The Role of Patient- and Treatment-Related Factors and Early Functional Imaging in Late Radiation-Induced Xerostomia in Oropharyngeal Cancer Patients
Abstract
:Simple Summary
Abstract
1. Introduction
2. Materials and Methods
2.1. Patient Population and Treatment
2.2. MRI Protocol
2.3. Anatomical and Functional MRI Quantification
2.4. Xerostomia Evaluation
2.5. Statistics
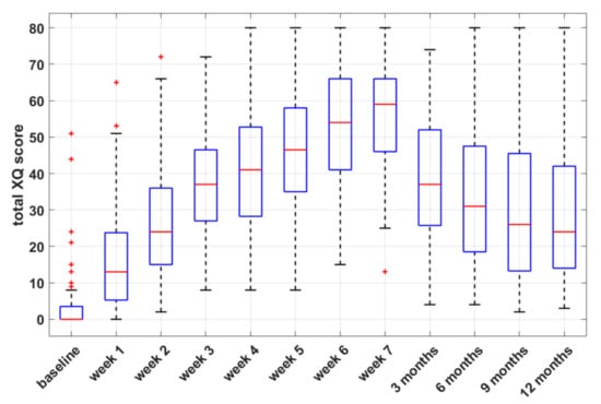
3. Results
3.1. Dose-Volume Points and Xerostomia
3.2. Prediction Models of Xerostomia
3.3. Illustrative Cases
4. Discussion
5. Conclusions
Supplementary Materials
Author Contributions
Funding
Institutional Review Board Statement
Informed Consent Statement
Data Availability Statement
Conflicts of Interest
References
- Jaguar, G.C.; Prado, J.D.; Campanhã, D.; Alves, F.A. Clinical features and preventive therapies of radiation-induced xerostomia in head and neck cancer patient: A literature review. Appl. Cancer Res. 2017, 37, 31. [Google Scholar] [CrossRef] [Green Version]
- Wang, X.; Eisbruch, A. IMRT for head and neck cancer: Reducing xerostomia and dysphagia. J. Radiat. Res. 2016, 57, i69–i75. [Google Scholar] [CrossRef] [PubMed] [Green Version]
- Strojan, P.; Hutcheson, K.; Eisbruch, A.; Beitler, J.J.; Langendijk, J.A.; Lee, A.W.; Corry, J.; Mendenhall, W.M.; Smee, R.; Rinaldo, A.; et al. Treatment of late sequelae after radiotherapy for head and neck cancer. Cancer Treat. Rev. 2017, 59, 79–92. [Google Scholar] [CrossRef] [PubMed] [Green Version]
- Sharan, K.; Bandlamudi, B.; Yathiraj, P.; Singh, A.; Reddy, A.; Fernandes, D.; Srinivasa, V. A study on the impact of patient-related parameters in the ability to spare parotid glands by intensity-modulated radiotherapy for head and neck squamous cell carcinomas. J. Cancer Res. Ther. 2018, 14, 1220–1224. [Google Scholar] [CrossRef] [PubMed]
- Onjukka, E.; Mercke, C.; Björgvinsson, E.; Embring, A.; Berglund, A.; Von Döbeln, G.A.; Friesland, S.; Gagliardi, G.; Helleday, C.L.; Sjödin, H.; et al. Modeling of Xerostomia After Radiotherapy for Head and Neck Cancer: A Registry Study. Front. Oncol. 2020, 10, 1647. [Google Scholar] [CrossRef]
- Deasy, J.O.; Moiseenko, V.; Marks, L.; Chao, K.C.; Nam, J.; Eisbruch, A. Radiotherapy Dose–Volume Effects on Salivary Gland Function. Int. J. Radiat. Oncol. Biol. Phys. 2010, 76, S58–S63. [Google Scholar] [CrossRef] [PubMed] [Green Version]
- Wu, V.W.C.; Leung, K.Y. A Review on the Assessment of Radiation Induced Salivary Gland Damage After Radiotherapy. Front. Oncol. 2019, 9, 1090. [Google Scholar] [CrossRef] [PubMed] [Green Version]
- Hawkins, P.G.; Lee, J.; Mao, Y.; Li, P.; Green, M.; Worden, F.P.; Swiecicki, P.L.; Mierzwa, M.L.; Spector, M.E.; Schipper, M.J.; et al. Sparing all salivary glands with IMRT for head and neck cancer: Longitudinal study of patient-reported xerostomia and head-and-neck quality of life. Radiother. Oncol. 2018, 126, 68–74. [Google Scholar] [CrossRef]
