Early Imaging and Molecular Changes with Neoadjuvant Bevacizumab in Stage II/III Breast Cancer
Abstract
Simple Summary
Abstract
1. Introduction
2. Results
2.1. Patient Characteristics
2.2. Treatment Efficacy and Response
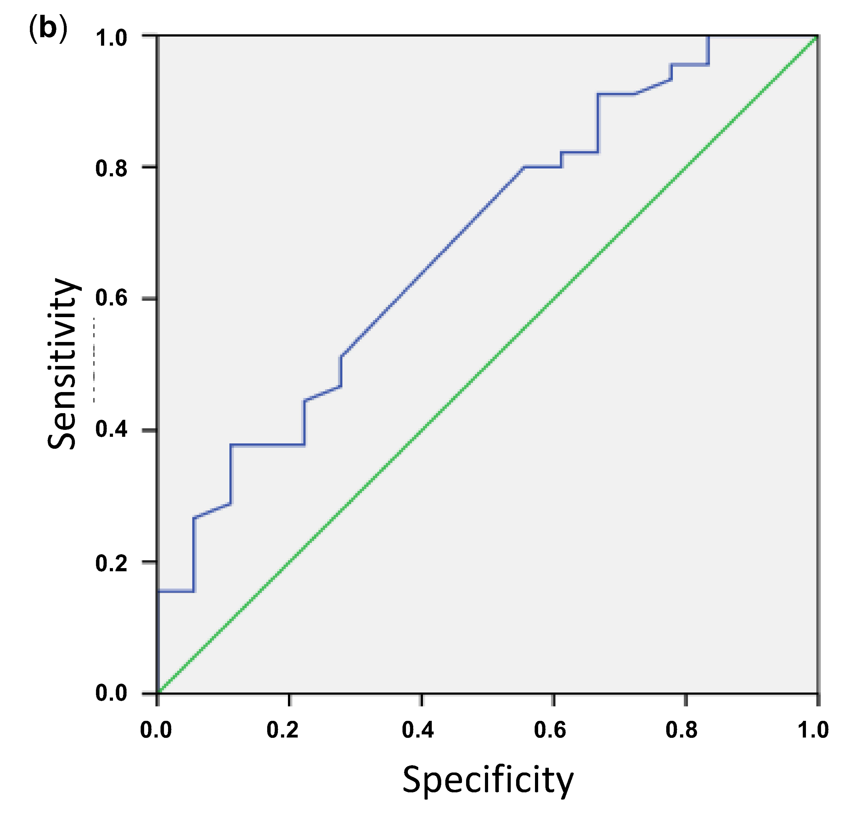
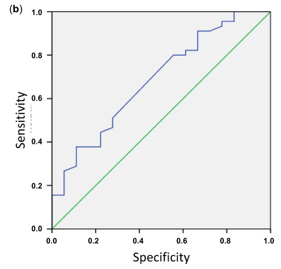
2.2.1. Clinical Value of Noninvasive Tumour Imaging Techniques
2.2.2. Analysis of Gene Expression
2.3. Treatment Safety
3. Discussion
4. Materials and Methods
4.1. Patients
4.2. Study Design
4.3. Clinical Assessments
4.4. Treatment Efficacy
4.5. Positron Emission Tomography
4.6. Dynamic Contrast-Enhanced Magnetic Resonance Imaging
4.7. Immunohistochemistry
4.8. Gene Profiling
4.9. Statistical Analysis
5. Conclusions
Supplementary Materials
Author Contributions
Funding
Institutional Review Board Statement
Informed Consent Statement
Data Availability Statement
Acknowledgments
Conflicts of Interest
Data Sharing
Appendix A
Appendix A.1. PET Scanning and Reconstruction
Appendix A.2. FLT Synthesis
Appendix A.3. FLT Quantification
Appendix A.4. Gene Profiling and Validation
References
- Holmes, K.; Roberts, O.L.; Thomas, A.M.; Cross, M.J. Vascular endothelial growth factor receptor-2: Structure, function, intracellular signalling and therapeutic inhibition. Cell. Signal. 2007, 19, 2003–2012. [Google Scholar] [CrossRef]
- Simons, M. An inside view: VEGF receptor trafficking and signaling. Physiology 2012, 27, 213–222. [Google Scholar] [CrossRef]
- Edelman, M.J.; Hodgson, L.; Wang, X.; Christenson, R.; Jewell, S.; Vokes, E.; Kratzke, R. Serum vascular endothelial growth factor and COX-2/5-LOX inhibition in advanced non-small cell lung cancer: Cancer and Leukemia Group B 150304. J. Thorac. Oncol. 2011, 6, 1902–1906. [Google Scholar] [CrossRef]
- Tsai, H.L.; Yeh, Y.S.; Chang, Y.T.; Yang, I.P.; Lin, C.H.; Kuo, C.H.; Juo, S.H.; Wang, J.Y. Co-existence of cyclin D1 and vascular endothelial growth factor protein expression is a poor prognostic factor for UICC stage I-III colorectal cancer patients after curative resection. J. Surg. Oncol. 2013, 107, 148–154. [Google Scholar] [CrossRef]
- Wang, J.; Guo, Y.; Wang, B.; Bi, J.; Li, K.; Liang, X.; Chu, H.; Jiang, H. Lymphatic microvessel density and vascular endothelial growth factor-C and -D as prognostic factors in breast cancer: A systematic review and meta-analysis of the literature. Mol. Biol. Rep. 2012, 39, 11153–11165. [Google Scholar] [CrossRef] [PubMed]
- Kristensen, T.B.; Knutsson, M.L.; Wehland, M.; Laursen, B.E.; Grimm, D.; Warnke, E.; Magnusson, N.E. Anti-vascular endothelial growth factor therapy in breast cancer. Int. J. Mol. Sci. 2014, 15, 23024–23041. [Google Scholar] [CrossRef] [PubMed]
