The Soluble Urokinase-Type Plasminogen Activator Receptor as a Biomarker for Survival and Early Treatment Effect in Metastatic Colorectal Cancer
Abstract
Simple Summary
Abstract
1. Introduction
2. Materials and Methods
3. Results
3.1. Patient Characteristics
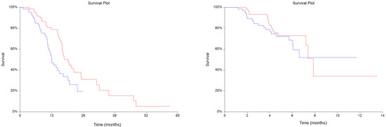
3.2. Prognostic and Predictive Value of suPAR
3.3. Cox Regression Analysis
4. Discussion
5. Conclusions
Supplementary Materials
Author Contributions
Funding
Institutional Review Board Statement
Informed Consent Statement
Data Availability Statement
Acknowledgments
Conflicts of Interest
References
- Sung, H.; Ferlay, J.; Siegel, R.L.; Laversanne, M.; Soerjomataram, I.; Jemal, A.; Bray, F. Global cancer statistics 2020: GLOBOCAN estimates of incidence and mortality worldwide for 36 cancers in 185 countries. CA Cancer J. Clin. 2021, 71, 209–249. [Google Scholar] [CrossRef] [PubMed]
- Van der Pool, A.E.; Damhuis, R.A.; Ijzermans, J.N.; de Wilt, J.H.; Eggermont, A.M.; Kranse, R.; Verhoef, C. Trends in incidence, treatment and survival of patients with stage IV colorectal cancer: A population-based series. Colorectal Dis. 2012, 14, 56–61. [Google Scholar] [CrossRef]
- Manfredi, S.; Bouvier, A.M.; Lepage, C.; Hatem, C.; Dancourt, V.; Faivre, J. Incidence and patterns of recurrence after resection for cure of colonic cancer in a well defined population. Br. J. Surg. 2006, 93, 1115–1122. [Google Scholar] [CrossRef]
- Van Steenbergen, L.N.; Elferink, M.A.G.; Krijnen, P.; Lemmens, V.; Siesling, S.; Rutten, H.J.T.; Richel, D.J.; Karim-Kos, H.E.; Coebergh, J.W.W. Improved survival of colon cancer due to improved treatment and detection: A nationwide population-based study in The Netherlands 1989–2006. Ann. Oncol. 2010, 21, 2206–2212. [Google Scholar] [CrossRef] [PubMed]
- Van der Geest, L.G.; Lam-Boer, J.; Koopman, M.; Verhoef, C.; Elferink, M.A.; de Wilt, J.H. Nationwide trends in incidence, treatment and survival of colorectal cancer patients with synchronous metastases. Clin. Exp. Metastasis 2015, 32, 457–465. [Google Scholar] [CrossRef] [PubMed]
- Danø, K.; Behrendt, N.; Høyer-Hansen, G.; Johnsen, M.; Lund, L.R.; Ploug, M.; Rømer, J. Plasminogen activation and cancer. Thromb. Haemost. 2005, 93, 676–681. [Google Scholar] [CrossRef]
- Høyer-Hansen, G.; Lund, I.K. Urokinase receptor variants in tissue and body fluids. Adv. Clin. Chem. 2007, 44, 65–102. [Google Scholar]
- Baker, E.A.; Bergin, F.G.; Leaper, D.J. Plasminogen activator system, vascular endothelial growth factor, and colorectal cancer progression. Mol. Pathol. 2000, 53, 307–312. [Google Scholar] [CrossRef][Green Version]
- Buø, L.; Meling, G.I.; Karlsrud, T.S.; Johansen, H.T.; Aasen, A.O. Antigen levels of urokinase plasminogen activator and its receptor at the tumor-host interface of colorectal adenocarcinomas are related to tumor aggressiveness. Hum. Pathol. 1995, 26, 1133–1138. [Google Scholar] [CrossRef]
