Activated Lymphocytes and Increased Risk of Dermatologic Adverse Events during Sorafenib Therapy for Hepatocellular Carcinoma
Abstract
Simple Summary
Abstract
1. Introduction
2. Results
2.1. Patients
2.2. The Increase of B Cell Population during Sorafenib Treatment Increases the Probability of Developing eDAEs
2.3. Lymphocytes Expressing DNAM-1 and PD-1 Are Significantly Associated with the Probability of Developing eDAEs, Both in Baseline and Time-Dependent Models
2.4. CD16, PD-1, and LAG-3 Are Co-Expressed in NK-Like CD3+ Cells and Correlate with eDAEs Development
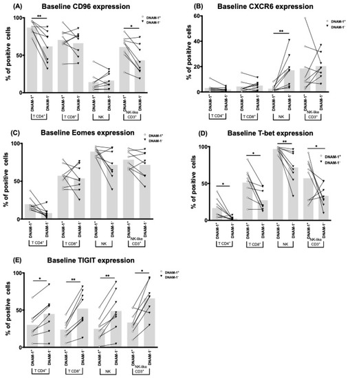
2.5. T DNAM-1+ Cells Have an Exhausted Phenotype Compared to DNAM-1− Counterparts; While NK DNAM-1+ Cells Have an Immune Activated Phenotype
2.6. CD96, an NK Inhibitory Checkpoint, Is Highly Expressed in T and NK-Like CD3+ Cells, But Not in Conventional NK Cells
2.7. T CD4+ DNAM-1+ Cells Present Higher Immune-Suppressive Ability Ex Vivo
3. Discussion
4. Materials and Methods
4.1. Patients
4.2. Blood Extraction
4.3. PBMCs Isolation
4.4. Flow Cytometry
4.5. Antibodies and Reagents
4.6. Cytokine Release Assay
4.7. Immune-Suppression Assay
4.8. Statistical Analysis
5. Conclusions
Supplementary Materials
Author Contributions
Funding
Institutional Review Board Statement
Informed Consent Statement
Data Availability Statement
Acknowledgments
Conflicts of Interest
References
- Forner, A.; Reig, M.; Bruix, J. Hepatocellular Carcinoma. Lancet 2018, 391, 1301–1314. [Google Scholar] [CrossRef]
- Mattiuzzi, C.; Lippi, G. Current Cancer Epidemiology. J. Epidemiol. Glob. Health 2019, 9, 217–222. [Google Scholar] [CrossRef] [PubMed]
- Golfieri, R.; Bargellini, I.; Spreafico, C.; Trevisani, F. Patients with Barcelona Clinic Liver Cancer Stages B and C Hepatocellular Carcinoma: Time for a Subclassification. Liver Cancer 2019, 8, 78–91. [Google Scholar] [CrossRef] [PubMed]
- Finn, R.S.; Qin, S.; Ikeda, M.; Galle, P.R.; Ducreux, M.; Kim, T.-Y.; Kudo, M.; Breder, V.; Merle, P.; Kaseb, A.O.; et al. Atezolizumab plus Bevacizumab in Unresectable Hepatocellular Carcinoma. N. Engl. J. Med. 2020, 382, 1894–1905. [Google Scholar] [CrossRef] [PubMed]
- Shrimali, R.K.; Yu, Z.; Theoret, M.R.; Chinnasamy, D.; Restifo, N.P.; Rosenberg, S.A. Antiangiogenic Agents Can Increase Lymphocyte Infiltration into Tumor and Enhance the Effectiveness of Adoptive Immunotherapy of Cancer. Cancer Res. 2010, 70, 6171–6180. [Google Scholar] [CrossRef]
- Wang, Q.; Yu, T.; Yuan, Y.; Zhuang, H.; Wang, Z.; Liu, X.; Feng, M. Sorafenib Reduces Hepatic Infiltrated Regulatory T Cells in Hepatocellular Carcinoma Patients by Suppressing TGF-Beta Signal. J. Surg. Oncol. 2013, 107, 422–427. [Google Scholar] [CrossRef]
- Zhao, W.; Gu, Y.H.; Song, R.; Qu, B.Q.; Xu, Q. Sorafenib Inhibits Activation of Human Peripheral Blood T Cells by Targeting LCK Phosphorylation. Leukemia 2008, 22, 1226–1233. [Google Scholar] [CrossRef]
