. Oncol. 2015, 22, 1933–1942. [Google Scholar] [CrossRef] [PubMed]
- Ratti, F.; Soldati, C.; Catena, M.; Paganelli, M.; Ferla, G.; Aldrighetti, L. Role of portal vein embolization in liver surgery: Single centre experience in sixty-two patients. Updates Surg. 2010, 62, 153–159. [Google Scholar] [CrossRef] [PubMed]
- Guzzetti, E.; Pulitanò, C.; Catena, M.; Arru, M.; Ratti, F.; Finazzi, R.; Aldrighetti, L.; Ferla, G. Impact of type of liver resection on the outcome of colorectal liver metastases: A case-matched analysis. J. Surg. Oncol. 2008, 97, 503–507. [Google Scholar] [CrossRef]
- Ratti, F.; Cipriani, F.; Catena, M.; Paganelli, M.; Aldrighetti, L. Liver failure in patients treated with chemotherapy for colorectal liver metastases: Role of chronic disease scores in patients undergoing major liver surgery. A case-matched analysis. Eur. J. Surg. Oncol. 2014, 40, 1550–1556. [Google Scholar] [CrossRef]
- Zhao, J.; van Mierlo, K.M.C.; Gómez-Ramírez, J.; Kim, H.; Pilgrim, C.H.C.; Pessaux, P.; Rensen, S.S.; van der Stok, E.P.; Schaap, F.G.; Soubrane, O.; et al. Chemotherapy-Associated Liver Injury (CALI) consortium. Systematic review of the influence of chemotherapy-associated liver injury on outcome after partial hepatectomy for colorectal liver metastases. Br. J. Surg. 2017, 104, 990–1002. [Google Scholar] [CrossRef]
- Tsilimigras, D.I.; Ntanasis-Stathopoulos, I.; Paredes, A.Z.; Moris, D.; Gavriatopoulou, M.; Cloyd, J.M.; Pawlik, T.M. Disappearing liver metastases: A systematic review of the current evidence. Surg. Oncol. 2019, 29, 7–13. [Google Scholar] [CrossRef]
- Mavros, M.N.; Hyder, O.; Pulitano, C.; Aldrighetti, L.; Pawlik, T.M. Survival of patients operated for colorectal liver metastases and concomitant extra-hepatic disease: External validation of a prognostic model. J. Surg. Oncol. 2013, 107, 481–485. [Google Scholar] [CrossRef]
- Ratti, F.; Fuks, D.; Cipriani, F.; Gayet, B.; Aldrighetti, L. Timing of Perioperative Chemotherapy Does Not Influence Long-Term Outcome of Patients Undergoing Combined Laparoscopic Colorectal and Liver Resection in Selected Upfront Resectable Synchronous Liver Metastases. World J. Surg. 2019, 43, 3110–3119. [Google Scholar] [CrossRef]
- Margonis, G.A.; Buettner, S.; Andreatos, N.; Wagner, D.; Sasaki, K.; Barbon, C.; Beer, A.; Kamphues, C.; Løes, I.M.; He, J.; et al. Prognostic Factors Change Over Time After Hepatectomy for Colorectal Liver Metastases: A Multi-institutional, International Analysis of 1099 Patients. Ann. Surg. 2019, 269, 1129–1137. [Google Scholar] [CrossRef] [PubMed]
- Tang, M.; Wang, H.; Cao, Y.; Zeng, Z.; Shan, X.; Wang, L. Nomogram for predicting occurrence and prognosis of liver metastasis in colorectal cancer: A population-based study. Int. J. Colorectal. Dis. 2021, 36, 271–282. [Google Scholar] [CrossRef] [PubMed]
- Choti, M.A.; Thomas, M.; Wong, S.L.; Eaddy, M.; Pawlik, T.M.; Hirose, K.; Weiss, M.J.; Kish, J.; Green, M.R. Surgical Resection Preferences and Perceptions among Medical Oncologists Treating Liver Metastases from Colorectal Cancer. Ann. Surg. Oncol. 2016, 23, 375–381. [Google Scholar] [CrossRef]
