The Impact of Thromboprophylaxis on the Survival of Patients with Advanced Pancreatic Cancer. The Pancreatic Cancer and Tinzaparin (PaCT) Study
Abstract
Simple Summary
Abstract
1. Introduction
2. Material and Methods
2.1. Study Design
2.2. Reference PFS
2.3. Statistical Analysis
3. Results
3.1. Baseline Characteristics
3.2. PFS of Patients Receiving Tinzaparin
3.3. PFS Comparison
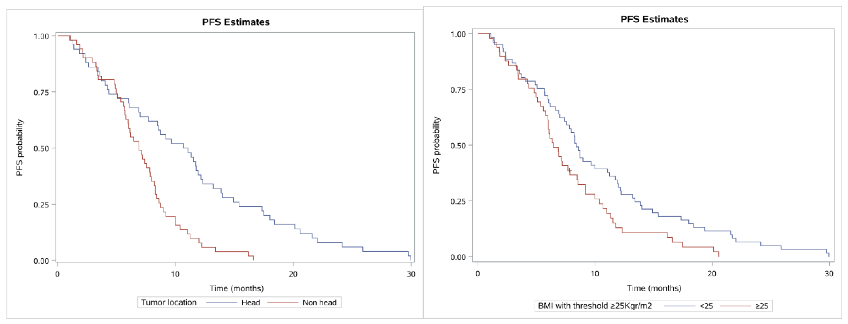
3.4. Study of Other Factors That Could Affect PFS
3.5. Efficacy and Safety during Anticoagulation
4. Discussion
5. Conclusions
Author Contributions
Funding
Institutional Review Board Statement
Informed Consent Statement
Data Availability Statement
Conflicts of Interest
References
- Gillen, S.; Schuster, T.; Meyer Zum Buschenfelde, C.; Friess, H.; Kleeff, J. Preoperative/neoadjuvant therapy in pancreatic cancer: A systematic review and meta-analysis of response and resection percentages. PLoS Med. 2010, 7, e1000267. [Google Scholar] [CrossRef]
- Von Hoff, D.D.; Ervin, T.; Arena, F.P.; Chiorean, E.G.; Infante, J.; Moore, M.; Seay, T.; Tjulandin, S.A.; Ma, W.W.; Saleh, M.N.; et al. Increased survival in pancreatic cancer with nab-paclitaxel plus gemcitabine. N. Engl. J. Med. 2013, 369, 1691–1703. [Google Scholar] [CrossRef]
- Timp, J.F.; Braekkan, S.K.; Versteeg, H.H.; Cannegieter, S.C. Epidemiology of cancer-associated venous thrombosis. Blood 2013, 122, 1712–1723. [Google Scholar] [CrossRef] [PubMed]
- Bariety, M. [Tribute to Armand Trousseau (14 October 1801–23 June 1867)]. Bull. L’acad. Natl. Med. 1967, 151, 627–635. [Google Scholar]
- Sproul, E.E. Carcinoma and Venous Thrombosis: The Frequency of Association of Carcinoma in the Body or Tail of the Pancreas with Multiple Venous Thrombosis. Am. J. Cancer 1938, 34, 566–585. [Google Scholar] [CrossRef]
- Campello, E.; Ilich, A.; Simioni, P.; Key, N.S. The relationship between pancreatic cancer and hypercoagulability: A comprehensive review on epidemiological and biological issues. Br. J. Cancer 2019, 121, 359–371. [Google Scholar] [CrossRef] [PubMed]
- Maraveyas, A. Pancreatic cancer: A model cancer for the study of the therapeutic effects of anticoagulants. World J. Gastrointest. Oncol. 2009, 1, 38–40. [Google Scholar] [CrossRef]
- Khorana, A.A.; Fine, R.L. Pancreatic cancer and thromboembolic disease. Lancet Oncol. 2004, 5, 655–663. [Google Scholar] [CrossRef]
- Mandala, M.; Reni, M.; Cascinu, S.; Barni, S.; Floriani, I.; Cereda, S.; Berardi, R.; Mosconi, S.; Torri, V.; Labianca, R. Venous thromboembolism predicts poor prognosis in irresectable pancreatic cancer patients. Ann. Oncol. 2007, 18, 1660–1665. [Google Scholar] [CrossRef] [PubMed]
- Farge, D.; Frere, C.; Connors, J.M.; Ay, C.; Khorana, A.A.; Munoz, A.; Brenner, B.; Kakkar, A.; Rafii, H.; Solymoss, S.; et al. 2019 international clinical practice guidelines for the treatment and prophylaxis of venous thromboembolism in patients with cancer. Lancet Oncol. 2019, 20, e566–e581. [Google Scholar] [CrossRef]