- van Dijk, L.V.; Thor, M.; Steenbakkers, R.J.; Apte, A.; Zhai, T.-T.; Borra, R.; Noordzij, W.; Estilo, C.; Lee, N.; Langendijk, J.A.; et al. Parotid gland fat related Magnetic Resonance image biomarkers improve prediction of late radiation-induced xerostomia. Radiother. Oncol. 2018, 128, 459–466. [Google Scholar] [CrossRef]
- van Dijk, L.V.; Brouwer, C.L.; van der Schaaf, A.; Burgerhof, J.G.; Beukinga, R.J.; Langendijk, J.A.; Sijtsema, N.M.; Steenbakkers, R.J. CT image biomarkers to improve patient-specific prediction of radiation-induced xerostomia and sticky saliva. Radiother. Oncol. 2017, 122, 185–191. [Google Scholar] [CrossRef] [PubMed] [Green Version]
- Gabryś, H.S.; Buettner, F.; Sterzing, F.; Hauswald, H.; Bangert, M. Design and Selection of Machine Learning Methods Using Radiomics and Dosiomics for Normal Tissue Complication Probability Modeling of Xerostomia. Front. Oncol. 2018, 8, 35. [Google Scholar] [CrossRef] [PubMed]
- Jasmer, K.J.; Gilman, K.E.; Forti, K.M.; Weisman, G.A.; Limesand, K.H. Radiation-Induced Salivary Gland Dysfunction: Mechanisms, Therapeutics and Future Directions. J. Clin. Med. 2020, 9, 4095. [Google Scholar] [CrossRef] [PubMed]
- Caudell, J.J.; Torres-Roca, J.F.; Gillies, R.J.; Enderling, H.; Kim, S.; Rishi, A.; Moros, E.G.; Harrison, L.B. The future of personalised radiotherapy for head and neck cancer. Lancet Oncol. 2017, 18, e266–e273. [Google Scholar] [CrossRef]
- Wong, K.H.; Panek, R.; Bhide, S.A.; Nutting, C.M.; Harrington, K.J.; Newbold, K.L. The emerging potential of magnetic resonance imaging in personalizing radiotherapy for head and neck cancer: An oncologist’s perspective. Br. J. Radiol. 2017, 90, 20160768. [Google Scholar] [CrossRef] [PubMed] [Green Version]
- Desideri, I.; Loi, M.; Francolini, G.; Becherini, C.; Livi, L.; Bonomo, P. Application of Radiomics for the Prediction of Radiation-Induced Toxicity in the IMRT Era: Current State-of-the-Art. Front. Oncol. 2020, 10, 1708. [Google Scholar] [CrossRef]
- Han, P.; Lakshminarayanan, P.; Jiang, W.; Shpitser, I.; Hui, X.; Lee, S.H.; Cheng, Z.; Guo, Y.; Taylor, R.H.; Siddiqui, S.A.; et al. Dose/Volume histogram patterns in Salivary Gland subvolumes influence xerostomia injury and recovery. Sci. Rep. 2019, 9, 3616. [Google Scholar] [CrossRef] [PubMed]
- Nakatsugawa, M.; Cheng, Z.; Kiess, A.; Choflet, A.; Bowers, M.; Utsunomiya, K.; Sugiyama, S.; Wong, J.; Quon, H.; McNutt, T. The Needs and Benefits of Continuous Model Updates on the Accuracy of RT-Induced Toxicity Prediction Models Within a Learning Health System. Int. J. Radiat. Oncol. Biol. Phys. 2019, 103, 460–467. [Google Scholar] [CrossRef] [PubMed]
- van Houdt, P.J.; Yang, Y.; van der Heide, U.A. Quantitative Magnetic Resonance Imaging for Biological Image-Guided Adaptive Radiotherapy. Front. Oncol. 2021, 10, 615643. [Google Scholar] [CrossRef]