- Basso, M.; Corallo, S.; Calegari, M.A.; Zurlo, I.V.; Ardito, F.; Vellone, M.; Marchesani, S.; Orlandi, A.; Dadduzio, V.; Fucà, G.; et al. The impact of multidisciplinary team management on outcome of hepatic resection in liver-limited colorectal metastases. Sci. Rep. 2020, 10, 10871. [Google Scholar] [CrossRef]
- Fong, Y.; Fortner, J.; Sun, R.L.; Brennan, M.F.; Blumgart, L.H. Clinical score for predicting recurrence after hepatic resection for metastatic colorectal cancer: Analysis of 1001 consecutive cases. Ann. Surg. 1999, 230, 309–318. [Google Scholar] [CrossRef]
- Strasberg, S.M. Nomenclature of hepatic anatomy and resections: A review of the Brisbane 2000 system. J. Hepatobiliary Pancreat Surg. 2005, 12, 351–355. [Google Scholar] [CrossRef] [PubMed]
- Ratti, F.; Catena, M.; Di Palo, S.; Staudacher, C.; Aldrighetti, L. Laparoscopic Approach for Primary Colorectal Cancer Improves Outcome of Patients Undergoing Combined Open Hepatic Resection for Liver Metastases. World J. Surg. 2015, 39, 2573–2582. [Google Scholar] [CrossRef]
- Ban, D.; Tanabe, M.; Ito, H.; Otsuka, Y.; Nitta, H.; Abe, Y.; Hasegawa, Y.; Katagiri, T.; Takagi, C.; Itano, O.; et al. A novel difficulty scoring system for laparoscopic liver resection. J. Hepatobiliary Pancreat Sci. 2014, 21, 745–753. [Google Scholar] [CrossRef]
- Dindo, D.; Demartines, N.; Clavien, P.A. Classification of surgical complications: A new proposal with evaluation in a cohort of 6336 patients and results of a survey. Ann. Surg. 2004, 240, 205–213. [Google Scholar] [CrossRef]
- Ratti, F.; Catena, M.; Di Palo, S.; Staudacher, C.; Aldrighetti, L. Impact of totally laparoscopic combined management of colorectal cancer with synchronous hepatic metastases on severity of complications: A propensity-score-based analysis. Surg. Endosc. 2016, 30, 4934–4945. [Google Scholar] [CrossRef] [PubMed]
- Ratti, F.; Cipriani, F.; Reineke, R.; Catena, M.; Comotti, L.; Beretta, L.; Aldrighetti, L. Impact of ERAS approach and minimally-invasive techniques on outcome of patients undergoing liver surgery for hepatocellular carcinoma. Dig. Liver Dis. 2016, 48, 1243–1248. [Google Scholar] [CrossRef] [PubMed]
- Halls, M.C.; Cipriani, F.; Berardi, G.; Barkhatov, L.; Lainas, P.; Alzoubi, M.; D’Hondt, M.; Rotellar, F.; Dagher, I.; Aldrighetti, L.; et al. Conversion for Unfavorable Intraoperative Events Results in Significantly Worse Outcomes During Laparoscopic Liver Resection: Lessons Learned From a Multicenter Review of 2861 Cases. Ann. Surg. 2018, 268, 1051–1057. [Google Scholar] [CrossRef]
- Ratti, F.; Fiorentini, G.; Cipriani, F.; Paganelli, M.; Catena, M.; Aldrighetti, L. Perioperative and Long-Term Outcomes of Laparoscopic Versus Open Lymphadenectomy for Biliary Tumors: A Propensity-Score-Based, Case-Matched Analysis. Ann. Surg. Oncol. 2019, 26, 564–575. [Google Scholar] [CrossRef] [PubMed]
- Ratti, F.; Fiorentini, G.; Cipriani, F.; Catena, M.; Paganelli, M.; Aldrighetti, L. Perihilar cholangiocarcinoma: Are we ready to step towards minimally invasiveness? Updates Surg. 2020, 72, 423–433. [Google Scholar] [CrossRef] [PubMed]