- Maraveyas, A.; Waters, J.; Roy, R.; Fyfe, D.; Propper, D.; Lofts, F.; Sgouros, J.; Gardiner, E.; Wedgwood, K.; Ettelaie, C.; et al. Gemcitabine versus gemcitabine plus dalteparin thromboprophylaxis in pancreatic cancer. Eur. J. Cancer 2012, 48, 1283–1292. [Google Scholar] [CrossRef] [PubMed]
- Pelzer, U.; Opitz, B.; Deutschinoff, G.; Stauch, M.; Reitzig, P.C.; Hahnfeld, S.; Muller, L.; Grunewald, M.; Stieler, J.M.; Sinn, M.; et al. Efficacy of Prophylactic Low-Molecular Weight Heparin for Ambulatory Patients With Advanced Pancreatic Cancer: Outcomes From the CONKO-004 Trial. J. Clin. Oncol. 2015, 33, 2028–2034. [Google Scholar] [CrossRef]
- Khorana, A.A.; Otten, H.M.; Zwicker, J.I.; Connolly, G.C.; Bancel, D.F.; Pabinger, I. Prevention of venous thromboembolism in cancer outpatients: Guidance from the SSC of the ISTH. J. Thromb. Haemost. 2014, 12, 1928–1931. [Google Scholar] [CrossRef]
- Bokas, A.; Papakotoulas, P.; Sarantis, P.; Papadimitropoulou, A.; Papavassiliou, A.G.; Karamouzis, M.V. Mechanisms of the Antitumor Activity of Low Molecular Weight Heparins in Pancreatic Adenocarcinomas. Cancers 2020, 12, 432. [Google Scholar] [CrossRef] [PubMed]
- Mousa, S.A.; Petersen, L.J. Anti-cancer properties of low-molecular-weight heparin: Preclinical evidence. Thromb. Haemost. 2009, 102, 258–267. [Google Scholar] [CrossRef]
- Dimakakos, E.P.; Vathiotis, I.; Syrigos, K. The Role of Tinzaparin in Oncology. Clin. Appl. Thromb. Hemost. 2018, 24, 697–707. [Google Scholar] [CrossRef]
- Mueller, T.; Pfankuchen, D.B.; Wantoch von Rekowski, K.; Schlesinger, M.; Reipsch, F.; Bendas, G. The Impact of the Low Molecular Weight Heparin Tinzaparin on the Sensitization of Cisplatin-Resistant Ovarian Cancers-Preclinical In Vivo Evaluation in Xenograft Tumor Models. Molecules 2017, 22, 728. [Google Scholar] [CrossRef]
- Kaatz, S.; Ahmad, D.; Spyropoulos, A.C.; Schulman, S.; Subcommittee on Control of Anticoagulation. Definition of clinically relevant non-major bleeding in studies of anticoagulants in atrial fibrillation and venous thromboembolic disease in non-surgical patients: Communication from the SSC of the ISTH. J. Thromb. Haemost. 2015, 13, 2119–2126. [Google Scholar] [CrossRef] [PubMed]
- Fernandez, A.; Salgado, M.; Garcia, A.; Buxo, E.; Vera, R.; Adeva, J.; Jimenez-Fonseca, P.; Quintero, G.; Llorca, C.; Canabate, M.; et al. Prognostic factors for survival with nab-paclitaxel plus gemcitabine in metastatic pancreatic cancer in real-life practice: The ANICE-PaC study. BMC Cancer 2018, 18, 1185. [Google Scholar] [CrossRef] [PubMed]
- Kang, J.; Hwang, I.; Yoo, C.; Kim, K.P.; Jeong, J.H.; Chang, H.M.; Lee, S.S.; Park, D.H.; Song, T.J.; Seo, D.W.; et al. Nab-paclitaxel plus gemcitabine versus FOLFIRINOX as the first-line chemotherapy for patients with metastatic pancreatic cancer: Retrospective analysis. Investig. New Drugs 2018, 36, 732–741. [Google Scholar] [CrossRef] [PubMed]