- Illemann, M.; Bird, N.; Majeed, A.; Laerum, O.D.; Lund, L.R.; Danø, K.; Nielsen, B.S. Two distinct expression patterns of urokinase, urokinase receptor and plasminogen activator inhibitor-1 in colon cancer liver metastases. Int. J. Cancer 2009, 124, 1860–1870. [Google Scholar] [CrossRef] [PubMed]
- Minoo, P.; Baker, K.; Baumhoer, D.; Terracciano, L.; Lugli, A.; Zlobec, I. Urokinase-type plasminogen activator is a marker of aggressive phenotype and an independent prognostic factor in mismatch repair-proficient colorectal cancer. Hum. Pathol. 2010, 41, 70–78. [Google Scholar] [CrossRef]
- Yang, J.L.; Seetoo, D.; Wang, Y.; Ranson, M.; Berney, C.R.; Ham, J.M.; Russell, P.J.; Crowe, P.J. Urokinase-type plasminogen activator and its receptor in colorectal cancer: Independent prognostic factors of metastasis and cancer-specific survival and potential therapeutic targets. Int. J. Cancer 2000, 89, 431–439. [Google Scholar] [CrossRef]
- Seetoo, D.Q.; Crowe, P.J.; Russell, P.J.; Yang, J.L. Quantitative expression of protein markers of plasminogen activation system in prognosis of colorectal cancer. J. Surg. Oncol. 2003, 82, 184–193. [Google Scholar] [CrossRef] [PubMed]
- Laerum, O.D.; Ovrebo, K.; Skarstein, A.; Christensen, I.J.; Alpízar-Alpízar, W.; Helgeland, L.; Danø, K.; Nielsen, B.S.; Illemann, M. Prognosis in adenocarcinomas of lower oesophagus, gastro-oesophageal junction and cardia evaluated by uPAR-immunohistochemistry. Int. J. Cancer 2012, 131, 558–569. [Google Scholar] [CrossRef] [PubMed]
- Konno, H.; Abe, J.; Kaneko, T.; Baba, M.; Shoji, A.; Sunayama, K.; Kamiya, K.; Tanaka, T.; Suzuki, S.; Nakamura, S.; et al. Urokinase receptor and vascular endothelial growth factor are synergistically associated with the liver metastasis of colorectal cancer. Jpn. J. Cancer Res. 2001, 92, 516–523. [Google Scholar] [CrossRef]
- Illemann, M.; Laerum, O.D.; Hasselby, J.P.; Thurison, T.; Høyer-Hansen, G.; Nielsen, H.J.; Christensen, I.J. Urokinase-type plasminogen activator receptor (uPAR) on tumor-associated macrophages is a marker of poor prognosis in colorectal cancer. Cancer Med. 2014, 3, 855–864. [Google Scholar] [CrossRef]
- Dohn, L.H.; Pappot, H.; Iversen, B.R.; Illemann, M.; Høyer-Hansen, G.; Christensen, I.J.; Thind, P.; Salling, L.; von der Maase, H.; Laerum, O.D. uPAR Expression Pattern in Patients with Urothelial Carcinoma of the Bladder--Possible Clinical Implications. PLoS ONE 2015, 10, e0135824. [Google Scholar] [CrossRef][Green Version]
- Alpízar-Alpízar, W.; Christensen, I.J.; Santoni-Rugiu, E.; Skarstein, A.; Ovrebo, K.; Illemann, M.; Laerum, O.D. Urokinase plasminogen activator receptor on invasive cancer cells: A prognostic factor in distal gastric adenocarcinoma. Int. J. Cancer 2012, 131, E329–E336. [Google Scholar] [CrossRef]
- Rasmussen, L.J.H.; Schultz, M.; Gaardsting, A.; Ladelund, S.; Garred, P.; Iversen, K.; Eugen-Olsen, J.; Helms, M.; David, K.P.; Kjaer, A.; et al. Inflammatory biomarkers and cancer: CRP and suPAR as markers of incident cancer in patients with serious nonspecific symptoms and signs of cancer. Int. J. Cancer 2017, 141, 191–199. [Google Scholar] [CrossRef]
