Theoretical Evaluation of the Impact of Hyperthermia in Combination with Radiation Therapy in an Artificial Immune—Tumor-Ecosystem
Simple Summary
Abstract
1. Introduction
2. Materials and Methods
2.1. Cellular Radiobiological Parameters
2.2. Parameters Influencing the Tumour–Immune System Interaction
2.3. Investigated Scenarios and Fractionation Schemes
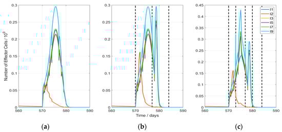
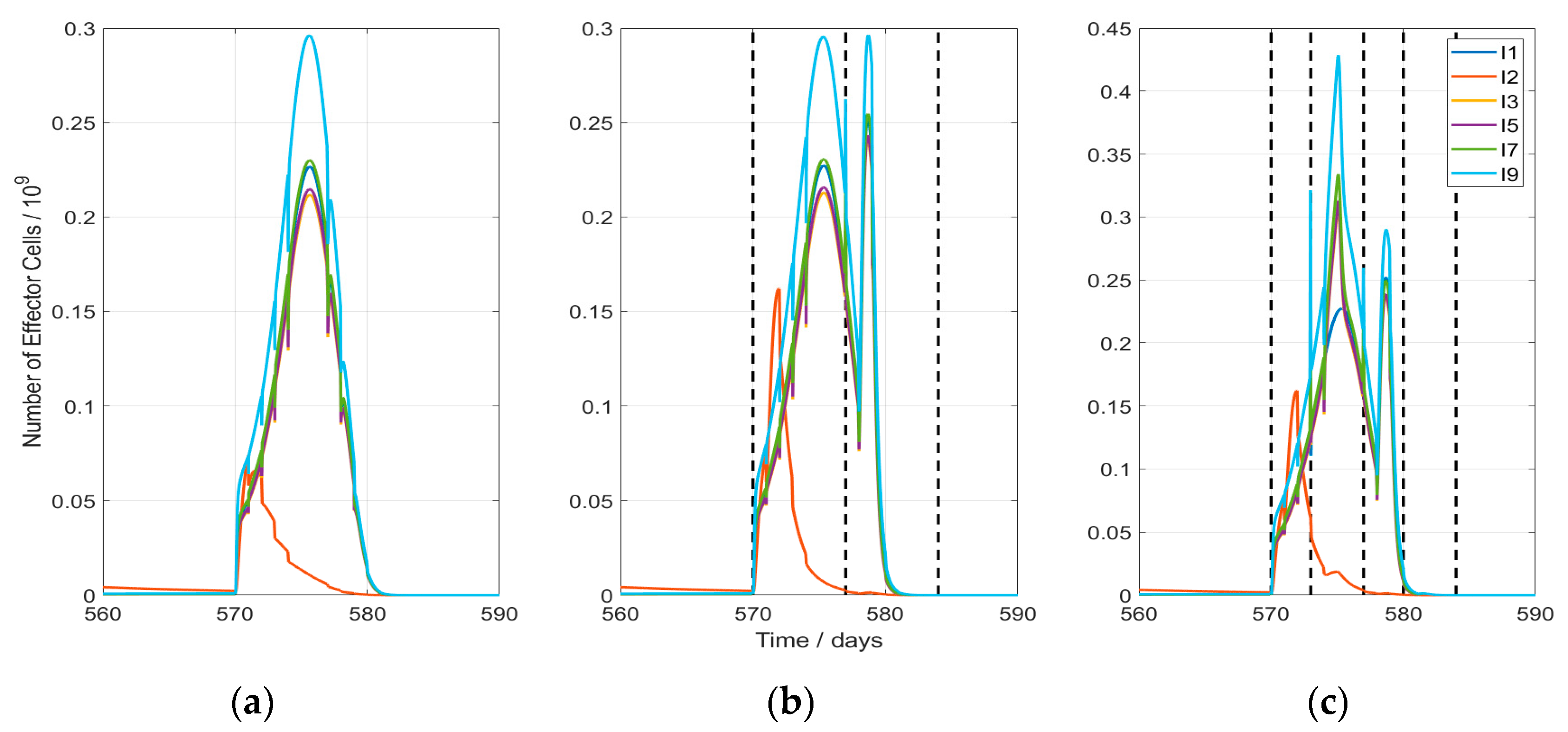
3. Results
4. Discussion
5. Conclusions
Author Contributions
Funding
Institutional Review Board Statement
Informed Consent Statement
Data Availability Statement
Conflicts of Interest
References
- Alfonso, J.C.L.; Papaxenopoulou, L.A.; Mascheroni, P.; Meyer-Hermann, P.; Hatzikirou, H. On the Immunological Consequences of Conventionally Fractionated Radiotherapy. iScience 2020, 23, 100897. [Google Scholar] [CrossRef] [PubMed]
- Di Maggio, F.; Di Maggio, M.; Minafra, L.; Forte, G.I.; Cammarata, F.P.; Lio, D.; Messa, C.; Gilardi, M.C.; Bravatà, V. Portrait of inflammatory response to ionizing radiation treatment. J. Inflamm. 2015, 12, 14. [Google Scholar] [CrossRef] [PubMed]
- Frey, B.; Rückert, M.; Deloch, L.; Rühle, P.F.; Derer, A.; Fietkau, R.; Gaipl, U.S. Immuno-modulation by ionizing radiation-impact for design of radio-immunotherapies and for treatment of inflammatory diseases. Immunol. Rev. 2017, 280, 231–248. [Google Scholar] [CrossRef] [PubMed]
- Rosado, M.M.; Pioli, C. Cancer-host battles: Measures and countermeasures in radiation-induced caspase activation and tumor immunogenicity. Cell. Mol. Immunol. 2020, 17, 1022–1023. [Google Scholar] [CrossRef]
- Bergs, J.W.J.; Krawczyk, P.M.; Borovski, T.; Cate, R.T.; Rodermond, H.M.; Stap, J.; Medema, J.P.; Haveman, J.; Essers, J.; van Bree, C.; et al. Inhibition of homologous recombination by hyperthermia shunts early double strand break repair to non-homologous end-joining. DNA Repair 2013, 12, 38–45. [Google Scholar] [CrossRef]
- Iliakis, G.; Wu, W.; Wang, M. DNA double strand break repair inhibition as a cause of heat radiosensitization: Re-evaluation considering backup pathways of NHEJ. Int. J. Hyperth. 2008, 24, 17–29. [Google Scholar] [CrossRef] [PubMed]
- Hildebrandt, B.; Wust, P.; Ahlers, O.; Dieing, A.; Sreenivasa, G.; Kerner, T.; Felix, R.; Riess, H. The cellular and molecular basis of hyperthermia. Crit. Rev. Oncol. Hematol. 2002, 43, 33–56. [Google Scholar] [CrossRef]
- Dewey, W.C.; Hopwood, L.E.; Sapareto, S.A.; Gerweck, L.E. Cellular responses to combinations of hyperthermia and radiation. Radiology 1977, 123, 463–474. [Google Scholar] [CrossRef] [PubMed]
- Hall, E.J.; Roizin-Towle, L. Biological Effects of Heat. Cancer Res. 1984, 44, 4708s–4713s. [Google Scholar]