- Macarulla, T.; Pazo-Cid, R.; Guillen-Ponce, C.; Lopez, R.; Vera, R.; Reboredo, M.; Munoz Martin, A.; Rivera, F.; Diaz Beveridge, R.; La Casta, A.; et al. Phase I/II Trial to Evaluate the Efficacy and Safety of Nanoparticle Albumin-Bound Paclitaxel in Combination With Gemcitabine in Patients With Pancreatic Cancer and an ECOG Performance Status of 2. J. Clin. Oncol. 2019, 37, 230–238. [Google Scholar] [CrossRef] [PubMed]
- Williet, N.; Saint, A.; Pointet, A.L.; Tougeron, D.; Pernot, S.; Pozet, A.; Bechade, D.; Trouilloud, I.; Lourenco, N.; Hautefeuille, V.; et al. Folfirinox versus gemcitabine/nab-paclitaxel as first-line therapy in patients with metastatic pancreatic cancer: A comparative propensity score study. Ther. Adv. Gastroenterol. 2019, 12. [Google Scholar] [CrossRef]
- Al-Batran, S.E.; Hofheinz, R.D.; Reichart, A.; Pauligk, C.; Schonherr, C.; Schlag, R.; Siegler, G.; Dorfel, S.; Koenigsmann, M.; Zahn, M.O.; et al. Quality of life and outcome of patients with metastatic pancreatic cancer receiving first-line chemotherapy with nab-paclitaxel and gemcitabine: Real-life results from the prospective QOLIXANE trial of the Platform for Outcome, Quality of Life and Translational Research on Pancreatic Cancer registry. Int. J. Cancer. 2020. [Google Scholar] [CrossRef]
- Catalano, M.; Roviello, G.; Conca, R.; D’Angelo, A.; Palmieri, V.E.; Panella, B.; Petrioli, R.; Ianza, A.; Nobili, S.; Mini, E.; et al. Clinical Outcomes and Safety of Patients Treated with NAb-Paclitaxel Plus Gemcitabine in Metastatic Pancreatic Cancer: The NAPA Study. Curr. Cancer Drug Targets 2020, 20, 887–895. [Google Scholar] [CrossRef]
- Corrie, P.G.; Qian, W.; Basu, B.; Valle, J.W.; Falk, S.; Lwuji, C.; Wasan, H.; Palmer, D.; Scott-Brown, M.; Wadsley, J.; et al. Scheduling nab-paclitaxel combined with gemcitabine as first-line treatment for metastatic pancreatic adenocarcinoma. Br. J. Cancer 2020, 122, 1760–1768. [Google Scholar] [CrossRef]
- Lee, J.C.; Woo, S.M.; Shin, D.W.; Kim, J.; Yang, S.Y.; Kim, M.J.; Kim, J.W.; Kim, J.W.; Lee, W.J.; Cha, H.S.; et al. Comparison of FOLFIRINOX and Gemcitabine Plus Nab-paclitaxel for Treatment of Metastatic Pancreatic Cancer: Using Korean Pancreatic Cancer (K-PaC) Registry. Am. J. Clin. Oncol. 2020, 43, 654–659. [Google Scholar] [CrossRef] [PubMed]
- Prager, G.W.; Oehler, L.; Gerger, A.; Mlineritsch, B.; Andel, J.; Petzer, A.; Wilthoner, K.; Sliwa, T.; Pichler, P.; Winder, T.; et al. Comparison of nab-paclitaxel plus gemcitabine in elderly versus younger patients with metastatic pancreatic cancer: Analysis of a multicentre, prospective, non-interventional study. Eur. J. Cancer 2020, 143, 101–112. [Google Scholar] [CrossRef]
- Riedl, J.M.; Posch, F.; Prager, G.; Eisterer, W.; Oehler, L.; Sliwa, T.; Wilthoner, K.; Petzer, A.; Pichler, P.; Hubmann, E.; et al. The AST/ALT (De Ritis) ratio predicts clinical outcome in patients with pancreatic cancer treated with first-line nab-paclitaxel and gemcitabine: Post hoc analysis of an Austrian multicenter, noninterventional study. Ther. Adv. Med. Oncol. 2020, 12, 1758835919900872. [Google Scholar] [CrossRef] [PubMed]