- Kohga, K.; Takehara, T.; Tatsumi, T.; Ishida, H.; Miyagi, T.; Hosui, A.; Hayashi, N. Sorafenib Inhibits the Shedding of Major Histocompatibility Complex Class I-Related Chain A on Hepatocellular Carcinoma Cells by down-Regulating a Disintegrin and Metalloproteinase 9. Hepatology 2010, 51, 1264–1273. [Google Scholar] [CrossRef]
- Reig, M.; Torres, F.; Rodriguez-Lope, C.; Forner, A.; LLarch, N.; Rimola, J.; Darnell, A.; Ríos, J.; Ayuso, C.; Bruix, J. Early Dermatologic Adverse Events Predict Better Outcome in HCC Patients Treated with Sorafenib. J. Hepatol. 2014, 61, 318–324. [Google Scholar] [CrossRef]
- Díaz-González, Á.; Sanduzzi-Zamparelli, M.; Sapena, V.; Torres, F.; LLarch, N.; Iserte, G.; Forner, A.; da Fonseca, L.; Ríos, J.; Bruix, J.; et al. Systematic Review with Meta-Analysis: The Critical Role of Dermatological Events in Patients with Hepatocellular Carcinoma Treated with Sorafenib. Aliment. Pharmacol. Ther. 2019, 49, 482–491. [Google Scholar] [CrossRef]
- Rimola, J.; Díaz-González, Á.; Darnell, A.; Varela, M.; Pons, F.; Hernandez-Guerra, M.; Delgado, M.; Castroagudin, J.; Matilla, A.; Sangro, B.; et al. Complete Response under Sorafenib in Patients with Hepatocellular Carcinoma: Relationship with Dermatologic Adverse Events. Hepatology 2018, 67, 612–622. [Google Scholar] [CrossRef] [PubMed]
- Bruix, J.; Merle, P.; Granito, A.; Huang, Y.-H.; Bodoky, G.; Yokosuka, O.; Rosmorduc, O.; Breder, V.V.; Gerolami, R.; Masi, G.; et al. Hand-Foot Skin Reaction (HFSR) and Overall Survival (OS) in the Phase 3 RESORCE Trial of Regorafenib for Treatment of Hepatocellular Carcinoma (HCC) Progressing on Sorafenib. J. Clin. Oncol. 2018, 36, 412. [Google Scholar] [CrossRef]
- Zhou, X.; Yao, Z.; Yang, H.; Liang, N.; Zhang, X.; Zhang, F. Are Immune-Related Adverse Events Associated with the Efficacy of Immune Checkpoint Inhibitors in Patients with Cancer? A Systematic Review and Meta-Analysis. BMC Med. 2020, 18, 87. [Google Scholar] [CrossRef] [PubMed]
- Bottlaender, L.; Amini-Adle, M.; Maucort-Boulch, D.; Robinson, P.; Thomas, L.; Dalle, S. Cutaneous Adverse Events: A Predictor of Tumour Response under Anti-PD-1 Therapy for Metastatic Melanoma, a Cohort Analysis of 189 Patients. J. Eur. Acad. Dermatol. Venereol. 2020. [Google Scholar] [CrossRef] [PubMed]
- Rkman, D.; Likić, R.; Bebek, M.; Gnjidić, M.; Gamulin, M. Skin Autoimmunity Might Be Associated with Increased Efficacy of Atezolizumab in Metastatic Urothelial Carcinoma: A Case Report. Croat. Med. J. 2019, 60, 552–555. [Google Scholar] [CrossRef]
- Pardoll, D.M. The Blockade of Immune Checkpoints in Cancer Immunotherapy. Nat. Rev. Cancer 2012, 12, 252–264. [Google Scholar] [CrossRef]
- Ventola, C.L. Cancer Immunotherapy, Part 1: Current Strategies and Agents. Pharm. Ther. 2017, 42, 375–383. [Google Scholar]