- Edge, S.B.; Compton, C.C. The American Joint Committee on Cancer: The 7th Edition of the AJCC Cancer Staging Manual and the Future of TNM. Ann. Surg. Oncol. 2010, 17, 1471–1474. [Google Scholar] [CrossRef]
- Sanguineti, G.; Sormani, M.P.; Marur, S.; Gunn, G.B.; Rao, N.; Cianchetti, M.; Ricchetti, F.; McNutt, T.; Wu, B.; Forastiere, A. Effect of Radiotherapy and Chemotherapy on the Risk of Mucositis During Intensity-Modulated Radiation Therapy for Oropharyngeal Cancer. Int. J. Radiat. Oncol. Biol. Phys. 2012, 83, 235–242. [Google Scholar] [CrossRef] [PubMed]
- Fedorov, A.; Beichel, R.; Kalpathy-Cramer, J.; Finet, J.; Fillion-Robin, J.-C.; Pujol, S.; Bauer, C.; Jennings, D.; Fennessy, F.; Sonka, M.; et al. 3D Slicer as an image computing platform for the Quantitative Imaging Network. Magn. Reson. Imaging 2012, 30, 1323–1341. [Google Scholar] [CrossRef] [PubMed] [Green Version]
- Tofts, P.S.; Brix, G.; Buckley, D.; Evelhoch, J.L.; Henderson, E.; Knopp, M.V.; Larsson, H.B.; Lee, T.-Y.; Mayr, N.A.; Parker, G.; et al. Estimating kinetic parameters from dynamic contrast-enhanced t1-weighted MRI of a diffusable tracer: Standardized quantities and symbols. J. Magn. Reson. Imaging 1999, 10, 223–232. [Google Scholar] [CrossRef]
- Eisbruch, A.; Kim, H.M.; Terrell, J.E.; Marsh, L.H.; Dawson, L.A.; Ship, J.A. Xerostomia and its predictors following parotid-sparing irradiation of head-and-neck cancer. Int. J. Radiat. Oncol. Biol. Phys. 2001, 50, 695–704. [Google Scholar] [CrossRef]
- Cox, J.D.; Stetz, J.; Pajak, T.F. Toxicity criteria of the Radiation Therapy Oncology Group (RTOG) and the European organization for research and treatment of cancer (EORTC). Int. J. Radiat. Oncol. Biol. Phys. 1995, 31, 1341–1346. [Google Scholar] [CrossRef]
- Haga, A.; Takahashi, W.; Aoki, S.; Nawa, K.; Yamashita, H.; Abe, O.; Nakagawa, K. Standardization of imaging features for radiomics analysis. J. Med. Investig. 2019, 66, 35–37. [Google Scholar] [CrossRef] [PubMed]
- Moons, K.G.M.; Altman, D.G.; Reitsma, J.B.; Ioannidis, J.P.A.; Macaskill, P.; Steyerberg, E.W.; Vickers, A.J.; Ransohoff, D.F.; Collins, G.S. Transparent Reporting of a multivariable prediction model for Individual Prognosis Or Diagnosis (TRIPOD): Explanation and Elaboration. Ann. Intern. Med. 2015, 162, W1–W73. [Google Scholar] [CrossRef] [Green Version]
- He, H.; Bai, Y.; Garcia, E.A.; Li, S. ADASYN: Adaptive synthetic sampling approach for imbalanced learning. In Proceeding of the IEEE International Joint Conference on Neural Networks (IEEE World Congress on Computational Intelligence), Hong Kong, China, 1–8 June 2008; pp. 1322–1328. [Google Scholar] [CrossRef] [Green Version]
- Jiang, W.; Lakshminarayanan, P.; Hui, X.; Han, P.; Cheng, Z.; Bowers, M.; Shpitser, I.; Siddiqui, S.; Taylor, R.H.; Quon, H.; et al. Machine Learning Methods Uncover Radiomorphologic Dose Patterns in Salivary Glands that Predict Xerostomia in Patients with Head and Neck Cancer. Adv. Radiat. Oncol. 2019, 4, 401–412. [Google Scholar] [CrossRef] [Green Version]