- Rogers, J.E.; Mizrahi, J.D.; Xiao, L.; Mohindroo, C.; Shroff, R.T.; Wolff, R.; Varadhachary, G.R.; Javle, M.M.; Overman, M.; Fogelman, D.R.; et al. Modified gemcitabine plus nab-paclitaxel regimen in advanced pancreatic ductal adenocarcinoma. Cancer Med. 2020, 9, 5406–5415. [Google Scholar] [CrossRef]
- Roviello, G.; Ramello, M.; Catalano, M.; D’Angelo, A.; Conca, R.; Gasperoni, S.; Dreoni, L.; Petrioli, R.; Ianza, A.; Nobili, S.; et al. Association between neutropenia and survival to nab-paclitaxel and gemcitabine in patients with metastatic pancreatic cancer. Sci. Rep. 2020, 10, 19281. [Google Scholar] [CrossRef]
- Vivaldi, C.; Salani, F.; Rovesti, G.; Pecora, I.; Catanese, S.; Casadei-Gardini, A.; Massa, V.; Bernardini, L.; Riggi, L.; Andrikou, K.; et al. First-line gemcitabine plus nab-paclitaxel for elderly patients with metastatic pancreatic cancer: Crossing the frontier of age? Eur. J. Cancer 2020, 137, 108–116. [Google Scholar] [CrossRef] [PubMed]
- Prandoni, P.; Falanga, A.; Piccioli, A. Cancer and venous thromboembolism. Lancet Oncol. 2005, 6, 401–410. [Google Scholar] [CrossRef]
- Noble, S.; Pasi, J. Epidemiology and pathophysiology of cancer-associated thrombosis. Br. J. Cancer 2010, 102 (Suppl. 1), S2–S9. [Google Scholar] [CrossRef]
- Zhang, Y.; Xu, J.; Hua, J.; Liu, J.; Liang, C.; Meng, Q.; Ni, Q.; Shi, S.; Yu, X. Nab-paclitaxel plus gemcitabine as first-line treatment for advanced pancreatic cancer: A systematic review and meta-analysis. J. Cancer 2019, 10, 4420–4429. [Google Scholar] [CrossRef]
- Zhang, N.; Lou, W.; Ji, F.; Qiu, L.; Tsang, B.K.; Di, W. Low molecular weight heparin and cancer survival: Clinical trials and experimental mechanisms. J. Cancer Res. Clin. Oncol. 2016, 142, 1807–1816. [Google Scholar] [CrossRef]
- Wu, Y.; Zhou, B.P. Inflammation: A driving force speeds cancer metastasis. Cell Cycle 2009, 8, 3267–3273. [Google Scholar] [CrossRef]
- Piazza, G.; Ridker, P.M. Is venous thromboembolism a chronic inflammatory disease? Clin. Chem. 2015, 61, 313–316. [Google Scholar] [CrossRef] [PubMed]
- Franco, A.T.; Corken, A.; Ware, J. Platelets at the interface of thrombosis, inflammation, and cancer. Blood 2015, 126, 582–588. [Google Scholar] [CrossRef]
- Morrell, C.N.; Hilt, Z.T.; Pariser, D.N.; Maurya, P. PAD4 and von Willebrand Factor Link Inflammation and Thrombosis. Circ. Res. 2019, 125, 520–522. [Google Scholar] [CrossRef] [PubMed]
- Chen, J.; Chung, D.W. Inflammation, von Willebrand factor, and ADAMTS13. Blood 2018, 132, 141–147. [Google Scholar] [CrossRef]
- Mousa, S.A. Anticoagulants in thrombosis and cancer: The missing link. Semin. Thromb. Hemost. 2002, 28, 45–52. [Google Scholar] [CrossRef]
- Rickles, F.R.; Patierno, S.; Fernandez, P.M. Tissue factor, thrombin, and cancer. Chest 2003, 124, 58S–68S. [Google Scholar] [CrossRef] [PubMed]
- Bochenek, J.; Puskulluoglu, M.; Krzemieniecki, K. The antineoplastic effect of low-molecular-weight heparins—A literature review. Contemp. Oncol. 2013, 17, 6–13. [Google Scholar] [CrossRef] [PubMed]