- Vaddepally, R.K.; Kharel, P.; Pandey, R.; Garje, R.; Chandra, A.B. Review of Indications of FDA-Approved Immune Checkpoint Inhibitors per NCCN Guidelines with the Level of Evidence. Cancers 2020, 12, 738. [Google Scholar] [CrossRef]
- Anderson, A.C.; Joller, N.; Kuchroo, V.K. Lag-3, Tim-3, and TIGIT: Co-Inhibitory Receptors with Specialized Functions in Immune Regulation. Immunity 2016, 44, 989–1004. [Google Scholar] [CrossRef]
- Souza-Fonseca-Guimaraes, F.; Cursons, J.; Huntington, N.D. The Emergence of Natural Killer Cells as a Major Target in Cancer Immunotherapy. Trends Immunol. 2019, 40, 142–158. [Google Scholar] [CrossRef]
- Bryceson, Y.T.; March, M.E.; Ljunggren, H.-G.; Long, E.O. Activation, Coactivation, and Costimulation of Resting Human Natural Killer Cells. Immunol. Rev. 2006, 214, 73–91. [Google Scholar] [CrossRef] [PubMed]
- Dougall, W.C.; Kurtulus, S.; Smyth, M.J.; Anderson, A.C. TIGIT and CD96: New Checkpoint Receptor Targets for Cancer Immunotherapy. Immunol. Rev. 2017, 276, 112–120. [Google Scholar] [CrossRef] [PubMed]
- Chan, C.J.; Martinet, L.; Gilfillan, S.; Souza-Fonseca-Guimaraes, F.; Chow, M.T.; Town, L.; Ritchie, D.S.; Colonna, M.; Andrews, D.M.; Smyth, M.J. The Receptors CD96 and CD226 Oppose Each Other in the Regulation of Natural Killer Cell Functions. Nat. Immunol. 2014, 15, 431–438. [Google Scholar] [CrossRef] [PubMed]
- Zhang, H.; Vijayan, D.; Li, X.-Y.; Robson, S.C.; Geetha, N.; Teng, M.W.L.; Smyth, M.J. The Role of NK Cells and CD39 in the Immunological Control of Tumor Metastases. Oncoimmunology 2019, 8, e1593809. [Google Scholar] [CrossRef] [PubMed]
- Simoni, Y.; Fehlings, M.; Kløverpris, H.N.; McGovern, N.; Koo, S.-L.; Loh, C.Y.; Lim, S.; Kurioka, A.; Fergusson, J.R.; Tang, C.-L.; et al. Human Innate Lymphoid Cell Subsets Possess Tissue-Type Based Heterogeneity in Phenotype and Frequency. Immunity 2017, 46, 148–161. [Google Scholar] [CrossRef]
- Park, S.L.; Gebhardt, T.; Mackay, L.K. Tissue-Resident Memory T Cells in Cancer Immunosurveillance. Trends Immunol. 2019, 40, 735–747. [Google Scholar] [CrossRef]
- Pesce, S.; Greppi, M.; Grossi, F.; Del Zotto, G.; Moretta, L.; Sivori, S.; Genova, C.; Marcenaro, E. PD/1-PD-Ls Checkpoint: Insight on the Potential Role of NK Cells. Front. Immunol. 2019, 10, 1242. [Google Scholar] [CrossRef]
- He, W.; Zhang, H.; Han, F.; Chen, X.; Lin, R.; Wang, W.; Qiu, H.; Zhuang, Z.; Liao, Q.; Zhang, W.; et al. CD155T/TIGIT Signaling Regulates CD8+ T-Cell Metabolism and Promotes Tumor Progression in Human Gastric Cancer. Cancer Res. 2017, 77, 6375–6388. [Google Scholar] [CrossRef]
- Knox, J.J.; Cosma, G.L.; Betts, M.R.; McLane, L.M. Characterization of T-Bet and Eomes in Peripheral Human Immune Cells. Front. Immunol. 2014, 5, 217. [Google Scholar] [CrossRef]
- Popescu, I.; Pipeling, M.R.; Shah, P.D.; Orens, J.B.; McDyer, J.F. T-Bet:Eomes Balance, Effector Function, and Proliferation of Cytomegalovirus-Specific CD8+ T Cells during Primary Infection Differentiates the Capacity for Durable Immune Control. J. Immunol. 2014, 193, 5709–5722. [Google Scholar] [CrossRef]