- van Dijk, L.V.; Noordzij, W.; Brouwer, C.L.; Boellaard, R.; Burgerhof, J.G.; Langendijk, J.A.; Sijtsema, N.M.; Steenbakkers, R.J. 18F-FDG PET image biomarkers improve prediction of late radiation-induced xerostomia. Radiother. Oncol. 2018, 126, 89–95. [Google Scholar] [CrossRef] [PubMed] [Green Version]
- Erickson, B.J.; Korfiatis, P.; Akkus, Z.; Kline, T.L. Machine Learning for Medical Imaging. Radiographics 2017, 37, 505–515. [Google Scholar] [CrossRef]
- Barker, J.L.; Garden, A.; Ang, K.; O’Daniel, J.C.; Wang, H.; Court, L.; Morrison, W.H.; Rosenthal, D.; Chao, K.; Tucker, S.L.; et al. Quantification of volumetric and geometric changes occurring during fractionated radiotherapy for head-and-neck cancer using an integrated CT/linear accelerator system. Int. J. Radiat. Oncol. 2004, 59, 960–970. [Google Scholar] [CrossRef] [PubMed]
- Marzi, S.; Pinnaro, P.; D’Alessio, D.; Strigari, L.; Bruzzaniti, V.; Giordano, C.; Giovinazzo, G.; Marucci, L. Anatomical and Dose Changes of Gross Tumour Volume and Parotid Glands for Head and Neck Cancer Patients during Intensity-modulated Radiotherapy: Effect on the Probability of Xerostomia Incidence. Clin. Oncol. (R. Coll. Radiol.) 2012, 24, e54–e62. [Google Scholar] [CrossRef]
- Marzi, S.; Farneti, A.; Vidiri, A.; Di Giuliano, F.; Marucci, L.; Spasiano, F.; Terrenato, I.; Sanguineti, G. Radiation-induced parotid changes in oropharyngeal cancer patients: The role of early functional imaging and patient−/treatment-related factors. Radiat. Oncol. 2018, 13, 1–10. [Google Scholar] [CrossRef] [PubMed]
- Chang, H.-C.; Juan, C.J.; Chiu, H.-C.; Cheng, C.-C.; Chiu, S.-C.; Liu, Y.-J.; Chung, H.-W.; Hsu, H.-H.; Chiiu, H.-C. Effects of gender, age, and body mass index on fat contents and apparent diffusion coefficients in healthy parotid glands: An MRI evaluation. Eur. Radiol. 2014, 24, 2069–2076. [Google Scholar] [CrossRef] [PubMed]
- Van Dijk, L.V.; Langendijk, J.A.; Zhai, T.-T.; Vedelaar, T.A.; Noordzij, W.; Steenbakkers, R.J.H.M.; Sijtsema, N.M. Delta-radiomics features during radiotherapy improve the prediction of late xerostomia. Sci. Rep. 2019, 9, 12483. [Google Scholar] [CrossRef] [Green Version]
- Meirovitz, A.; Murdoch-Kinch, C.A.; Schipper, M.; Pan, C.; Eisbruch, A. Grading xerostomia by physicians or by patients after intensity-modulated radiotherapy of head-and-neck cancer. Int. J. Radiat. Oncol. 2006, 66, 445–453. [Google Scholar] [CrossRef]
- Teshima, K.; Murakami, R.; Tomitaka, E.; Nomura, T.; Toya, R.; Hiraki, A.; Nakayama, H.; Hirai, T.; Shinohara, M.; Oya, N.; et al. Radiation-induced Parotid Gland Changes in Oral Cancer Patients: Correlation Between Parotid Volume and Saliva Production. Jpn. J. Clin. Oncol. 2009, 40, 42–46. [Google Scholar] [CrossRef] [PubMed] [Green Version]