- European Medical Agency. Avastin®: Summary of Product Characteristics. Available online: http://www.ema.europa.eu/docs/en_GB/document_library/EPAR_-_Product_Information/human/000582/WC500029271.pdf (accessed on 25 October 2016).
- US Food and Drug Administration. Avastin®: Prescribing Information. Available online: http://www.accessdata.fda.gov/drugsatfda_docs/label/2013/125085s263lbl.pdf (accessed on 25 October 2016).
- von Minckwitz, G.; Puglisi, F.; Cortes, J.; Vrdoljak, E.; Marschner, N.; Zielinski, C.; Villanueva, C.; Romieu, G.; Lang, I.; Ciruelos, E.; et al. Bevacizumab plus chemotherapy versus chemotherapy alone as second-line treatment for patients with HER2-negative locally recurrent or metastatic breast cancer after first-line treatment with bevacizumab plus chemotherapy (TANIA): An open-label, randomised phase 3 trial. Lancet Oncol. 2014, 15, 1269–1278. [Google Scholar] [CrossRef] [PubMed]
- Brufsky, A.M.; Hurvitz, S.; Perez, E.; Swamy, R.; Valero, V.; O’Neill, V.; Rugo, H.S. RIBBON-2: A randomized, double-blind, placebo-controlled, phase III trial evaluating the efficacy and safety of bevacizumab in combination with chemotherapy for second-line treatment of human epidermal growth factor receptor 2-negative metastatic breast cancer. J. Clin. Oncol. 2011, 29, 4286–4293. [Google Scholar] [CrossRef] [PubMed]
- Robert, N.J.; Dieras, V.; Glaspy, J.; Brufsky, A.M.; Bondarenko, I.; Lipatov, O.N.; Perez, E.A.; Yardley, D.A.; Chan, S.Y.; Zhou, X.; et al. RIBBON-1: Randomized, double-blind, placebo-controlled, phase III trial of chemotherapy with or without bevacizumab for first-line treatment of human epidermal growth factor receptor 2-negative, locally recurrent or metastatic breast cancer. J. Clin. Oncol. 2011, 29, 1252–1260. [Google Scholar] [CrossRef] [PubMed]
- Miller, K.; Wang, M.; Gralow, J.; Dickler, M.; Cobleigh, M.; Perez, E.A.; Shenkier, T.; Cella, D.; Davidson, N.E. Paclitaxel plus bevacizumab versus paclitaxel alone for metastatic breast cancer. N. Engl. J. Med. 2007, 357, 2666–2676. [Google Scholar] [CrossRef]
- Miller, K.D.; Chap, L.I.; Holmes, F.A.; Cobleigh, M.A.; Marcom, P.K.; Fehrenbacher, L.; Dickler, M.; Overmoyer, B.A.; Reimann, J.D.; Sing, A.P.; et al. Randomized phase III trial of capecitabine compared with bevacizumab plus capecitabine in patients with previously treated metastatic breast cancer. J. Clin. Oncol. 2005, 23, 792–799. [Google Scholar] [CrossRef]
- Sanghera, B.; Wong, W.L.; Sonoda, L.I.; Beynon, G.; Makris, A.; Woolf, D.; Ardeshna, K. FLT PET-CT in evaluation of treatment response. Indian J. Nucl. Med. 2014, 29, 65–73. [Google Scholar] [CrossRef]