- Reinhold, H.S.; Endrich, B. Tumour microcirculation as a target for hyperthermia. Int. J. Hyperth. 1986, 2, 111–137. [Google Scholar] [CrossRef]
- Song, C.W. Effect of Local Hyperthermia on Blood Flow and Microenvironment: A Review. Cancer Res. 1984, 44, 4721s–4730s. [Google Scholar]
- Winslow, T.B.; Eranki, A.; Ullas, S.; Singh, A.K.; Repasky, E.A.; Sen, A. A pilot study of the effects of mild systemic heating on human head and neck tumour xenografts: Analysis of tumour perfusion, interstitial fluid pressure, hypoxia and efficacy of radiation therapy. Int. J. Hyperth. 2015, 31, 693–701. [Google Scholar] [CrossRef]
- Wike-Hooley, J.L.; van der Zee, J.; van Rhoon, G.C.; van den Berg, A.P.; Reinhold, H.S. Human tumour pH changes following hyperthermia and radiation therapy. Eur. J. Cancer Clin. Oncol. 1984, 20, 619–623. [Google Scholar] [CrossRef]
- Ohishi, T.; Nukuzuma, C.; Seki, A.; Watanabe, M.; Tomiyama-Miyaji, C.; Kainuma, E.; Inoue, M.; Kuwano, Y.; Abo, T. Alkalization of blood pH is responsible for survival of cancer patients by mild hyperthermia. Biomed. Res. 2009, 30, 95–100. [Google Scholar] [CrossRef]
- Thistlethwaite, A.J.; Leeper, D.B.; Moylan, D.J.; Nerlinger, R.E. pH distribution in human tumors. Int. J. Radiat. Oncol. Biol. Phys. 1985, 11, 1647–1652. [Google Scholar] [CrossRef]
- Brizel, D.M.; Scully, S.P.; Harrelson, J.M.; Layfield, L.J.; Dodge, R.K.; Charles, H.C.; Samulski, T.V.; Prosnitz, L.R.; Dewhirst, M.W. Radiation Therapy and Hyperthermia Improve the Oxygenation of Human Soft Tissue Sarcomas. Cancer Res. 1996, 56, 5347–5350. [Google Scholar] [PubMed]
- Sun, X.; Xing, L.; Ling, C.C.; Li, G.C. The effect of mild temperature hyperthermia on tumour hypoxia and blood perfusion: Relevance for radiotherapy, vascular targeting and imaging. Int. J. Hyperth. 2010, 26, 224–231. [Google Scholar] [CrossRef]
- Song, C.W.; Shakil, A.; Osborn, J.L.; Iwata, K. Tumour oxygenation is increased by hyperthermia at mild temperatures. Int. J. Hyperth. 1996, 12, 367–373. [Google Scholar] [CrossRef]
- Harrison, L.B.; Chadha, M.; Hill, R.J.; Hu, K.; Shasha, D. Impact of Tumor Hypoxia and Anemia on Radiation Therapy Outcomes. Oncologist 2002, 7, 492–508. [Google Scholar] [CrossRef] [PubMed]
- Moulder, J.E.; Rockwell, S. Hypoxic fractions of solid tumors: Experimental techniques, methods of analysis, and a survey of existing data. Int. J. Radiat. Oncol. Biol. Phys. 1984, 10, 695–712. [Google Scholar] [CrossRef]
- Scheidegger, S.; Bonmarin, M.; Timm, O.; Rhodes, S.; Datta, N.R. Estimating radio-sensitisation based on re-oxygenation after hyperthermia by using dynamic models. Panminerva Med. 2014, 56 (Suppl. 1), 24. [Google Scholar]