- Li, G.; Yang, Q.; Zhu, Y.; Wang, H.-R.; Chen, X.; Zhang, X.; Lu, B. T-Bet and Eomes Regulate the Balance between the Effector/Central Memory T Cells versus Memory Stem Like T Cells. PLoS ONE 2013, 8, e67401. [Google Scholar] [CrossRef]
- Gordon, S.M.; Chaix, J.; Rupp, L.J.; Wu, J.; Madera, S.; Sun, J.C.; Lindsten, T.; Reiner, S.L. The Transcription Factors T-Bet and Eomes Control Key Checkpoints of Natural Killer Cell Maturation. Immunity 2012, 36, 55–67. [Google Scholar] [CrossRef] [PubMed]
- Cibrián, D.; Sánchez-Madrid, F. CD69: From Activation Marker to Metabolic Gatekeeper. Eur. J. Immunol. 2017, 47, 946–953. [Google Scholar] [CrossRef] [PubMed]
- Barata, J.T.; Durum, S.K.; Seddon, B. Flip the Coin: IL-7 and IL-7R in Health and Disease. Nat. Immunol. 2019, 20, 1584–1593. [Google Scholar] [CrossRef] [PubMed]
- Xiong, P.; Sang, H.-W.; Zhu, M. Critical Roles of Co-Activation Receptor DNAX Accessory Molecule-1 in Natural Killer Cell Immunity. Immunology 2015, 146, 369–378. [Google Scholar] [CrossRef][Green Version]
- Martinet, L.; Smyth, M.J. Balancing Natural Killer Cell Activation through Paired Receptors. Nat. Rev. Immunol. 2015, 15, 243–254. [Google Scholar] [CrossRef]
- Ramsbottom, K.M.; Hawkins, E.D.; Shimoni, R.; McGrath, M.; Chan, C.J.; Russell, S.M.; Smyth, M.J.; Oliaro, J. Cutting Edge: DNAX Accessory Molecule 1–Deficient CD8+ T Cells Display Immunological Synapse Defects That Impair Antitumor Immunity. J. Immunol. 2014, 192, 553–557. [Google Scholar] [CrossRef]
- Cai, X.-Y.; Ni, X.-C.; Yi, Y.; He, H.-W.; Wang, J.-X.; Fu, Y.-P.; Sun, J.; Zhou, J.; Cheng, Y.-F.; Jin, J.-J.; et al. Overexpression of CD39 in Hepatocellular Carcinoma Is an Independent Indicator of Poor Outcome after Radical Resection. Medicine 2016, 95, e4989. [Google Scholar] [CrossRef]
- Ma, J.; Zheng, B.; Goswami, S.; Meng, L.; Zhang, D.; Cao, C.; Li, T.; Zhu, F.; Ma, L.; Zhang, Z.; et al. PD1Hi CD8+ T Cells Correlate with Exhausted Signature and Poor Clinical Outcome in Hepatocellular Carcinoma. J. Immunother. Cancer 2019, 7, 331. [Google Scholar] [CrossRef]
- Guo, M.; Yuan, F.; Qi, F.; Sun, J.; Rao, Q.; Zhao, Z.; Huang, P.; Fang, T.; Yang, B.; Xia, J. Expression and Clinical Significance of LAG-3, FGL1, PD-L1 and CD8+T Cells in Hepatocellular Carcinoma Using Multiplex Quantitative Analysis. J. Transl. Med. 2020, 18, 306. [Google Scholar] [CrossRef]
- Hu, J.; Wang, E.; Liu, L.; Wang, Q.; Xia, D.; Bai, W.; Tie, J.; Li, X.; Yuan, J.; Yang, S.; et al. Sorafenib May Enhance Antitumour Efficacy in Hepatocellular Carcinoma Patients by Modulating the Proportions and Functions of Natural Killer Cells. Investig. New Drugs 2019. [Google Scholar] [CrossRef] [PubMed]