- Eschmann, S.M.; Paulsen, F.; Bedeshem, C.; Machulla, H.J.; Hehr, T.; Bamberg, M.; Bares, R. Hypoxia-imaging with (18)F-Misonidazole and PET: Changes of kinetics during radiotherapy of head-and-neck cancer. Radiother. Oncol. 2007, 83, 406–410. [Google Scholar] [CrossRef]
- Eschmann, S.M.; Paulsen, F.; Reimold, M.; Dittmann, H.; Welz, S.; Reischl, G.; Machulla, H.J.; Bares, R. Prognostic impact of hypoxia imaging with 18F-misonidazole PET in non-small cell lung cancer and head and neck cancer before radiotherapy. J. Nucl. Med. 2005, 46, 253–260. [Google Scholar]
- Hylton, N. Dynamic contrast-enhanced magnetic resonance imaging as an imaging biomarker. J. Clin. Oncol. 2006, 24, 3293–3298. [Google Scholar] [CrossRef]
- Law, W.P.; Miles, K.A. Incorporating prognostic imaging biomarkers into clinical practice. Cancer Imaging 2013, 13, 332–341. [Google Scholar] [CrossRef] [PubMed]
- Carmeliet, P.; Pallaud, C.; Deurloo, R.J.; Bubuteishvili-Pacaud, L.; Henschel, V.; Dent, R.; Bell, R.; Mackey, J.; Scherer, S.J.; Cameron, D. Plasma VEGF-A and VEGFR-2 biomarker results from the BEATRICE phase III trial of bevacizumab (BEV) in triple-negative early breast cancer. Cancer Res. 2012, 72. [Google Scholar] [CrossRef]
- Miles, D.W.; de Haas, S.L.; Dirix, L.Y.; Romieu, G.; Chan, A.; Pivot, X.; Tomczak, P.; Provencher, L.; Cortes, J.; Delmar, P.R.; et al. Biomarker results from the AVADO phase 3 trial of first-line bevacizumab plus docetaxel for HER2-negative metastatic breast cancer. Br. J. Cancer 2013, 108, 1052–1060. [Google Scholar] [CrossRef]
- Gianni, L.; Chan, A.; Mansutti, M.; Pivot, X.; Greil, R.; Provencher, L.; Prot, S.; Moore, N.; Scherer, S.J.; Pallaud, C. Biomarker results from the phase III AVEREL trial of 1st-line bevacizumab, trastuzumab plus docetaxel for HER2-positive locally recurrent/metastatic breast cancer. Ann. Oncol. 2012, 23, 531. [Google Scholar] [CrossRef]
- Jurgensmeier, J.M.; Schmoll, H.J.; Robertson, J.D.; Brooks, L.; Taboada, M.; Morgan, S.R.; Wilson, D.; Hoff, P.M. Prognostic and predictive value of VEGF, sVEGFR-2 and CEA in mCRC studies comparing cediranib, bevacizumab and chemotherapy. Br. J. Cancer 2013, 108, 1316–1323. [Google Scholar] [CrossRef] [PubMed]
- Wedam, S.B.; Low, J.A.; Yang, S.X.; Chow, C.K.; Choyke, P.; Danforth, D.; Hewitt, S.M.; Berman, A.; Steinberg, S.M.; Liewehr, D.J.; et al. Antiangiogenic and antitumor effects of bevacizumab in patients with inflammatory and locally advanced breast cancer. J. Clin. Oncol. 2006, 24, 769–777. [Google Scholar] [CrossRef]