- Sanguineti, G.; Ricchetti, F.; Wu, B.; McNutt, T.; Fiorino, C. Parotid gland shrinkage during IMRT predicts the time to Xerostomia resolution. Radiat. Oncol. 2015, 10, 19. [Google Scholar] [CrossRef] [Green Version]
- Fiorino, C.; Rizzo, G.; Scalco, E.; Broggi, S.; Belli, M.L.; Dell’Oca, I.; Dinapoli, N.; Ricchetti, F.; Rodriguez, A.M.; Di Muzio, N.; et al. Density variation of parotid glands during IMRT for head–neck cancer: Correlation with treatment and anatomical parameters. Radiother. Oncol. 2012, 104, 224–229. [Google Scholar] [CrossRef] [PubMed]
- Belli, M.L.; Scalco, E.; Sanguineti, G.; Fiorino, C.; Broggi, S.; Dinapoli, N.; Ricchetti, F.; Valentini, V.; Rizzo, G.; Cattaneo, G.M. Early changes of parotid density and volume predict modifications at the end of therapy and intensity of acute xerostomia. Strahlenther. Onkol. 2014, 190, 1001–1007. [Google Scholar] [CrossRef] [PubMed]
- Federau, C. Intravoxel incoherent motion MRI as a means to measure in vivo perfusion: A review of the evidence. NMR Biomed. 2017, 30, e3780. [Google Scholar] [CrossRef] [PubMed]
- Marzi, S.; Forina, C.; Marucci, L.; Giovinazzo, G.; Giordano, C.; Piludu, F.; Landoni, V.; Spriano, G.; Vidiri, A. Early radiation-induced changes evaluated by intravoxel incoherent motion in the major salivary glands. J. Magn. Reson. Imaging 2014, 41, 974–982. [Google Scholar] [CrossRef] [PubMed]
- Zhou, N.; Guo, T.; Zheng, H.; Pan, X.; Chu, C.; Dou, X.; Li, M.; Liu, S.; Zhu, L.; Liu, B.; et al. Apparent diffusion coefficient histogram analysis can evaluate radiation-induced parotid damage and predict late xerostomia degree in nasopharyngeal carcinoma. Oncotarget 2017, 8, 70226–70238. [Google Scholar] [CrossRef] [PubMed] [Green Version]
- Fan, W.-J.; Teng, F.; Luo, Y.-R.; Yu, W.; Zhang, Q.; Lu, Y.-P.; Ma, L. Diffusion-weighted imaging as a follow-up modality for evaluation of major salivary gland function in nasopharyngeal carcinoma patients: A preliminary study. Strahlenther. Onkol. 2020, 196, 530–541. [Google Scholar] [CrossRef] [Green Version]
- Zhou, N.; Chen, W.; Pan, X.; He, J.; Yan, J.; Zhou, Z.; Yang, X. Early evaluation of radiation-induced parotid damage with diffusion kurtosis imaging: A preliminary study. Acta Radiol. 2017, 59, 212–220. [Google Scholar] [CrossRef] [PubMed]
- Van Luijk, P.; Pringle, S.; Deasy, J.O.; Moiseenko, V.V.; Faber, H.; Hovan, A.; Baanstra, M.; van der Laan, H.P.; Kierkels, R.G.J.; van der Schaaf, A.; et al. Sparing the region of the salivary gland containing stem cells preserves saliva production after radiotherapy for head and neck cancer. Sci. Transl. Med. 2015, 7, 305ra147. [Google Scholar] [CrossRef] [PubMed] [Green Version]
- Sari, S.Y.; Yilmaz, M.T.; Elmali, A.; Yedekci, F.Y.; Yuce, D.; Ozyigit, G.; Cengiz, M.; Yazici, G. Parotid gland stem cells: Mini yet mighty. Head Neck 2020, 43, 1122–1127. [Google Scholar] [CrossRef] [PubMed]