- Gros, A.; Robbins, P.F.; Yao, X.; Li, Y.F.; Turcotte, S.; Tran, E.; Wunderlich, J.R.; Mixon, A.; Farid, S.; Dudley, M.E.; et al. PD-1 Identifies the Patient-Specific CD8+ Tumor-Reactive Repertoire Infiltrating Human Tumors. J. Clin. Investig. 2014, 124, 2246–2259. [Google Scholar] [CrossRef] [PubMed]
- Donia, M.; Kjeldsen, J.W.; Andersen, R.; Westergaard, M.C.W.; Bianchi, V.; Legut, M.; Attaf, M.; Szomolay, B.; Ott, S.; Dolton, G.; et al. PD-1+ Polyfunctional T Cells Dominate the Periphery after Tumor-Infiltrating Lymphocyte Therapy for Cancer. Clin. Cancer Res. 2017, 23, 5779–5788. [Google Scholar] [CrossRef] [PubMed]
- Hsu, J.; Hodgins, J.J.; Marathe, M.; Nicolai, C.J.; Bourgeois-Daigneault, M.-C.; Trevino, T.N.; Azimi, C.S.; Scheer, A.K.; Randolph, H.E.; Thompson, T.W.; et al. Contribution of NK Cells to Immunotherapy Mediated by PD-1/PD-L1 Blockade. J. Clin. Investig. 2018, 128, 4654–4668. [Google Scholar] [CrossRef] [PubMed]
- Kučan Brlić, P.; Lenac Roviš, T.; Cinamon, G.; Tsukerman, P.; Mandelboim, O.; Jonjić, S. Targeting PVR (CD155) and Its Receptors in Anti-Tumor Therapy. Cell. Mol. Immunol. 2019, 16, 40–52. [Google Scholar] [CrossRef]
- Wang, P.L.; O’Farrell, S.; Clayberger, C.; Krensky, A.M. Identification and Molecular Cloning of Tactile. A Novel Human T Cell Activation Antigen That Is a Member of the Ig Gene Superfamily. J. Immunol. 1992, 148, 2600–2608. [Google Scholar]
- Lepletier, A.; Lutzky, V.P.; Mittal, D.; Stannard, K.; Watkins, T.S.; Ratnatunga, C.N.; Smith, C.; McGuire, H.M.; Kemp, R.A.; Mukhopadhyay, P.; et al. The Immune Checkpoint CD96 Defines a Distinct Lymphocyte Phenotype and Is Highly Expressed on Tumor-Infiltrating T Cells. Immunol. Cell Biol. 2019, 97, 152–164. [Google Scholar] [CrossRef]
- Sun, H.; Huang, Q.; Huang, M.; Wen, H.; Lin, R.; Zheng, M.; Qu, K.; Li, K.; Wei, H.; Xiao, W.; et al. Human CD96 Correlates to Natural Killer Cell Exhaustion and Predicts the Prognosis of Human Hepatocellular Carcinoma. Hepatology 2019, 70, 168–183. [Google Scholar] [CrossRef]
- Chauvin, J.-M.; Pagliano, O.; Fourcade, J.; Sun, Z.; Wang, H.; Sander, C.; Kirkwood, J.M.; Chen, T.T.; Maurer, M.; Korman, A.J.; et al. TIGIT and PD-1 Impair Tumor Antigen-Specific CD8+ T Cells in Melanoma Patients. J. Clin. Investig. 2015, 125, 2046–2058. [Google Scholar] [CrossRef]
- Peng, Y.-P.; Xi, C.-H.; Zhu, Y.; Yin, L.-D.; Wei, J.-S.; Zhang, J.-J.; Liu, X.-C.; Guo, S.; Fu, Y.; Miao, Y. Altered Expression of CD226 and CD96 on Natural Killer Cells in Patients with Pancreatic Cancer. Oncotarget 2016, 7, 66586–66594. [Google Scholar] [CrossRef]
- Support Protocols|BD Biosciences-US. Available online: https://www.bdbiosciences.com/us/resources/s/cellsurface (accessed on 8 September 2020).
- BestProtocols: Staining Intracellular Antigens for Flow Cytometry-ES. Available online: //www.thermofisher.com/es/es/home/references/protocols/cell-and-tissue-analysis/protocols/staining-intracellular-antigens-flow-cytometry.html (accessed on 8 September 2020).