- Karamouzis, M.V.; Sarantis, P.; Koustas, E.; Papadimitropoulou, A.; Papakotoulas, P.; Bokas, A.; Schizas, D.; Papalampros, A.; Felekouras, E.; Liakakos, T.; et al. Combination therapy of low molecular weight heparins, chemotherapy and immunotherapy induce antitumor activity in pancreatic cancer. Ann. Oncol. 2020, 31, S949. [Google Scholar] [CrossRef]
- Chew, H.K.; Wun, T.; Harvey, D.; Zhou, H.; White, R.H. Incidence of venous thromboembolism and its effect on survival among patients with common cancers. Arch. Intern. Med. 2006, 166, 458–464. [Google Scholar] [CrossRef] [PubMed]
- Blom, J.W.; Osanto, S.; Rosendaal, F.R. High risk of venous thrombosis in patients with pancreatic cancer: A cohort study of 202 patients. Eur. J. Cancer 2006, 42, 410–414. [Google Scholar] [CrossRef]
- Frere, C.; Bournet, B.; Gourgou, S.; Fraisse, J.; Canivet, C.; Connors, J.M.; Buscail, L.; Farge, D.; Carrère, N.; Muscari, F.; et al. Incidence of Venous Thromboembolism in Patients With Newly Diagnosed Pancreatic Cancer and Factors Associated with Outcomes. Gastroenterology 2020, 158, 1346–1358.e4. [Google Scholar] [CrossRef]
- Farge, D.; Bournet, B.; Conroy, T.; Vicaut, E.; Rak, J.; Zogoulous, G.; Barkun, J.; Ouaissi, M.; Buscail, L.; Frere, C. Primary Thromboprophylaxis in Pancreatic Cancer Patients: Why Clinical Practice Guidelines Should Be Implemented. Cancers 2020, 12, 618. [Google Scholar] [CrossRef]




| Study | Year | N * | Age (Median and Range) | Gender (Males) |
|---|---|---|---|---|
| Von Hoff et al. [2] | 2013 | 431 | 62 (27–86) | 57% |
| Fernández et al. [19] | 2018 | 210 | 65 (37–81) | 60.5% |
| Kang et al. [20] | 2018 | 149 | 62 (36–82) | 56.4% |
| Macarulla et al. [21] ** | 2019 | 221 | 69 (35–89) | 52.9% |
| Williet et al. [22] | 2019 | 109 | 70 (62–75) | 49.5% |
| Al-Batran et al. [23] | 2020 | 600 | 70 (39–86) | 58.2% |
| Catalano et al. [24] | 2020 | 115 | 65 (50–84) | 53% |
| Corrie et al. [25] ** | 2020 | 146 | 65 (45–82) | 56.8% |
| Lee et al. [26] *** | 2020 | 101 | 63 (61–74) | 53% |
| Prager et al. [27] | 2020 | 299 | 70 (41–89) | 56% |
| Riedl et al. [28] | 2020 | 202 | 70 (43–89) | 54% |
| Rogers et al. [29] | 2020 | 140 | 67 (37–83) | 41.4% |
| Roviello et al. [30] | 2020 | 115 | 65 (50–84) | 53% |
| Vivaldi et al. [31] | 2020 | 156 | 71 (65–87) | 53.8% |
| The PaCT study (this study) | 2020 | 110 | 68.0 (40–86) | 51.8% |
| Study | PFS (95% CI) | PS | Disease Stage | Location (Head) | Study Type |
|---|---|---|---|---|---|
| Von Hoff et al. [2] | 5.5 (4.5–5.9) | PS0–PS1 | Metastatic | 44% | Prospective observational |
| Fernández et al. [19] | 5 (4.3–5.9) | 71% < PS1 | Metastatic | NR | Retrospective observational multicenter |
| Kang et al. [20] | 6.8 (5.7–7.9) | 96.6% < PS0–1 | Metastatic | 32.2% | Retrospective |
| Macarulla et al. [21] * | 6.0 (4.8–7.2) | PS2 | Advanced or locally advanced | 26.1% | Prospective observational multicenter |
| Williet et al. [22] | 5 (3–6) | PS0–PS2 | Metastatic | 46.8% | Retrospective |