- Banys-Paluchowski, M.; Witzel, I.; Riethdorf, S.; Pantel, K.; Rack, B.; Janni, W.; Fasching, P.A.; Aktas, B.; Kasimir-Bauer, S.; Hartkopf, A.; et al. The clinical relevance of serum vascular endothelial growth factor (VEGF) in correlation to circulating tumor cells and other serum biomarkers in patients with metastatic breast cancer. Breast Cancer Res. Treat. 2018, 172, 93–104. [Google Scholar] [CrossRef]
- Miles, D.; Cameron, D.; Bondarenko, I.; Manzyuk, L.; Alcedo, J.C.; Lopez, R.I.; Im, S.A.; Canon, J.L.; Shparyk, Y.; Yardley, D.A.; et al. Bevacizumab plus paclitaxel versus placebo plus paclitaxel as first-line therapy for HER2-negative metastatic breast cancer (MERiDiAN): A double-blind placebo-controlled randomised phase III trial with prospective biomarker evaluation. Eur. J. Cancer 2017, 70, 146–155. [Google Scholar] [CrossRef]
- Liang, X.; Li, H.; Coussy, F.; Callens, C.; Lerebours, F. An update on biomarkers of potential benefit with bevacizumab for breast cancer treatment: Do we make progress? Chin J Cancer Res. 2019, 31, 586–600. [Google Scholar] [CrossRef] [PubMed]
- Hussain, S.A.; Ganesan, R.; Reynolds, G.; Gross, L.; Stevens, A.; Pastorek, J.; Murray, P.G.; Perunovic, B.; Anwar, M.S.; Billingham, L.; et al. Hypoxia-regulated carbonic anhydrase IX expression is associated with poor survival in patients with invasive breast cancer. Br. J. Cancer 2007, 96, 104–109. [Google Scholar] [CrossRef] [PubMed]
- Milani, M.; Harris, A.L. Targeting tumour hypoxia in breast cancer. Eur. J. Cancer 2008, 44, 2766–2773. [Google Scholar] [CrossRef]
- Mikhaylova, M.; Mori, N.; Wildes, F.B.; Walczak, P.; Gimi, B.; Bhujwalla, Z.M. Hypoxia increases breast cancer cell-induced lymphatic endothelial cell migration. Neoplasia 2008, 10, 380–389. [Google Scholar] [CrossRef]
- Vaupel, P.; Briest, S.; Hockel, M. Hypoxia in breast cancer: Pathogenesis, characterization and biological/therapeutic implications. Wien Med. Wochenschr. 2002, 152, 334–342. [Google Scholar] [CrossRef]
- Chaudary, N.; Hill, R.P. Hypoxia and metastasis in breast cancer. Breast Dis. 2006, 26, 55–64. [Google Scholar] [CrossRef]
- Rundqvist, H.; Johnson, R.S. Tumour oxygenation: Implications for breast cancer prognosis. J. Intern. Med. 2013, 274, 105–112. [Google Scholar] [CrossRef]
- Gerhardt, H. VEGF and endothelial guidance in angiogenic sprouting. Organogenesis 2008, 4, 241–246. [Google Scholar] [CrossRef]
- Scherpereel, A.; Gentina, T.; Grigoriu, B.; Senechal, S.; Janin, A.; Tsicopoulos, A.; Plenat, F.; Bechard, D.; Tonnel, A.B.; Lassalle, P. Overexpression of endocan induces tumor formation. Cancer Res. 2003, 63, 6084–6089. [Google Scholar]