- Husain, Z.; Huang, Y.; Seth, P.; Sukhatme, V.P. Tumor-Derived Lactate Modifies Antitumor Immune Response: Effect on Myeloid-Derived Suppressor Cells and NK Cells. J. Immunol. 2013, 191, 1486–1495. [Google Scholar] [CrossRef] [PubMed]
- Calcinotto, A.; Filipazzi, P.; Grioni, M.; Iero, M.; De Milito, A.; Ricupito, A.; Cova, A.; Canese, R.; Jachetti, E.; Rossetti, M.; et al. Modulation of microenvironment acidity reverses anergy in human and murine tumor-infiltrating T lymphocytes. Cancer Res. 2012, 72, 2746–2756. [Google Scholar] [CrossRef]
- Bosticardo, M.; Ariotti, S.; Losana, G.; Bernabei, P.; Forni, G.; Novelli, F. Biased activation of human T lymphocytes due to low extracellular pH is antagonized by B7/CD28 costimulation. Eur. J. Immunol. 2001, 31, 2829–2838. [Google Scholar] [CrossRef]
- Erra Díaz, F.; Dantas, E.; Geffner, J. Unravelling the interplay between extracellular acidosis and immune cells. Mediat. Inflamm. 2018, 2018, 1218297. [Google Scholar] [CrossRef] [PubMed]
- Milani, V.; Noessner, E.; Ghose, S.; Kuppner, M.; Ahrens, B.; Scharner, A.; Gastpar, R.; Issels, R.D. Heat shock protein 70: Role in antigen presentation and immune stimulation. Int. J. Hyperth. 2002, 18, 563–575. [Google Scholar] [CrossRef]
- Ito, A.; Shinkai, M.; Honda, H.; Wakabayashi, T.; Yoshida, J.; Kobayashi, T. Augmentation of MHC class I antigen presentation via heat shock protein expression by hyperthermia. Cancer Immunol. Immunother. 2001, 50, 515–522. [Google Scholar] [CrossRef]
- Srivastava, P. Roles of heat-shock proteins in innate and adaptive immunity. Nat. Rev. Immunol. 2002, 2, 185–194. [Google Scholar] [CrossRef]
- Pienta, K.J.; McGregor, N.; Axelrod, R.; Axelrod, D.E. Ecological therapy for cancer: Defining tumors using an ecosystem paradigm suggests new opportunities for novel cancer treatments. Transl. Oncol. 2008, 1, 158–164. [Google Scholar] [CrossRef] [PubMed]
- Basanta, D.; Anderson, A.R.A. Exploiting ecological principles to better understand cancer progression and treatment. Interface Focus 2013, 3, 20130020. [Google Scholar] [CrossRef]
- Merlo, L.M.F.; Pepper, J.W.; Reid, B.J.; Maley, C.C. Cancer as an evolutionary and ecological process. Nat. Rev. Cancer 2006, 6, 924–935. [Google Scholar] [CrossRef] [PubMed]
- Frey, B.; Rückert, M.; Weber, J.; Mayr, X.; Derer, A.; Lotter, M.; Bert, C.; Rödel, F.; Fietkau, R.; Gaipl, U.S. Hypofractionated Irradiation Has Immune Stimulatory Potential and Induces a Timely Restricted Infiltration of Immune Cells in Colon Cancer Tumors. Front. Immunol. 2017, 8, 231. [Google Scholar] [CrossRef]