| Al-Batran et al. [23] | 5.9 (5.2–6.3) | 93%: PS0–PS2 | Metastatic | 48.7% | Retrospective multicenter |
| Catalano et al. [24] | 6 (5–7) | PS0 or PS1 | Metastatic | NR | Retrospective |
| Corrie et al. [25] * | 4.8 (3.3–6.2) | PS0–PS2 | Metastatic | 47.3% | Prospective |
| Lee et al. [26] ** | 8.1 (6.5–9.5) | PS0–PS2 | Metastatic | 35% | Retrospective multicenter |
| Prager et al. [27] *** | 5.5 (4.2–5.7) | 94%: PS0–PS1 | Metastatic and advanced | 45% | Prospective observational multicenter |
| Riedl et al. [28] | 5.5 (5.1–6.3) | >99%: PS0–PS2 | Metastatic and advanced | NR | Prospective observational multicenter |
| Rogers et al. [29] | 2.8 (2.3–3.68) | 83.6: PS0–PS2 | Metastatic | 46.4% | Retrospective |
| Roviello et al. [30] | 6 (5–7) | PS0–PS2 | Metastatic | NR | Retrospective |
| Vivaldi et al. [31] | 6.2 (5.5–7.1) | PS0–PS2 | Metastatic | NR | Retrospective |
| The PaCT study (this study) | 7.85 (6.87–8.71) | PS0 (72.5%), PS1 (27.5%) | 92.7% metastatic | 45.5% | Retrospective multicenter |
Publisher’s Note: MDPI stays neutral with regard to jurisdictional claims in published maps and institutional affiliations. |
© 2021 by the authors. Licensee MDPI, Basel, Switzerland. This article is an open access article distributed under the terms and conditions of the Creative Commons Attribution (CC BY) license (https://creativecommons.org/licenses/by/4.0/).
Share and Cite
Karamouzis, M.V.; Athanasiadis, I.; Samelis, G.; Vallilas, C.; Bokas, A.; Nikolaidi, A.; Dimitriadou, A.; Sarantis, P.; Pistamaltzian, N.; Schizas, D.; et al. The Impact of Thromboprophylaxis on the Survival of Patients with Advanced Pancreatic Cancer. The Pancreatic Cancer and Tinzaparin (PaCT) Study. Cancers 2021, 13, 2884. https://doi.org/10.3390/cancers13122884
Karamouzis MV, Athanasiadis I, Samelis G, Vallilas C, Bokas A, Nikolaidi A, Dimitriadou A, Sarantis P, Pistamaltzian N, Schizas D, et al. The Impact of Thromboprophylaxis on the Survival of Patients with Advanced Pancreatic Cancer. The Pancreatic Cancer and Tinzaparin (PaCT) Study. Cancers. 2021; 13(12):2884. https://doi.org/10.3390/cancers13122884
Chicago/Turabian StyleKaramouzis, Michalis V., Ilias Athanasiadis, Georgios Samelis, Christos Vallilas, Alexandros Bokas, Adamantia Nikolaidi, Areti Dimitriadou, Panagiotis Sarantis, Nikolaos Pistamaltzian, Dimitrios Schizas, and et al. 2021. "The Impact of Thromboprophylaxis on the Survival of Patients with Advanced Pancreatic Cancer. The Pancreatic Cancer and Tinzaparin (PaCT) Study" Cancers 13, no. 12: 2884. https://doi.org/10.3390/cancers13122884
APA StyleKaramouzis, M. V., Athanasiadis, I., Samelis, G., Vallilas, C., Bokas, A., Nikolaidi, A., Dimitriadou, A., Sarantis, P., Pistamaltzian, N., Schizas, D., Papalampros, A., Felekouras, E., Dimitroulis, D., Antoniou, E., Sotiropoulos, G., & Papakotoulas, P. (2021). The Impact of Thromboprophylaxis on the Survival of Patients with Advanced Pancreatic Cancer. The Pancreatic Cancer and Tinzaparin (PaCT) Study. Cancers, 13(12), 2884. https://doi.org/10.3390/cancers13122884