- Chen, L.Y.; Liu, X.; Wang, S.L.; Qin, C.Y. Over-expression of the Endocan gene in endothelial cells from hepatocellular carcinoma is associated with angiogenesis and tumour invasion. J. Int. Med. Res. 2010, 38, 498–510. [Google Scholar] [CrossRef]
- Roudnicky, F.; Poyet, C.; Wild, P.; Krampitz, S.; Negrini, F.; Huggenberger, R.; Rogler, A.; Stohr, R.; Hartmann, A.; Provenzano, M.; et al. Endocan is upregulated on tumor vessels in invasive bladder cancer where it mediates VEGF-A-induced angiogenesis. Cancer Res. 2013, 73, 1097–1106. [Google Scholar] [CrossRef] [PubMed]
- Tian, S.; Roepman, P.; Van’t Veer, L.J.; Bernards, R.; de Snoo, F.; Glas, A.M. Biological functions of the genes in the mammaprint breast cancer profile reflect the hallmarks of cancer. Biomark. Insights 2010, 5, 129–138. [Google Scholar] [CrossRef]
- Strasser, G.A.; Kaminker, J.S.; Tessier-Lavigne, M. Microarray analysis of retinal endothelial tip cells identifies CXCR4 as a mediator of tip cell morphology and branching. Blood 2010, 115, 5102–5110. [Google Scholar] [CrossRef] [PubMed]
- Almog, N.; Ma, L.; Raychowdhury, R.; Schwager, C.; Erber, R.; Short, S.; Hlatky, L.; Vajkoczy, P.; Huber, P.E.; Folkman, J.; et al. Transcriptional switch of dormant tumors to fast-growing angiogenic phenotype. Cancer Res. 2009, 69, 836–844. [Google Scholar] [CrossRef] [PubMed]
- Almog, N.; Briggs, C.; Beheshti, A.; Ma, L.; Wilkie, K.P.; Rietman, E.; Hlatky, L. Transcriptional changes induced by the tumor dormancy-associated microRNA-190. Transcription 2013, 4, 177–191. [Google Scholar] [CrossRef] [PubMed]
- Huang, H.; Bhat, A.; Woodnutt, G.; Lappe, R. Targeting the ANGPT-TIE2 pathway in malignancy. Nat. Rev. Cancer 2010, 10, 575–585. [Google Scholar] [CrossRef] [PubMed]
- Singletary, S.E.; Allred, C.; Ashley, P.; Bassett, L.W.; Berry, D.; Bland, K.I.; Borgen, P.I.; Clark, G.; Edge, S.B.; Hayes, D.F.; et al. Revision of the American Joint Committee on Cancer staging system for breast cancer. J. Clin. Oncol. 2002, 20, 3628–3636. [Google Scholar] [CrossRef] [PubMed]
- National Comprehensive Cancer Network. NCCN Clinical Practice Guidelines in Oncology (NCCN Guidelines®) Breast Cancer, Version 2.2016. Available online: http://www.nccn.org/professionals/physician_gls/pdf/breast.pdf (accessed on 3 February 2017).
- Cancer Therapy Evaluation Program. Common Terminaology Criteria for Adverse Events, Version 3.0. Available online: http://ctep.cancer.gob/protocoldevelopment/electronic_applications/docs/ctcaev3.pdf (accessed on 3 February 2017).