- Scheidegger, S.; Mikos, A.; Fellermann, H. Modelling Artificial Immune—Tumor Ecosystem Interaction During Radiation Therapy Using a Perceptron—Based Antigen Pattern Recognition. In Proceedings of the 2020 Conference on Artificial Life, Online, Montréal, QC, Canada, 13–18 July 2020; MIT Press: Cambridge, MA, USA, 2020; pp. 541–548. [Google Scholar]
- Eftimie, R.; Bramson, J.L.; Earn, D.J.D. Interactions between the immune system and cancer: A brief review of non-spatial mathematical models. Bull. Math. Biol. 2011, 73, 2–32. [Google Scholar] [CrossRef]
- Rosenblatt, F. The perceptron: A probabilistic model for information storage and organization in the brain. Psychol. Rev. 1958, 65, 386–408. [Google Scholar] [CrossRef]
- Matzinger, P. The danger model: A renewed sense of self. Science 2002, 296, 301–305. [Google Scholar] [CrossRef] [PubMed]
- Golden, E.B.; Frances, D.; Pellicciotta, I.; Demaria, S.; Barcellos-Hoff, M.H.; Formetti, S.C. Radiation fosters dose-dependent and chemotherapy-induced immunogenic cell death. Oncoimmunology 2014, 3, e28518. [Google Scholar] [CrossRef]
- Abhishek, D.; Agostinis, P. Cell death and immunity in cancer: From danger signals to mimicry of pathogen defense responses. Immunol. Rev. 2017, 280, 126–148. [Google Scholar]
- Rodriguez-Ruiz, M.E.; Vitale, I.; Harrington, K.J.; Melero, I.; Galluzzi, L. Immunological impact of cell death signaling driven by radiation on the tumor microenvironment. Nat. Immunol. 2020, 21, 120–134. [Google Scholar] [CrossRef]
- Scheidegger, S.; Lutters, G.; Bodis, S. A LQ-based kinetic model formulation for exploring dynamics of treatment response of tumours in patients. Z. Med. Phys. 2011, 21, 164–173. [Google Scholar] [CrossRef]
- Grimsley, C.; Ravichandran, K.S. Cues for apoptotic cell engulfment: Eat-me, don’t eat-me and come-get-me signals. Trends Cell Biol. 2003, 13, 648–656. [Google Scholar] [CrossRef] [PubMed]
- Zhou, J.; Wang, G.; Chen, Y.; Wang, H.; Hua, Y.; Cai, Z. Immunogenic cell death in cancer therapy: Present and emerging inducers. J. Cell. Mol. Med. 2019, 23, 4854–4865. [Google Scholar] [CrossRef]
- Park, S.J.; Kim, J.M.; Kim, J.; Hur, J.; Park, S.; Kim, K.; Shin, H.J.; Chwae, Y.J. Molecular mechanisms of biogenesis of apoptotic exosome-like vesicles and their roles as damage-associated molecular patterns. Proc. Natl. Acad. Sci. USA 2018, 115, E11721–E11730. [Google Scholar] [CrossRef]
- Nagata, S.; Tanaka, M. Programmed cell death and the immune system. Nat. Rev. Immunol. 2017, 17, 333–340. [Google Scholar] [CrossRef]