- Lomholt, A.F.; Høyer-Hansen, G.; Nielsen, H.J.; Christensen, I.J. Intact and cleaved forms of the urokinase receptor enhance discrimination of cancer from non-malignant conditions in patients presenting with symptoms related to colorectal cancer. Br. J. Cancer 2009, 101, 992–997. [Google Scholar] [CrossRef]
- Tarpgaard, L.S.; Christensen, I.J.; Høyer-Hansen, G.; Lund, I.K.; Guren, T.K.; Glimelius, B.; Sorbye, H.; Tveit, K.M.; Nielsen, H.J.; Moreira, J.M.; et al. Intact and cleaved plasma soluble urokinase receptor in patients with metastatic colorectal cancer treated with oxaliplatin with or without cetuximab. Int. J. Cancer 2015, 137, 2470–2477. [Google Scholar] [CrossRef]
- Stephens, R.W.; Nielsen, H.J.; Christensen, I.J.; Thorlacius-Ussing, O.; Sørensen, S.; Danø, K.; Brünner, N. Plasma urokinase receptor levels in patients with colorectal cancer: Relationship to prognosis. J. Natl. Cancer Inst. 1999, 91, 869–874. [Google Scholar] [CrossRef]
- Rolff, H.C.; Christensen, I.J.; Svendsen, L.B.; Wilhelmsen, M.; Lund, I.K.; Thurison, T.; Høyer-Hansen, G.; Illemann, M.; Nielsen, H.J. The concentration of the cleaved suPAR forms in pre- and postoperative plasma samples improves the prediction of survival in colorectal cancer: A nationwide multicenter validation and discovery study. J. Surg. Oncol. 2019, 120, 1404–1411. [Google Scholar] [CrossRef]
- Riisbro, R.; Christensen, I.J.; Nielsen, H.J.; Brunner, N.; Nilbert, M.; Fernebro, E. Preoperative plasma soluble urokinase plasminogen activator receptor as a prognostic marker in rectal cancer patients. An EORTC-Receptor and Biomarker Group collaboration. Int. J. Biol. Markers 2005, 20, 93–102. [Google Scholar] [CrossRef]
- Lomholt, A.F.; Christensen, I.J.; Høyer-Hansen, G.; Nielsen, H.J. Prognostic value of intact and cleaved forms of the urokinase plasminogen activator receptor in a retrospective study of 518 colorectal cancer patients. Acta Oncol. 2010, 49, 805–811. [Google Scholar] [CrossRef] [PubMed]
- Fernebro, E.; Madsen, R.R.; Fernö, M.; Brünner, N.; Bendahl, P.; Christensen, I.J.; Johnson, A.; Nilbert, M. Prognostic importance of the soluble plasminogen activator receptor, suPAR, in plasma from rectal cancer patients. Eur. J. Cancer 2001, 37, 486–491. [Google Scholar] [CrossRef]
- Velissaris, D.; Zareifopoulos, N.; Koniari, I.; Karamouzos, V.; Bousis, D.; Gerakaris, A.; Platanaki, C.; Kounis, N. Soluble Urokinase Plasminogen Activator Receptor as a Diagnostic and Prognostic Biomarker in Cardiac Disease. J. Clin. Med. Res. 2021, 13, 133–142. [Google Scholar] [CrossRef]
- Hamie, L.; Daoud, G.; Nemer, G.; Nammour, T.; El Chediak, A.; Uthman, I.W.; Kibbi, A.G.; Eid, A.; Kurban, M. SuPAR, an emerging biomarker in kidney and inflammatory diseases. Postgrad. Med. J. 2018, 94, 517–524. [Google Scholar] [CrossRef]
- Larsen, F.F.; Petersen, J.A. Novel biomarkers for sepsis: A narrative review. Eur. J. Intern. Med. 2017, 45, 46–50. [Google Scholar] [CrossRef]