- Ogston, K.N.; Miller, I.D.; Payne, S.; Hutcheon, A.W.; Sarkar, T.K.; Smith, I.; Schofield, A.; Heys, S.D. A new histological grading system to assess response of breast cancers to primary chemotherapy: Prognostic significance and survival. Breast 2003, 12, 320–327. [Google Scholar] [CrossRef]
- Fizazi, K.; Morat, L.; Chauveinc, L.; Prapotnich, D.; De Crevoisier, R.; Escudier, B.; Cathelineau, X.; Rozet, F.; Vallancien, G.; Sabatier, L.; et al. High detection rate of circulating tumor cells in blood of patients with prostate cancer using telomerase activity. Ann. Oncol. 2007, 18, 518–521. [Google Scholar] [CrossRef]
- Tofts, P.S.; Brix, G.; Buckley, D.L.; Evelhoch, J.L.; Henderson, E.; Knopp, M.V.; Larsson, H.B.; Lee, T.Y.; Mayr, N.A.; Parker, G.J.; et al. Estimating kinetic parameters from dynamic contrast-enhanced T(1)-weighted MRI of a diffusable tracer: Standardized quantities and symbols. J. Magn. Reson. Imaging 1999, 10, 223–232. [Google Scholar] [CrossRef]
- Cheng, C.; Pounds, S. False discovery rate paradigms for statistical analyses of microarray gene expression data. Bioinformation 2007, 1, 436–446. [Google Scholar] [CrossRef][Green Version]
- Carey, V.J.; Gentry, J.; Whalen, E.; Gentleman, R. Network structures and algorithms in Bioconductor. Bioinformatics 2005, 21, 135–136. [Google Scholar] [CrossRef]
- Marti-Climent, J.M.; Dominguez-Prado, I.; Garcia-Velloso, M.J.; Boni, V.; Penuelas, I.; Toledo, I.; Richter, J.A. [18F]fluorothymidine-positron emission tomography in patients with locally advanced breast cancer under bevacizumab treatment: Usefulness of different quantitative methods of tumor proliferation. Rev. Esp. Med. Nucl. Imagen Mol. 2014, 33, 280–285. [Google Scholar] [CrossRef]
- Yun, M.; Oh, S.J.; Ha, H.J.; Ryu, J.S.; Moon, D.H. High radiochemical yield synthesis of 3′-deoxy-3′-[18F] fluorothymidine using (5′-O-dimethoxytrityl-2′-deoxy-3′-O-nosyl-beta-D-threo pentofuranosyl)thymine and its 3-N-BOC-protected analogue as a labeling precursor. Nucl. Med. Biol. 2003, 30, 151–157. [Google Scholar] [CrossRef]
- Patlak, C.S.; Blasberg, R.G.; Fenstermacher, J.D. Graphical evaluation of blood-to-brain transfer constants from multiple-time uptake data. J. Cereb. Blood Flow. Metab. 1983, 3, 1–7. [Google Scholar] [CrossRef]



| Characteristics | Patients | |
|---|---|---|
| (n = 73) | ||
| Mean age, years (SD) | 48.3 (9.8) | |
| Menopausal status | ||
| Pre | 32 (43.8) | |
| Post | 9 (12.3) | |
| Amenorrhoea > 2 years | 11 (15.1) | |
| N/A | 21 (28.8) | |
| Histopathological type | ||
| Ductal | 63 (86.3) | |
| Lobular | 3 (4.1) | |
| Mixed ductal and lobular | 3 (4.1) | |
| Mucinous | 1 (1.4) | |
| Adenocarcinoma NOS | 2 (2.7) | |
| Primary occult tumour | 1 (1.4) | |
| Histopathological grade | ||
| G1 | 19 (26.0) | |