- Ravaioli, M.; Pinna, A.D.; Francioni, G.; Montorsi, M.; Veneroni, L.; Grazi, G.L.; Palini, G.M.; Gavazzi, F.; Stacchini, G.; Ridolfi, C.; et al. A partnership model between high- and low-volume hospitals to improve results in hepatobiliary pancreatic surgery. Ann. Surg. 2014, 260, 871–875. [Google Scholar] [CrossRef] [PubMed]
- Serenari, M.; Zanello, M.; Schadde, E.; Toschi, E.; Ratti, F.; Gringeri, E.; Masetti, M.; Cillo, U.; Aldrighetti, L.; Jovine, E.; et al. Importance of primary indication and liver function between stages: Results of a multicenter Italian audit of ALPPS 2012-2014. HPB (Oxford) 2016, 18, 419–427. [Google Scholar] [CrossRef] [PubMed]
- Langella, S.; Russolillo, N.; D’Eletto, M.; Forchino, F.; Lo Tesoriere, R.; Ferrero, A. Oncological safety of ultrasound-guided laparoscopic liver resection for colorectal metastases: A case-control study. Updates Surg. 2015, 67, 147–155. [Google Scholar] [CrossRef]
- De Cobelli, F.; Marra, P.; Ratti, F.; Ambrosi, A.; Colombo, M.; Damascelli, A.; Sallemi, C.; Gusmini, S.; Salvioni, M.; Diana, P.; et al. Microwave ablation of liver malignancies: Comparison of effects and early outcomes of percutaneous and intraoperative approaches with different liver conditions: New advances in interventional oncology: State of the art. Med. Oncol. 2017, 34, 49. [Google Scholar] [CrossRef]
- Puijk, R.S.; Ruarus, A.H.; Vroomen, L.G.P.H.; van Tilborg, A.A.J.M.; Scheffer, H.J.; Nielsen, K.; de Jong, M.C.; de Vries, J.J.J.; Zonderhuis, B.M.; Eker, H.H.; et al. Colorectal liver metastases: Surgery versus thermal ablation (COLLISION)-a phase III single-blind prospective randomized controlled trial. BMC Cancer 2018, 18, 821. [Google Scholar] [CrossRef] [PubMed]
- Ruers, T.; Van Coevorden, F.; Punt, C.J.; Pierie, J.E.; Borel-Rinkes, I.; Ledermann, J.A.; Poston, G.; Bechstein, W.; Lentz, M.A.; Mauer, M.; et al. Local Treatment of Unresectable Colorectal Liver Metastases: Results of a Randomized Phase II Trial. J. Natl. Cancer Inst. 2017, 109, djx015. [Google Scholar] [CrossRef]
- Mayo, S.C.; Pulitano, C.; Marques, H.; Lamelas, J.; Wolfgang, C.L.; de Saussure, W.; Choti, M.A.; Gindrat, I.; Aldrighetti, L.; Barrosso, E.; et al. Surgical management of patients with synchronous colorectal liver metastasis: A multicenter international analysis. J. Am. Coll. Surg. 2013, 216, 707–716. [Google Scholar] [CrossRef] [PubMed]
- Petrowsky, H.; Fritsch, R.; Guckenberger, M.; De Oliveira, M.L.; Dutkowski, P.; Clavien, P.A. Modern therapeutic approaches for the treatment of malignant liver tumours. Nat. Rev. Gastroenterol. Hepatol. 2020, 17, 755–772. [Google Scholar] [CrossRef]
- Adam, R.; Kitano, Y. Multidisciplinary approach of liver metastases from colorectal cancer. Ann. Gastroenterol. Surg. 2019, 3, 50–56. [Google Scholar] [CrossRef]
- Stewart, C.L.; Warner, S.; Ito, K.; Raoof, M.; Wu, G.X.; Kessler, J.; Kim, J.Y.; Fong, Y. Cytoreduction for colorectal metastases: Liver, lung, peritoneum, lymph nodes, bone, brain. When does it palliate, prolong survival, and potentially cure? Curr. Probl. Surg. 2018, 55, 330–379. [Google Scholar] [CrossRef]