- Eugen-Olsen, J.; Giamarellos-Bourboulis, E.J. suPAR: The unspecific marker for disease presence, severity and prognosis. Int. J. Antimicrob. Agents 2015, 46 (Suppl. 1), S33–S34. [Google Scholar] [CrossRef]
- Wagner, P.D.; Srivastava, S. New paradigms in translational science research in cancer biomarkers. Transl. Res. 2012, 159, 343–353. [Google Scholar] [CrossRef]
- Eisenhauer, E.A.; Therasse, P.; Bogaerts, J.; Schwartz, L.H.; Sargent, D.; Ford, R.; Dancey, J.; Arbuck, S.; Gwyther, S.; Mooney, M.; et al. New response evaluation criteria in solid tumours: Revised RECIST guideline (version 1.1). Eur. J. Cancer 2009, 45, 228–247. [Google Scholar] [CrossRef]
- McShane, L.M.; Altman, D.G.; Sauerbrei, W.; Taube, S.E.; Gion, M.; Clark, G.M. REporting recommendations for tumour MARKer prognostic studies (REMARK). Br. J. Cancer 2005, 93, 387–391. [Google Scholar] [CrossRef] [PubMed]
- Altman, D.G.; Royston, P. The cost of dichotomising continuous variables. Bmj 2006, 332, 1080. [Google Scholar] [CrossRef] [PubMed]
- Van Cutsem, E.; Cervantes, A.; Adam, R.; Sobrero, A.; Van Krieken, J.H.; Aderka, D.; Aranda Aguilar, E.; Bardelli, A.; Benson, A.; Bodoky, G.; et al. ESMO consensus guidelines for the management of patients with metastatic colorectal cancer. Ann. Oncol. 2016, 27, 1386–1422. [Google Scholar] [CrossRef] [PubMed]
- Winnicki, W.; Sunder-Plassmann, G.; Sengölge, G.; Handisurya, A.; Herkner, H.; Kornauth, C.; Bielesz, B.; Wagner, L.; Kikić, Ž.; Pajenda, S.; et al. Diagnostic and Prognostic Value of Soluble Urokinase-type Plasminogen Activator Receptor (suPAR) in Focal Segmental Glomerulosclerosis and Impact of Detection Method. Sci. Rep. 2019, 9, 13783. [Google Scholar] [CrossRef] [PubMed]
- Skovsted, T.A.; Petersen, E.R.B.; Fruekilde, M.B.; Pedersen, A.K.; Pielak, T.; Eugen-Olsen, J. Validation of suPAR turbidimetric assay on Cobas® (c502 and c702) and comparison to suPAR ELISA. Scand. J. Clin. Lab. Investig. 2020, 80, 327–335. [Google Scholar] [CrossRef] [PubMed]
- Hayek, S.S.; Raffield, L.M.; Gao, Y.; Engstrom, G.; Quyyumi, A.A.; Reiner, A.P.; Reiser, J. Assay-related Differences in SuPAR Levels: Implications for Measurement and Data Interpretation. medRxiv 2021. [Google Scholar] [CrossRef]


| Parameter | n (%) | Median Baseline suPAR Level (μg/L) | p-Value |
|---|---|---|---|
| Median age, year (range) | 65.9(41.3–81.1) | - | - |
| >65 | 70(53%) | 4.43 | 0.21 |
| ≤65 | 62(47%) | 4.22 | - |
| Gender | |||
| Female | 44(33.3%) | 4.80 | 0.03 |
| Male | 88(66.7%) | 4.22 | - |
| Location of primary tumor | |||
| Right/transverse colon | 42(31.8%) | 4.34 | 0.78 |
| Left colon | 43(32.6%) | 4.68 | - |
| Rectum | 46(34.8%) | 4.23 | - |
| Unknown | 1(0.8%) | 3.91 | - |
| M-Stage at diagnosis | |||
| 1 | 91(68.9%) | 4.32 | 0.74 |
| 0 | 41(31.1%) | 4.35 | - |
| MSI-status | |||
| MSS | 125(94.7%) | 4.26 | 0.44 |
| MSI | 5(3.8%) | 5.91 | - |
| Unknown | 2(1.5%) | 5.12 | - |
| Prior treatment regiments | |||
| 0 | 77(58.3%) | 4.41 | 0.06 |
| ≥1 | 55(41.7%) | 3.91 | - |
| Performance status | |||
| 0 | 93(70.5%) | 4.01 | <0.01 |