- Faouzi, S.; Burckhardt, B.E.; Hanson, J.C.; Campe, C.B.; Schrum, L.W.; Rippe, R.A.; Maher, J.J. Anti-Fas Induces Hepatic Chemokines and Promotes Inflammation by an NF-κB-independent, Caspase-3-dependent Pathway. J. Biol. Chem. 2001, 276, 49077–49082. [Google Scholar] [CrossRef]
- Willems, J.J.L.P.; Arnold, B.P.; Gregory, C.D. Sinister Self-Sacrifice: The Contribution of Apoptosis to Malignancy. Front. Immunol. 2014, 5, 299. [Google Scholar] [CrossRef] [PubMed]
- Monico, B.; Nigro, A.; Casolaro, V.; Col, J.D. Immunogenic Apoptosis as a Novel Tool for Anticancer Vaccine Development. Int. J. Mol. Sci. 2018, 19, 594. [Google Scholar] [CrossRef] [PubMed]
- Leith, J.T.; Padfield, G.; Faulkner, L.E.; Quinn, P.; Michelson, S. Effects of feeder cells on the X-ray sensitivity of human colon cancer cells. Radiother. Oncol. 1991, 21, 53–59. [Google Scholar] [CrossRef]
- van Leeuwen, C.M.; Oei, A.L.; Crezee, J.; Bel, A.; Franken, N.A.P.; Stalpers, L.J.A.; Kok, H.P. The alfa and beta of tumours: A review of parameters of the linear-quadratic model, derived from clinical radiotherapy studies. Radiat. Oncol. 2018, 13, 96. [Google Scholar] [CrossRef]
- Wang, Z.; Armour, E.P.; Corry, P.M.; Martinez, A. Elimination of dose-rate effects by mild hyperthermia. Int. J. Radiat. Oncol. Biol. Phys. 1992, 24, 965–973. [Google Scholar] [CrossRef]
- Armour, E.P.; Wang, Z.; Corry, P.M.; Martinez, A. Sensitization of Rat 9L Gliosarcoma Cells to Low Dose Rate Irradiation by Long Duration 41 °C Hyperthermia. Cancer Res. 1991, 51, 3088–3095. [Google Scholar] [PubMed]
- Hunt, C.R.; Pandita, R.K.; Laszlo, A.; Higashikubo, R.; Agarwal, M.; Kitamura, T.; Gupta, A.; Rief, N.; Horikoshi, N.; Baskaran, R.; et al. Hyperthermia activates a subset of ataxia-telangiectasia mutated effectors independent of DNA strand breaks and heat shock protein 70 status. Cancer Res. 2007, 67, 3010–3017. [Google Scholar] [CrossRef] [PubMed]
- van Leeuwen, C.M.; Oei, A.L.; Cate, R.T.; Franken, N.A.P.; Bel, A.; Stalpers, L.J.A.; Crezee, J.; Kok, H.P. Measurement and analysis of the impact of time-interval, temperature and radiation dose on tumour cell survival and its application in thermoradiotherapy plan evaluation. Int. J. Hyperth. 2018, 34, 30–38. [Google Scholar] [CrossRef] [PubMed]
- Song, C.W.; Choi, I.B.; Nah, B.S.; Sahu, S.K.; Osborn, J.L. Microvasculature and Perfusion in Normal Tissues and Tumors. In Thermoradiotherapy and Thermochemotherapy; Seegenschmiedt, M.H., Fessenden, P., Vernon, C.C., Eds.; Springer: Berlin/Heidelberg, Germany; New York, NY, USA, 1995; pp. 139–156. [Google Scholar]
- Ott, O.J.; Schmidt, M.; Semrau, S.; Strnad, V.; Matzel, K.E.; Schneider, I.; Raptis, D.; Uter, W.; Grützmann, R.; Fietkau, R. Chemoradiotherapy with and without deep regional hyperthermia for squamous cell carcinoma of the anus. Strahlenther. Onkol. 2019, 195, 607–614. [Google Scholar] [CrossRef]