- Rassam, F.; Olthof, P.B.; Bennink, R.J.; van Gulik, T.M. Current Modalities for the Assessment of Future Remnant Liver Function. Visc. Med. 2017, 33, 442–448. [Google Scholar] [CrossRef] [PubMed]
- Adam, R.; Laurent, A.; Azoulay, D.; Castaing, D.; Bismuth, H. Two-stage hepatectomy: A planned strategy to treat irresectable liver tumors. Ann. Surg. 2000, 232, 777–785. [Google Scholar] [CrossRef] [PubMed]
- Jaeck, D.; Oussoultzoglou, E.; Rosso, E.; Greget, M.; Weber, J.C.; Bachellier, P. A two-stage hepatectomy procedure combined with portal vein embolization to achieve curative resection for initially unresectable multiple and bilobar colorectal liver metastases. Ann. Surg. 2004, 240, 1037–1049. [Google Scholar] [CrossRef] [PubMed]
- Fretland, Å.A.; Dagenborg, V.J.; Bjørnelv, G.M.W.; Kazaryan, A.M.; Kristiansen, R.; Fagerland, M.W.; Hausken, J.; Tønnessen, T.I.; Abildgaard, A.; Barkhatov, L.; et al. Laparoscopic Versus Open Resection for Colorectal Liver Metastases: The OSLO-COMET Randomized Controlled Trial. Ann. Surg. 2018, 267, 199–207. [Google Scholar] [CrossRef]
- Aldrighetti, L.; Cipriani, F.; Fiorentini, G.; Catena, M.; Paganelli, M.; Ratti, F. A stepwise learning curve to define the standard for technical improvement in laparoscopic liver resections: Complexity-based analysis in 1032 procedures. Updates Surg. 2019, 71, 273–283. [Google Scholar] [CrossRef] [PubMed]
- Aubin, J.M.; Bressan, A.K.; Grondin, S.C.; Dixon, E.; MacLean, A.R.; Gregg, S.; Tang, P.; Kaplan, G.G.; Martel, G.; Ball, C.G. Assessing resectability of colorectal liver metastases: How do different subspecialties interpret the same data? Can. J. Surg. 2018, 61, 251–256. [Google Scholar] [CrossRef] [PubMed]




| Variables | Whole Series | Period 1 (2004–2009) | Period 2 (2010–2015) | Period 3 (2015–2020) | a vs. b | a vs. c | b vs. c | a vs. b vs. c | |
|---|---|---|---|---|---|---|---|---|---|
| 1212 | 293 | 353 | 566 | ||||||
| Age, median (range) | years | 60 (37–80) | 59 (32–80) | 62 (31–83) | 61 (26–89) | NS | NS | NS | NS |
| Gender, n (%) | NS | NS | NS | NS | |||||
| Male | 678 (55.9) | 166 (56.7) | 191 (54.1) | 321 (56.6) | |||||
| Female | 534 (44.1) | 127 (43.3) | 162 (45.9) | 245 (43.4) | |||||
| ASA Score, n (%) | NS | 0.05 | 0.04 | 0.04 | |||||
| I/II | 773 (63.8) | 197 (67.2) | 241 (68.3) | 335 (59.2) | |||||
| III/IV | 439 (36.2) | 96 (32.8) | 112 (31.7) | 231 (40.8) | |||||
| Neoadjuvant CT, n (%) | 970 (80) | 211 (72) | 299 (84.7) | 460 (81.2) | 0.03 | 0.04 | NS | 0.03 | |
| CT regimen, n (%) | 0.04 | NS | NS | 0.04 | |||||
| Oxaliplatin based | 583 (48.1) | 123 (42) | 171 (48.4) | 289 (51.1) | |||||
| Irinotecan based | 439 (36.2) | 76 (25.9) | 155 (43.9) | 208 (36.7) | |||||
| Associated biological therapy | 537 (44.3) | 89 (30.4) | 155 (43.9) | 293 (51.8) | 0.02 | 0.01 | 0.05 | 0.03 | |
| Number of CT cycles, median (range) | 6 (1–23) | 9 (1–16) | 7 (1–23) | 6 (3–19) | 0.04 | 0.03 | NS | 0.05 | |