| Patients | N = 52 |
|---|---|
| Age (Years), median [IQR] | 64.34 (56.6–71.9) |
| Gender (males), n (%) | 44 (84.6) |
| Arterial Hypertension (Yes), n (%) | 28 (53.9) |
| Diabetes (Yes), n (%) | 21 (40.4) |
| Child-Pugh Score (non-Cirrhotic * or A/B) | 45 (86.5)/7 (13.5) |
| Aetiology, n (%) | |
| HCV | 13 (25) |
| Alcohol | 14 (26.9) |
| HBV | 3 (5.8) |
| NASH | 4 (7.7) |
| More than one of previous aetiologies | 9 (17.3) |
| Others | 6 (11.5) |
| Not applicable | 3 (5.8) |
| Previous HCC treatment, n (%) | |
| Liver transplant | 3 (5.8) |
| Surgery | 2 (3.9) |
| Percutaneous | 2 (3.9) |
| Sequential | 9 (17.3) |
| TACE | 13 (25) |
| No previous treatment | 23 (44.2) |
| Ascites (Yes), n (%) | 7 (13.5) |
| Encephalopathy (No), n (%) | 52 (100) |
| BCLC stage (B/C), n (%) | 22 (43.3)/30 (57.7) |
| Vascular Invasion (Yes), n (%) | 20 (38.5) |
| ECOG-PS (0/1), n (%) | 50 (96.1)/2 (3.9) |
| Alpha-fetoprotein (ng/dL), median [IQR] | 17 (8–292) |
| Extra-hepatic spread (Yes), n (%) | 22 (42.3) |
| Haemoglobin (g/L), median [IQR] | 13.1 (12.1–14.4) |
| Prothrombin time (%), median [IQR] | 79 (68–90) |
| Total bilirubin (mg/dL), median [IQR] | 0.9 (0.6–1.4) |
| Conjugated bilirubin (mg/dL), median [IQR] | 0.4 (0.3–0.6) |
| ALT (IU/L), median [IQR] | 44 (29–68) |
| AST (UI/L), median [IQR] | 54.5 (38–85) |
| Alkaline phosphatase (IU/L), median [IQR] | 151 (102–193) |
| GGT (IU/L), median [IQR] | 167 (99–265) |
| Albumin (g/L), median [IQR] | 40 (34–43) |
| Follow-up (months), median [IQR] | 9.6 (3.9–19.2) |
| Treatment time (months), median [IQR] | 5.1 (2.5–9.6) |
| Overall survival (months), median (95% CI) | 26.4 (10.7–42.2) |
| eDAEs (Yes), n (%) | 16 (30.8) |
| Overall survival eDAEs (months), median (95% CI) | 26.4 (17.4–35.5) |
| Overall survival non-eDAEs (months), median (95% CI) | 16.4 (6.6–NE) |
| Decompensation (Yes), n (%) | 11 (21.2) |
| Exitus (Yes), n (%) | 20 (38.5) |
| Lymphocyte Population | Baseline Adjusting Co-Factors | HR (95% CI) | p-Value |
|---|---|---|---|
| B cell | none | 1.06 (1–1.11) | 0.044 |
| BCLC stage | 1.06 (1–1.12) | 0.049 | |
| ECOG-PS | 1.06 (1–1.11) | 0.051 | |
| Child-Pugh Score | 1.05 (1–1.11) | 0.06 | |
| BCLC stage|ECOG-PS | 1.06 (1–1.12) | 0.06 | |
| BCLC stage|Child-Pugh Score | 1.05 (1–1.11) | 0.06 | |
| NK | none | 0.91 (0.83–1.01) | 0.06 |
| BCLC stage | 0.91 (0.83–1) | 0.06 | |
| Child-Pugh Score | 0.92 (0.84–1.01) | 0.07 | |
| ECOG-PS | 0.92 (0.83–1.01) | 0.07 | |
| BCLC stage|ECOG-PS | 0.92 (0.83–1.01) | 0.07 | |
| BCLC stage|Child-Pugh Score | 0.91 (0.83–1) | 0.055 |
| Model | Lymphocyte Population | Baseline Adjusting Co-Factors | HR (95% CI) | p-Value |
|---|---|---|---|---|
| Baseline values | T CD4+ DNAM-1+ | BCLC Stage|Child-Pugh Score|ECOG-PS | 0.94 (0.89–0.99) | 0.01 |
| T CD8+ DNAM-1+ | BCLC Stage|Child-Pugh Score|ECOG-PS | 0.94 (0.9–0.99) | 0.02 | |
| T DNAM-1+ | BCLC Stage|Child-Pugh Score|ECOG-PS | 0.92 (0.87–0.97) | 0.003 | |
| NK CD56+bright PD-1+ | BCLC Stage|Child-Pugh Score|ECOG-PS | 0.47 (0.22–0.99) | 0.05 | |