- Datta, N.R.; Stutz, E.; Puric, E.; Eberle, B.; Meister, A.; Marder, D.; Timm, O.; Rogers, S.; Wyler, S.; Bodis, S. A Pilot Study of Radiotherapy and Local Hyperthermia in Elderly Patients with Muscle-Invasive Bladder Cancers Unfit for Definitive Surgery or Chemoradiotherapy. Front. Oncol. 2019, 9, 889. [Google Scholar] [CrossRef] [PubMed]
- Holl, E.K.; Frazier, V.N.; Landa, K.; Beasley, G.M.; Hwang, E.S.; Nair, S.K. Examining peripheral and tumor cellular in patients with cancer. Front. Immunol. 2019, 10, 1767. [Google Scholar] [CrossRef]
- Krosl, G.; Korbelik, M.; Dougherty, G.J. Induction of immune cell infiltration into murine SCCVII tumour by Photofrin-based photodynamic therapy. Br. J. Cancer 1995, 71, 549–555. [Google Scholar] [CrossRef] [PubMed]
- Scheidegger, S.; Fellermann, H. Optimizing Radiation Therapy Treatments by Exploring Tumour Ecosystem Dynamics in-silico. In Proceedings of the 2019 Conference on Artificial Life, Online, Newcastle, UK, 29 July–2 August 2019; MIT Press: Cambridge, MA, USA, 2019; pp. 236–242. [Google Scholar]
- Rabinovich, G.A.; Gabrilovich, D.; Sotomayor, E.M. Immunosuppressive strategies that are mediated by tumor cells. Annu. Rev. Immunol. 2007, 25, 267–296. [Google Scholar] [CrossRef]





| Parameter/Unit | Description | Default Value |
|---|---|---|
| /d−1 | tumor growth rate constant | 3 × 46 × 10−2 |
| /d−1 | mutation rate constant | 10−3 |
| /d−1 | tumor cell elimination rate constant | 4 × 10−3 |
| /d−1 | tumor cell growth inhibition | 10−4 |
| /d−1 | immunogenic tumor cell elimination | 1 |
| /d−1 | host-tumor cells interaction | 10−5 |
| /d−1 | tumor-host cells interaction | 2 × 2 × 10−4 |
| /d−1 | host cell growth | 3 × 10−2 |
| /d−1 | host cell growth inhibition | 1 × 2 × 10−4 |
| /d−1 | host cell elimination | 10−5 |
| /d−1 | necrotic transformation rate constant | 0 × 5 |
| /d−1 | necrotic cell elimination | 5 |
| /d−1 | apoptosis rate constant | 2 |
| /d−1 | immunogenic host cell elimination | 1 |
| /d−1 | immune cell production and migration * | 10 |
| /d−1 | immune cell elimination | 1 |
| Parameter/Unit | Description | Default Value |
|---|---|---|
| danger signal activation level | 3 | |
| ξ | power of perceptron response function | 9 |
| pattern recognition level * | 2 | |
| pattern presence weight for pre-necrotic cells | 0.5 | |
| pattern presence weight for necrotic cells | 0.2 | |
| danger signal param. (Equation (7)) * | 3 | |
| a/1 × d−1 | perceptron learning rate | 5 |
| Parameter/Unit | Description | Default Value |