| Associated comorbidites, n (%) | 582 (48) | 101 (34.5) | 167 (47.3) | 314 (55.5) | 0.03 | 0.04 | NS | 0.03 | |
| Features of non-tumorous parenchyma, n (%) | NS | 0.03 | NS | 0.04 | |||||
| Normal | 538 (44.4) | 95 (32.4) | 167 (47.3) | 276 (48.8) | |||||
| Steatosis | 252 (20.8) | 77 (26.3) | 50 (14.2) | 125 (22.1) | |||||
| CALI | 422 (34.8) | 121 (41.3) | 136 (38.5) | 165 (29.1) | |||||
| Primary tumor location, n (%) | NS | NS | NS | NS | |||||
| Right colon | 279 (23) | 81 (27.6) | 96 (27.2) | 102 (18) | |||||
| Left colon | 351 (29) | 94 (32.1) | 108 (30.6) | 149 (26.4) | |||||
| Rectum | 582 (48) | 118 (40.3) | 149 (42.2) | 315 (55.6) | |||||
| Staging, n (%) | NS | NS | NS | NS | |||||
| T1 | 47 (3.9) | 11 (3.8) | 18 (5.1) | 18 (3.2) | |||||
| T2 | 534 (44.1) | 127 (43.3) | 154 (43.6) | 253 (44.8) | |||||
| T3 | 530 (43.7) | 131 (44.7) | 145 (41.1) | 254 (44.8) | |||||
| T4 | 101 (8.3) | 24 (8.2) | 36 (10.2) | 41 (7.2) | |||||
| Grading, n (%) | NS | NS | NS | NS | |||||
| G1 | 96 (7.9) | 27 (9.2) | 31 (8.8) | 38 (6.7) | |||||
| G2 | 922 (76.1) | 201 (68.6) | 266 (75.4) | 455 (80.4) | |||||
| G3 | 194 (16) | 65 (22.2) | 56 (15.9) | 73 (12.9) | |||||
| Nodal status, n (%) | NS | NS | NS | NS | |||||
| N0 | 583 (48.1) | 141 (48.1) | 172 (48.7) | 270 (47.7) | |||||
| N1 | 488 (40.3) | 117 (39.9) | 134 (38) | 237 (41.9) | |||||
| N2 | 141 (11.6) | 35 (11.9) | 47 (13.3) | 59 (10.4) | |||||
| Presentation, n (%) | NS | 0.04 | 0.04 | 0.04 | |||||
| Synchronous | 446 (36.8) | 91 (31.1) | 117 (33.1) | 238 (42) | |||||
| Metachronous | 766 (63.2) | 202 (68.9) | 236 (66.9) | 328 (58) | |||||
| Number of liver lesions, median (range) | 3 (1–44) | 2 (1–12) | 2(1–44) | 3 (1–32) | NS | NS | NS | NS | |
| Nodularity, n (%) | NS | 0.02 | 0.01 | 0.02 | |||||
| Monofocal | 530 (43.7) | 162 (55.3) | 170 (48.2) | 198 (34.9) | |||||
| Multifocal | 682 (56.3) | 131 (44.7) | 183 (51.8) | 368 (65.1) | |||||
| Lobe distibution of metastases, n (%) | NS | 0.03 | 0.05 | 0.04 | |||||
| Unilobar | 630 (52) | 184 (62.8) | 191 (54.1) | 255 (45.1) | |||||
| Bilobar | 582 (48) | 109 (37.2) | 162 (45.9) | 311 (54.9) | |||||
| Redo liver surgery, n (%) | 378 (31.2) | 65 (22.2) | 105 (29.7) | 208 (36.8) | 0.04 | 0.01 | 0.04 | 0.03 | |
| Extrahepatic disease, n (%) | 133 (11) | 14 (4.8) | 30 (10.8) | 81 (14.3) | 0.04 | 0.01 | 0.03 | 0.03 | |
| Liver met diameter, median (range) | 2.9 (0.5–11) | 2.7 (0.5–9) | 2.9 (0.5–11) | 2.8 (0.5–13) | NS | NS | NS | NS | |
| Clinical Risk Score, median (range) | 3 (1–5) | 2 (1–5) | 3 (1–5) | 4 (1–5) | NS | 0.03 | NS | 0.05 | |
| CEA level, median (range) | 35.6 (2–299) | 31.9 (2–135) | 35.6 (2–276) | 44.5 (2–1045) | NS | NS | NS | NS | |
| Variables | Whole Series | Period 1 (2004–2009) | Period 2 (2010–2015) | Period 3 (2015–2020) | a vs. b | a vs. c | b vs. c | a vs. b vs. c | |
|---|---|---|---|---|---|---|---|---|---|
| 1212 | 293 | 353 | 566 | ||||||
| Extent of liver resection, n (%) | 0.01 | 0.01 | NS | 0.03 | |||||
| Major | 232 (19.1) | 108 (36.9) | 56 (15.9) | 68 (12) | |||||
| Minor | 980 (80.9) | 185 (63.1) | 297 (84.1) | 498 (88) | |||||