| T CD8+ CD69+ | BCLC Stage | 1.07 (1–1.14) | 0.047 | |
| T CD8+ CD69+ | Child-Pugh Score | 1.07 (1–1.14) | 0.03 | |
| T CD8+ CD69+ | ECOG-PS | 1.07 (1–1.14) | 0.04 | |
| Time-dependent values | T CD4+ DNAM-1+ | BCLC Stage|Child-Pugh Score|ECOG-PS | 0.94 (0.9–0.98) | 0.01 |
| T CD8+ DNAM-1+ | BCLC Stage|Child-Pugh Score|ECOG-PS | 0.94 (0.9–0.99) | 0.02 | |
| T DNAM-1+ | BCLC Stage|Child-Pugh Score|ECOG-PS | 0.93 (0.89–0.97) | 0.002 | |
| NK CD56+bright DNAM-1+ | BCLC Stage|Child-Pugh Score|ECOG-PS | 0.91 (0.85–0.96) | 0.002 | |
| NK CD56+bright PD-1+ | BCLC Stage|Child-Pugh Score|ECOG-PS | 0.57 (0.33–0.99) | 0.047 | |
| T CD4+ PD-1+ | BCLC Stage|ECOG-PS | 0.9 (0.82–0.99) | 0.04 | |
| NK-like CD3+ CD16+ | BCLC Stage|Child-Pugh Score|ECOG-PS | 1.05 (1–1.08) | 0.02 | |
| NK-like CD3+ LAG-3 MFI | BCLC Stage|Child-Pugh Score|ECOG-PS | 1.06 (1–1.11) | 0.05 | |
| NK-like CD3+ PD-1 MFI | BCLC Stage|Child-Pugh Score|ECOG-PS | 2.11 (1.12–3.95) | 0.02 |
| Cell Marker | eDAEs (Yes/No) | LAG-3 MFI | PD-1 MFI |
|---|---|---|---|
| CD16+ | yes $ no & | r = 0.51 (p = 0.1) r = −0.16 (p = 0.4) | r = 0.62 (p = 0.04) r = −0.15 (p = 0.4) |
| LAG-3 MFI | yes $ no & | - - | r = 0.86 (p < 0.001) r = 0.16 (p = 0.4) |
Publisher’s Note: MDPI stays neutral with regard to jurisdictional claims in published maps and institutional affiliations. |
© 2021 by the authors. Licensee MDPI, Basel, Switzerland. This article is an open access article distributed under the terms and conditions of the Creative Commons Attribution (CC BY) license (http://creativecommons.org/licenses/by/4.0/).
Share and Cite
Corominas, J.; Sapena, V.; Sanduzzi-Zamparelli, M.; Millán, C.; Samper, E.; Llarch, N.; Iserte, G.; Torres, F.; Da Fonseca, L.G.; Muñoz-Martínez, S.; et al. Activated Lymphocytes and Increased Risk of Dermatologic Adverse Events during Sorafenib Therapy for Hepatocellular Carcinoma. Cancers 2021, 13, 426. https://doi.org/10.3390/cancers13030426
Corominas J, Sapena V, Sanduzzi-Zamparelli M, Millán C, Samper E, Llarch N, Iserte G, Torres F, Da Fonseca LG, Muñoz-Martínez S, et al. Activated Lymphocytes and Increased Risk of Dermatologic Adverse Events during Sorafenib Therapy for Hepatocellular Carcinoma. Cancers. 2021; 13(3):426. https://doi.org/10.3390/cancers13030426
Chicago/Turabian StyleCorominas, Josep, Victor Sapena, Marco Sanduzzi-Zamparelli, Cristina Millán, Esther Samper, Neus Llarch, Gemma Iserte, Ferràn Torres, Leonardo G. Da Fonseca, Sergio Muñoz-Martínez, and et al. 2021. "Activated Lymphocytes and Increased Risk of Dermatologic Adverse Events during Sorafenib Therapy for Hepatocellular Carcinoma" Cancers 13, no. 3: 426. https://doi.org/10.3390/cancers13030426
APA StyleCorominas, J., Sapena, V., Sanduzzi-Zamparelli, M., Millán, C., Samper, E., Llarch, N., Iserte, G., Torres, F., Da Fonseca, L. G., Muñoz-Martínez, S., Forner, A., Bruix, J., Boix, L., & Reig, M. (2021). Activated Lymphocytes and Increased Risk of Dermatologic Adverse Events during Sorafenib Therapy for Hepatocellular Carcinoma. Cancers, 13(3), 426. https://doi.org/10.3390/cancers13030426