| Characteristic | Parameter | |
|---|---|---|
| Patient number | 63 | |
| Sex (M/F) | 50 (79%)/13 (21%) | |
| Age (years) | ||
| Mean (range) | 66.6 (48–86) | |
| HPV status (−/+) | 19 (30%)/44 (70%) | |
| Primary tumour site | ||
| Tonsil | 32 (50.8%) | |
| Base of Tongue | 29 (46.0%) | |
| Soft Palate | 1 (1.6%) | |
| Unknown | 1 (1.6%) | |
| T stage | ||
| HPV− | HPV+ | |
| T0 | 0 | 1 |
| T1 | 3 | 4 |
| T2 | 5 | 16 |
| T3 | 2 | 6 |
| T4 | 0 | 17 |
| T4a | 9 | 0 |
| N stage | ||
| HPV− | HPV+ | |
| N0 | 3 | 4 |
| N1 | 3 | 17 |
| N2 | 6 | 23 |
| N3 | 7 | 0 |
| XER12 < 2 | XER12 = 2 | ||||
|---|---|---|---|---|---|
| Median | IQR | Median | IQR | p Value | |
| Ktrans P10 (min−1) | 0.28 | 0.20 | 0.21 | 0.13 | 0.026 |
| ve P25 | 0.15 | 0.08 | 0.13 | 0.05 | 0.049 |
| Dmean (Gy) | 35.8 | 6.0 | 41.0 | 7.8 | 0.004 |
| V65(%) | 6.5 | 8.6 | 10.1 | 12.3 | <0.001 |
| Dmean,SMG (Gy) | 62.5 | 4.6 | 64.2 | 3.13 | 0.004 |
| XQ-Intmid | 51.5 | 41.5 | 82.9 | 78.4 | 0.023 |
| Variables at Baseline | AUC * | Accuracy (%) | Sensitivity (%) | Specificity (%) | PPV (%) | NPV (%) | |
|---|---|---|---|---|---|---|---|
| Model 1 | ve P25 Dmean | 0.68 | 68.3 | 66.7 | 69.1 | 51.5 | 80.8 |
| [0.57–0.77] | [57.2–78.0] | [50.5–80.4] | [52.9–82.4] | [39.2–63.6] | [72.4–87.1] | ||
| Model 2 | Ktrans P10 Dmean | 0.61 | 59.5 | 64.3 | 57.1 | 42.5 | 76.5 |
| [0.50–0.70] | [48.2–70.1] | [48.0–78.5] | [41.0–72.3] | [32.8–52.8] | [66.7–84.0] | ||
| Model 3 | ve P25 V65(%) | 0.79 | 77.0 | 83.3 | 73.8 | 61.1 | 90.0 |
| [0.69–0.86] | [66.5–85.4] | [68.6–93.0] | [58.0–86.1] | [48.1–72.6] | [81.7–94.8] | ||
| Model 4 | Ktrans P10 V65(%) | 0.70 | 67.4 | 78.6 | 61.9 | 50.4 | 85.4 |
| [0.60–0.80] | [56.3–77.2] | [63.2–89.7] | [45.6–76.4] | [40.1–60.6] | [75.8–91.6] | ||
| Model 5 | ve P25 Dmean, SMG | 0.67 | 64.2 | 73.8 | 59.5 | 47.3 | 82.2 |
| [0.56–0.76] | [53.0–74.4] | [58.0–86.1] | [43.3–74.4] | [37.4–57.5] | [72.4–89.0] | ||
| Model 6 | Ktrans P10 Dmean, SMG | 0.64 | 65.1 | 61.9 | 66.7 | 47.8 | 78.0 |
| [0.53–0.74] | [53.9–75.2] | [45.6–76.4] | [50.5–80.4] | [35.9–59.9] | [69.6–84.7] | ||
| Model 7 | ve P25 V65(%) Dmean, SMG | 0.71 | 71.4 | 71.4 | 71.4 | 55.2 | 83.5 |
| [0.63–0.81] | [60.5–80.8] | [55.4–84.3] | [55.4–84.3] | [42.4–67.3] | [75.2–89.5] | ||
| Variables at Baseline and during RT | AUC * | Accuracy (%) | Sensitivity (%) | Specificity (%) | PPV (%) | NPV (%) | |
| Model 8 | V65(%) XQ-Intmid | 0.80 | 81.0 | 76.2 | 83.3 | 69.3 | 87.7 |
| [0.71–0.88] | [71.0–88.7] | [60.6–88.0] | [68.6–93.0] | [52.9–81.9] | [80.3–92.5] | ||
| Model 9 | Dmean XQ-Intmid | 0.63 | 61.1 | 69.1 | 57.1 | 44.2 | 78.9 |
| [0.52–0.72] | [49.8–71.5] | [52.9–82.4] | [41.0–72.3] | [34.6–54.3] | [69.0–86.3] | ||
| Model 10 | ve P25 V65(%) XQ-Intmid | 0.79 | 78.6 | 78.6 | 78.6 | 64.4 | 88.2 |