| Technique for liver hypertrophy, n (%) | 105 (8.7) | 33 (11.3) | 27 (7.6) | 45 (8) | NS | NS | NS | NS | |
| PVE alone | 11 (0.9) | 2 (0.7) | 4 (1.1) | 5 (0.9) | |||||
| Two stage | 76 (6.3) | 31 (10.6) | 20 (5.7) | 25 (4.4) | |||||
| ALPPS | 22 (1.8) | 0 | 7 (2.0) | 15 (2.7) | |||||
| Parenchymal sparing surgery, n (%) | 275 (22.7) | 52 (17.7) | 96 (27.2) | 127 (22.4) | 0.03 | 0.04 | NS | 0.04 | |
| Median difficulty | 8 (3–10) | 6 (3–10) | 7 (3–10) | 9 (3–10) | NS | 0.03 | 0.05 | 0.03 | |
| Laparoscopic approach, n (%) | 410 (33.8) | 23 (7.8) | 107 (30.3) | 332 (58.7) | 0.03 | 0.01 | 0.03 | 0.02 | |
| Conversion, n (%) | 47 (11.5) | 3 (13) | 13 (12.1) | 32 (9.6) | NS | NS | NS | NS | |
| Primary tumor resection, n (%) | 221 (18.2) | 56 (19.1) | 72 (20.4) | 93 (16.4) | NS | NS | NS | NS | |
| Intraoperative ablation, n (%) | 145 (12) | 21 (7.2) | 50 (14.2) | 74 (13.1) | 0.04 | 0.05 | NS | 0.04 | |
| Margin, n (%) | 0.03 | 0.05 | NS | 0.04 | |||||
| R0 | 1116 (92.1) | 280 (95.6) | 316 (89.5) | 520 (91.9) | |||||
| R1 | 96 (7.9) | 13 (4.4) | 37 (10.5) | 46 (8.1) | |||||
| Extrahepatic disease removal, n (%) | 62 (5.1) | 9 (3.1) | 17 (4.8) | 36 (6.4) | NS | 0.04 | 0.05 | 0.05 | |
| Peritoneal | 21 (1.7) | 3 (1.0) | 7 (2) | 11 (1.9) | |||||
| Nodal | 52 (4.3) | 7 (2.4) | 21 (5.9) | 24 (4.2) | |||||
| Pulmonary | 7 (0.6) | 1 (0.3) | 3 (0.8) | 4 (0.7) | |||||
| Variables | Whole Series | Period 1 (2004–2009) | Period 2 (2010–2015) | Period 3 (2015–2020) | a vs. b | a vs. c | b vs. c | a vs. b vs. c | |
|---|---|---|---|---|---|---|---|---|---|
| 1212 | 293 | 353 | 566 | ||||||
| Operating time, median (range) | Minutes | 240 (150–640) | 300 (220–640) | 220 (180–510) | 250 (150–590) | NS | NS | NS | NS |
| Blood loss, median (range) | mL | 280 (100–1600) | 400 (100–1200) | 250 (100–1400) | 300 (100–1600) | 0.04 | NS | NS | NS |
| Pringle maneuvre, n (%) | 1053 (86.9) | 261 (89.1) | 309 (87.5) | 483 (85.3) | NS | NS | NS | NS | |
| Length of Pringle manouevre, median (range) | Minutes | 40 (15–135) | 30 (10–110) | 55 (10–120) | 45 (10–135) | 0.04 | 0.05 | NS | 0.05 |
| Intraoperative blood transfusion, n (%) | 96 (7.9) | 21 (7.2) | 34 (9.6) | 41 (7.2) | NS | NS | NS | NS | |
| Depth of liver margin, median (range) | mm | 5 (0–11) | 9 (0–22) | 8 (0–19) | 4 (0–11) | NS | 0.02 | 0.04 | 0.03 |
| Time to first flatus, median (range) | days | 3 (2–6) | 3 (2–6) | 3 (2–6) | 3 (2–6) | NS | NS | NS | NS |
| Return to diet, median (range) | days | 1 (0–6) | 1 (0–5) | 1 (0–6) | 1 (0–4) | NS | NS | NS | NS |
| Morbidity, n (%) | 295 (24.3) | 75 (25.6) | 90 (25.4) | 130 (22.9) | NS | NS | NS | NS | |
| Minor Morbidity (Dindo-Clavien I–II) | 201 (16.6) | 55 (18.7) | 56 (15.9) | 90 (15.9) | NS | NS | NS | NS | |
| Major Morbidity (Dindo-Clavien III–V) | 94 (7.8) | 20 (6.8) | 34 (9.6) | 40 (7.1) | NS | NS | NS | NS | |
| Mortality, n (%) | 19 (1.6) | 5 (1.7) | 7 (1.9) | 7 (1.2) | NS | NS | NS | NS | |
| Postoperative transfusions, n (%) | 178 (14.7) | 51 (17.4) | 63 (17.8) | 64 (11.3) | NS | 0.04 | 0.05 | 0.05 | |
| Total transfusions, n (%) | 223 (18.4) | 61 (20.8) | 72 (20.4) | 90 (15.9) | NS | NS | NS | NS | |