| 1–2 | 39(29.5%) | 5.50 | - |
| RAS/RAF-status | |||
| Mutated | 60(45.5%) | 4.31 | 0.99 |
| Wild Type | 72(54.5%) | 4.34 | - |
| Status | Dynamics | Total | |
|---|---|---|---|
| Increase | Stable/Decrease | ||
| Progressive disease/stable disease | 9 | 82 | 91 |
| Partial or complete response | 2 | 34 | 36 |
| Total | 11 | 116 | 127 |
| Parameter | Simple Test | Multiple Test | ||
|---|---|---|---|---|
| RR (95% CI) | p-Value | RR (95% CI) | p-Value | |
| Gender | ||||
| Female | 1.08 (0.66–1.78) | 0.76 | - | - |
| Male | 1 | - | - | - |
| Age, median 70 | ||||
| >65 | 1.08 (0.67–1.76) | 0.74 | - | - |
| ≤65 | 1 | - | - | - |
| M-stage at diagnosis | ||||
| 1 | 0.81 (0.48–1.37) | 0.43 | - | - |
| 0 | 1 | - | - | - |
| Performance status | ||||
| 1–2 | 3.21 (1.94–5.31) | <0.01 | 3.05 (1.83–5.07) | <0.01 |
| 0 | 1 | - | 1 | - |
| Tumor location | ||||
| Rectum | 0.67 (0.37–1.22) | 0.19 | - | - |
| Left colon | 0.74 (0.41–1.34) | 0.32 | - | - |
| Right colon | 1 | - | - | - |
| MSI status | ||||
| MSS | 1.51 (0.37–6.18) | 0.57 | - | - |
| MSI | 1 | - | - | - |
| suPAR | ||||
| ≥ median | 1.76 (1.06–2.92) | 0.03 | 1.59 (0.95–2.65) | 0.08 |
| < median | 1 | - | 1 | |
| Line of treatment | ||||
| Second or later | 1.40 (0.87–2.26) | 0.17 | - | - |
| First | 1 | - | - | - |
| RAS/RAF status | ||||
| Mutated | 1.04 (0.62–1.76) | 0.87 | - | - |
| Wt | 1 | - | - | - |
Publisher’s Note: MDPI stays neutral with regard to jurisdictional claims in published maps and institutional affiliations. |
© 2021 by the authors. Licensee MDPI, Basel, Switzerland. This article is an open access article distributed under the terms and conditions of the Creative Commons Attribution (CC BY) license (https://creativecommons.org/licenses/by/4.0/).
Share and Cite
Blomberg, K.; Hansen, T.F.; Brasen, C.L.; Madsen, J.B.; Jensen, L.H.; Thomsen, C.B. The Soluble Urokinase-Type Plasminogen Activator Receptor as a Biomarker for Survival and Early Treatment Effect in Metastatic Colorectal Cancer. Cancers 2021, 13, 5100. https://doi.org/10.3390/cancers13205100
Blomberg K, Hansen TF, Brasen CL, Madsen JB, Jensen LH, Thomsen CB. The Soluble Urokinase-Type Plasminogen Activator Receptor as a Biomarker for Survival and Early Treatment Effect in Metastatic Colorectal Cancer. Cancers. 2021; 13(20):5100. https://doi.org/10.3390/cancers13205100
Chicago/Turabian StyleBlomberg, Kristian, Torben F. Hansen, Claus L. Brasen, Jeppe B. Madsen, Lars H. Jensen, and Caroline B. Thomsen. 2021. "The Soluble Urokinase-Type Plasminogen Activator Receptor as a Biomarker for Survival and Early Treatment Effect in Metastatic Colorectal Cancer" Cancers 13, no. 20: 5100. https://doi.org/10.3390/cancers13205100
APA StyleBlomberg, K., Hansen, T. F., Brasen, C. L., Madsen, J. B., Jensen, L. H., & Thomsen, C. B. (2021). The Soluble Urokinase-Type Plasminogen Activator Receptor as a Biomarker for Survival and Early Treatment Effect in Metastatic Colorectal Cancer. Cancers, 13(20), 5100. https://doi.org/10.3390/cancers13205100