|---|---|---|
| /Gy−1 | radiation sensitivity coefficient tumor cells * | 0.28 |
| /Gy−2 | radiation sensitivity coefficient tumor cells * | 0.05 |
| /Gy−1 | radiation sensitivity coefficient host tissue | 0.05 |
| /Gy−2 | radiation sensitivity coefficient host tissue | 0.01 |
| /Gy−1 | radiation sensitivity coefficient immune cells (effector cells) | 0.1 |
| /Gy−2 | radiation sensitivity coefficient immune cells (effector cells) | 0.01 |
| /d−1 | radiobiol. repair constant for tumor cells | 3 |
| /d−1 | radiobiol. repair constant for host tissue | 10 |
| /d−1 | radiobiol. repair constant for immune cells | 2 |
| R/Gy/min | radiation dose rate | 0.14 |
| Protocol | All | ||||
|---|---|---|---|---|---|
| RT1HT0 | 0.798 2 | no HT | no HT | no HT | no HT |
| RT1HT1 | 0.933 | 0.934 | 0.935 (0.933) 1 | 0.952 (0.935) 1 | 0.960 |
| RT1HT2 | 0.979 | 0.980 | 0.980 (0.979) 1 | 0.988 (0.980) 1 | 0.990 |
| RT1HT3 | 0.980 | 0.980 | 0.981 (0.981) 1 | 0.986 (0.980) 1 | 0.988 |
| RT2HT0 | 0.801 2 | no HT | no HT | no HT | no HT |
| RT2HT1 | 0.931 | 0.932 | 0.931 (0.931) 1 | 0.951 (0.931) 1 | 0.951 |
| RT2HT2 | 0.979 | 0.979 | 0.980 (0.979) 1 | 0.983 (0.979) 1 | 0.984 |
| RT2HT3 | 0.979 | 0.979 | 0.980 (0.980) 1 | 0.981 (0.979) 1 | 0.982 |
Publisher’s Note: MDPI stays neutral with regard to jurisdictional claims in published maps and institutional affiliations. |
© 2021 by the authors. Licensee MDPI, Basel, Switzerland. This article is an open access article distributed under the terms and conditions of the Creative Commons Attribution (CC BY) license (https://creativecommons.org/licenses/by/4.0/).
Share and Cite
Scheidegger, S.; Mingo Barba, S.; Gaipl, U.S. Theoretical Evaluation of the Impact of Hyperthermia in Combination with Radiation Therapy in an Artificial Immune—Tumor-Ecosystem. Cancers 2021, 13, 5764. https://doi.org/10.3390/cancers13225764
Scheidegger S, Mingo Barba S, Gaipl US. Theoretical Evaluation of the Impact of Hyperthermia in Combination with Radiation Therapy in an Artificial Immune—Tumor-Ecosystem. Cancers. 2021; 13(22):5764. https://doi.org/10.3390/cancers13225764
Chicago/Turabian StyleScheidegger, Stephan, Sergio Mingo Barba, and Udo S. Gaipl. 2021. "Theoretical Evaluation of the Impact of Hyperthermia in Combination with Radiation Therapy in an Artificial Immune—Tumor-Ecosystem" Cancers 13, no. 22: 5764. https://doi.org/10.3390/cancers13225764
APA StyleScheidegger, S., Mingo Barba, S., & Gaipl, U. S. (2021). Theoretical Evaluation of the Impact of Hyperthermia in Combination with Radiation Therapy in an Artificial Immune—Tumor-Ecosystem. Cancers, 13(22), 5764. https://doi.org/10.3390/cancers13225764