| G2 | 37 (50.7) | |
| G3 | 16 (21.9) | |
| Gx | 1 (1.4) | |
| Tumour size | ||
| T2 | 58 (79.5) | |
| T3 | 14 (19.2) | |
| Tx | 1 (1.4) | |
| Lymph node status | ||
| N0 | 30 (41.1) | |
| N1 | 36 (49.3) | |
| N2 | 7 (9.6) | |
| Clinical stage IIA IIB IIIA | ||
| (T2N0) | 23 (31.5) | |
| (T2N1) | 30 (41.1) | |
| (T3N0) | 7 (9.5) | |
| (TxN2) | 1 (1.3) | |
| (T2N2) | 5 (6.8) | |
| (T3N1) | 6 (9.5) | |
| (T3N2) | 1 (1.3) | |
| HER2 status | ||
| HER2+ | 14 (19.2) | |
| HER2− | 56 (76.7) | |
| N/A | 3 (4.1) | |
| Ki-67 proliferation index | ||
| High (>14%) | 49 (67.1) | |
| Low (<14%) | 22 (30.1) | |
| Clinical subtypes | ||
| Triple negative | 11 (15.1) | |
| HER2 positive | 14 (19.2) | |
| Luminal A | 16 (21.9) | |
| Luminal B | 29 (39.7) | |
| Tumour Characteristics | FLT SUVmax | ||
|---|---|---|---|
| Median (IQR) | p Value | ||
| Size | T2 | 2.75 (1.58–3.92) | 0.577 |
| T3 | 2.94 (2.11–4.86) | ||
| Lymph node status | N0 | 2.13 (1.38–3.60) | 0.036 |
| N1 | 2.81 (1.87–3.93) | ||
| N2 | 3.95 (3.47–5.99) | ||
| Clinical stage | II | 2.62 (1.53–3.77) | 0.006 |
| III | 3.81 (2.87–5.34) | ||
| Tumour grade | G1 | 2.11 (1.30–2.90) | 0.001 |
| G2 | 2.59 (1.73–3.92) | ||
| G3 | 3.99 (3.40–5.42) | ||
| ER status | Positive | 2.69 (1.55–3.78) | 0.009 |
| Negative | 3.72 (3.06–5.51) | ||
| PgR status | Positive | 2.72 (1.48–3.77) | 0.07 |
| Negative | 3.40 (2.15–4.21) | ||
| HER2 status | Positive | 2.78 (2.13–3.83) | 0.649 |
| Negative | 2.78 (1.47–4.09) | ||
| Ki-67 | <14% | 2.03 (1.39–3.26) | 0.029 |
| >14% | 3.23 (2.12–4.30) | ||
| Clinical subtype | Triple negative | 4.15 (3.35–5.57) | 0.004 |
| HER2 positive | 2.78 (2.13–3.83) | ||
| Luminal A | 1.67 (1.28–2.69) | ||
| Luminal B | 2.94 (1.90–3.93) | ||
| Imaging Parameters | Pre-Bev, Median (IQR) | Post-Bev, Median (IQR) | Pre-Bev to Post-Bev, % Change Median (IQR) | p 1 | Patients, n |
|---|---|---|---|---|---|
| PET | |||||
| FLT SUVmax | 2.78 (2.34) | 1.85 (1.41) | −26.06 (25.85) | <0.001 | 68 |
| FLT TTR | 6.1 (6.5) | 4.4 (3.59) | −17.42 (34.93) | <0.001 | 68 |
| PTAc | 16.85 (26.27) | 10.56 (16.77) | −30.11 (35.79) | <0.001 | 63 |
| FMISO SUVmax | 1.21 (0.49) | 1.15 (0.48) | −1.89 (19.85) | 0.289 | 66 |
| FMISO TTR | 1.04 (0.43) | 1.08 (0.41) | −2.07 (22.77) | 0.648 | 66 |
| HTAc | 13.53 (18.11) | 10.36 (18.4) | −6.6 (59.31) | 0.124 | 66 |
| DCE-MRI | |||||
| Ktrans | 115.25 (89) | 58.5 (48.5) | −46.08 (37.96) | <0.001 | 70 |
| Kep | 260.75 (155.88) | 158.5 (95) | −37.87 (34.51) | <0.001 | 70 |
| Ve | 472.5 (187.5) | 423 (212.5) | −10.95 (33.71) | 0.001 | 70 |
| AUC60 | 11.83 (9.32) | 6.22 (6.25) | −46.14 (39.73) | <0.001 | 70 |
| System Organ Class | Preferred Term | Grade 3, n (%) | Grade 4, n (%) | Total, n (%) |
|---|---|---|---|---|