| Lenght of postoperative stay, median (range) | days | 5 (1–49) | 6 (1–38) | 5 (1–49) | 5 (1–43) | NS | NS | NS | NS |
| Variables | Whole Series | Period 1 (2004–2009) | Period 2 (2010–2015) | Period 3 (2015–2020) | a vs. b | a vs. c | b vs. c | a vs. b vs. c | |
|---|---|---|---|---|---|---|---|---|---|
| 1212 | 293 | 353 | 566 | ||||||
| Death, n (%) | 315 (26) | 104 (35.5) | 108 (30.6) | 103 (18.2) | 0.01 | 0.01 | 0.01 | 0.01 | |
| Cause of death, n (%) | NS | NS | NS | NS | |||||
| Tumor progression | 308 (97.8) | 101 (97.1) | 106 (98.1) | 101 (98.1) | |||||
| Other | 7 (2.2) | 3 (2.9) | 2 (1.9) | 2 (1.9) | |||||
| Disease recurrence, n (%) | 612 (50.5) | 189 (64.5) | 207 (58.6) | 216 (38.2) | 0.01 | 0.01 | 0.01 | 0.01 | |
| Modality of recurrence, n (%) * | NS | NS | NS | NS | |||||
| Intrahepatic | 255 (41.7) | 86 (45.5) | 102 (49.3) | 67 (31) | |||||
| Extrahepatic | 156 (25.5) | 43 (22.8) | 36 (17.4) | 77 (35.6) | |||||
| Extrahepatic + intrahepatic | 201 (32.8) | 60 (31.7) | 69 (33.3) | 72 (33.3) | |||||
| Therapy of intrahepatic recurrence, n (%) ** | NS | NS | NS | NS | |||||
| Re-resection | 189 (41.4) | 71 (48.6) | 69 (40.4) | 49 (35.3) | |||||
| Local treatments | 49 (10.7) | 17 (11.6) | 18 (10.5) | 14 (10.1) | |||||
| Medical therapy | 237 (52) | 89 (61) | 76 (44.4) | 72 (51.8) | |||||
Publisher’s Note: MDPI stays neutral with regard to jurisdictional claims in published maps and institutional affiliations. |
© 2021 by the authors. Licensee MDPI, Basel, Switzerland. This article is an open access article distributed under the terms and conditions of the Creative Commons Attribution (CC BY) license (http://creativecommons.org/licenses/by/4.0/).
Share and Cite
Ratti, F.; Cipriani, F.; Fiorentini, G.; Burgio, V.; Ronzoni, M.; Della Corte, A.; Cascinu, S.; De Cobelli, F.; Aldrighetti, L. Evolution of Surgical Treatment of Colorectal Liver Metastases in the Real World: Single Center Experience in 1212 Cases. Cancers 2021, 13, 1178. https://doi.org/10.3390/cancers13051178
Ratti F, Cipriani F, Fiorentini G, Burgio V, Ronzoni M, Della Corte A, Cascinu S, De Cobelli F, Aldrighetti L. Evolution of Surgical Treatment of Colorectal Liver Metastases in the Real World: Single Center Experience in 1212 Cases. Cancers. 2021; 13(5):1178. https://doi.org/10.3390/cancers13051178
Chicago/Turabian StyleRatti, Francesca, Federica Cipriani, Guido Fiorentini, Valentina Burgio, Monica Ronzoni, Angelo Della Corte, Stefano Cascinu, Francesco De Cobelli, and Luca Aldrighetti. 2021. "Evolution of Surgical Treatment of Colorectal Liver Metastases in the Real World: Single Center Experience in 1212 Cases" Cancers 13, no. 5: 1178. https://doi.org/10.3390/cancers13051178
APA StyleRatti, F., Cipriani, F., Fiorentini, G., Burgio, V., Ronzoni, M., Della Corte, A., Cascinu, S., De Cobelli, F., & Aldrighetti, L. (2021). Evolution of Surgical Treatment of Colorectal Liver Metastases in the Real World: Single Center Experience in 1212 Cases. Cancers, 13(5), 1178. https://doi.org/10.3390/cancers13051178