| [0.69–0.86] | [68.3–86.8] | [63.2–89.7] | [63.2–89.7] | [49.8–76.7] | [80.3–93.1] | ||
| Model 11 | Ktrans P10 V65(%) XQ-Intmid | 0.73 | 72.2 | 73.8 | 71.4 | 56.3 | 84.5 |
| [0.63–0.81] | [61.4–81.4] | [58.0–86.1] | [55.4–84.3] | [43.6–68.3] | [76.1–90.4] | ||
| Model 12 | ve P25 Ktrans P10 V65(%) XQ-Intmid | 0.80 | 77.8 | 85.7 | 73.8 | 62.0 | 91.2 |
| [0.70–0.87] | [67.4–86.1] | [71.5–94.6] | [58.0–86.1] | [49.2–73.4] | [82.8–95.7] | ||
| Model 13 | ve P25 V65(%) Dmean, SMG XQ-Intmid | 0.79 | 78.6 | 78.6 | 78.6 | 64.7 | 88.0 |
| [0.69–0.87] | [68.3–86.8] | [63.2–89.7] | [63.2–89.7] | [50.1–76.9] | [80.1–93.1] | ||
| Model 14 | ve P25 Ktrans P10 Dmean XQ-Intmid | 0.63 | 60.3 | 71.4 | 54.8 | 44.1 | 79.3 |
| [0.53–0.72] | [49.1–70.8] | [55.4–84.3] | [38.7–70.2] | [34.9–53.6] | [68.9–87.0] | ||
| Model 15 | ve P25 Ktrans P10 Dmean V65(%) XQ-Intmid | 0.71 | 73.0 | 66.7 | 76.2 | 58.3 | 82.1 |
| [0.61–0.81] | [62.2–82.1] | [50.5–80.4] | [60.6–88.0] | [43.9–71.4] | [74.3–87.9] | ||
| Model 16 | ve P25 Ktrans P10 Dmean V65(%) Dmean, SMG XQ-Intmid | 0.74 | 71.4 | 81.0 | 66.7 | 54.8 | 87.5 |
| [0.63–0.83] | [60.5–80.8] | [65.9–91.4] | [50.5–80.4] | [43.6–65.6] | [78.4–93.1] | ||
Publisher’s Note: MDPI stays neutral with regard to jurisdictional claims in published maps and institutional affiliations. |
© 2021 by the authors. Licensee MDPI, Basel, Switzerland. This article is an open access article distributed under the terms and conditions of the Creative Commons Attribution (CC BY) license (https://creativecommons.org/licenses/by/4.0/).
Share and Cite
Marzi, S.; Farneti, A.; Marucci, L.; D’Urso, P.; Vidiri, A.; Gangemi, E.; Sanguineti, G. The Role of Patient- and Treatment-Related Factors and Early Functional Imaging in Late Radiation-Induced Xerostomia in Oropharyngeal Cancer Patients. Cancers 2021, 13, 6296. https://doi.org/10.3390/cancers13246296
Marzi S, Farneti A, Marucci L, D’Urso P, Vidiri A, Gangemi E, Sanguineti G. The Role of Patient- and Treatment-Related Factors and Early Functional Imaging in Late Radiation-Induced Xerostomia in Oropharyngeal Cancer Patients. Cancers. 2021; 13(24):6296. https://doi.org/10.3390/cancers13246296
Chicago/Turabian StyleMarzi, Simona, Alessia Farneti, Laura Marucci, Pasqualina D’Urso, Antonello Vidiri, Emma Gangemi, and Giuseppe Sanguineti. 2021. "The Role of Patient- and Treatment-Related Factors and Early Functional Imaging in Late Radiation-Induced Xerostomia in Oropharyngeal Cancer Patients" Cancers 13, no. 24: 6296. https://doi.org/10.3390/cancers13246296
APA StyleMarzi, S., Farneti, A., Marucci, L., D’Urso, P., Vidiri, A., Gangemi, E., & Sanguineti, G. (2021). The Role of Patient- and Treatment-Related Factors and Early Functional Imaging in Late Radiation-Induced Xerostomia in Oropharyngeal Cancer Patients. Cancers, 13(24), 6296. https://doi.org/10.3390/cancers13246296