| Blood and lymphatic system disorders | Febrile neutropenia | 8 (11.0) | 21 (28.8) | 29 (39.7) |
| Leukopenia | 8 (11.0) | 6 (8.2) | 14 (19.2) | |
| Neutropenia | 4 (5.5) | 10 (13.7) | 14 (19.2) | |
| Febrile bone marrow aplasia | 1 (1.4) | - | 1 (1.4) | |
| GI disorders | Stomatitis | 3 (4.1) | - | 3 (4.1) |
| Vomiting | 3 (4.1) | - | 3 (4.1) | |
| Diarrhoea | 1 (1.4) | - | 1 (1.4) | |
| GI mucositis | 1 (1.4) | - | 1 (1.4) | |
| Infections/Infestations | H1N1 influenza | - | 1 (1.4) | 1 (1.4) |
| Infection | 1 (1.4) | - | 1 (1.4) | |
| Vulvar abscess | 1 (1.4) | - | 1 (1.4) | |
| General disorders | Asthenia | 1 (1.4) | - | 1 (1.4) |
| Mucosal inflammation | 1 (1.4) | - | 1 (1.4) | |
| Reproductive system/ breast disorders | Menstruation irregular | 2 (2.7) | - | 2 (2.7) |
| Immune system disorders | Drug hypersensitivity | 1 (1.4) | - | 1 (1.4) |
| Investigations | Blood potassium decreased | 1 (1.4) | - | 1 (1.4) |
| Skin/subcutaneous tissue disorders | PPES | 1 (1.4) | - | 1 (1.4) |
| Vascular disorders | Hypertension | 1 (1.4) | - | 1 (1.4) |
Publisher’s Note: MDPI stays neutral with regard to jurisdictional claims in published maps and institutional affiliations. |
© 2021 by the authors. Licensee MDPI, Basel, Switzerland. This article is an open access article distributed under the terms and conditions of the Creative Commons Attribution (CC BY) license (https://creativecommons.org/licenses/by/4.0/).
Share and Cite
López-Vega, J.M.; Álvarez, I.; Antón, A.; Illarramendi, J.J.; Llombart, A.; Boni, V.; García-Velloso, M.J.; Martí-Climent, J.M.; Pina, L.; García-Foncillas, J. Early Imaging and Molecular Changes with Neoadjuvant Bevacizumab in Stage II/III Breast Cancer. Cancers 2021, 13, 3511. https://doi.org/10.3390/cancers13143511
López-Vega JM, Álvarez I, Antón A, Illarramendi JJ, Llombart A, Boni V, García-Velloso MJ, Martí-Climent JM, Pina L, García-Foncillas J. Early Imaging and Molecular Changes with Neoadjuvant Bevacizumab in Stage II/III Breast Cancer. Cancers. 2021; 13(14):3511. https://doi.org/10.3390/cancers13143511
Chicago/Turabian StyleLópez-Vega, José Manuel, Isabel Álvarez, Antonio Antón, José Juan Illarramendi, Antonio Llombart, Valentina Boni, María José García-Velloso, Josep María Martí-Climent, Luis Pina, and Jesús García-Foncillas. 2021. "Early Imaging and Molecular Changes with Neoadjuvant Bevacizumab in Stage II/III Breast Cancer" Cancers 13, no. 14: 3511. https://doi.org/10.3390/cancers13143511
APA StyleLópez-Vega, J. M., Álvarez, I., Antón, A., Illarramendi, J. J., Llombart, A., Boni, V., García-Velloso, M. J., Martí-Climent, J. M., Pina, L., & García-Foncillas, J. (2021). Early Imaging and Molecular Changes with Neoadjuvant Bevacizumab in Stage II/III Breast Cancer. Cancers, 13(14), 3511. https://doi.org/10.3390/cancers13143511

