Radiation-Induced Hypothyroidism in Patients with Oropharyngeal Cancer Treated with IMRT: Independent and External Validation of Five Normal Tissue Complication Probability Models
Simple Summary
Abstract
1. Introduction
2. Results
2.1. Patient Inclusion and Outcome
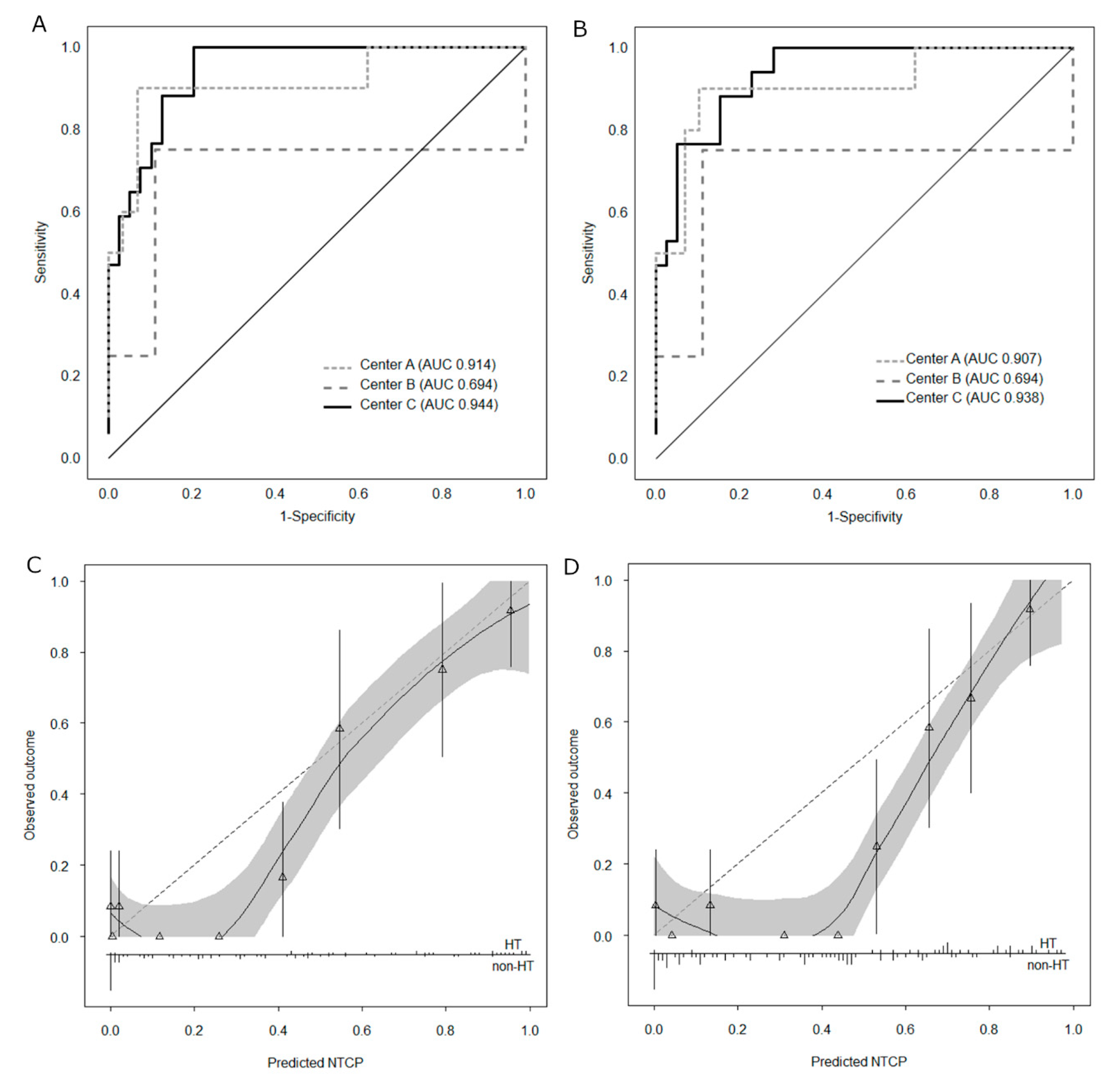
2.2. External Validation of NTCP Models for RIHT
2.3. Variables Associated with RIHT in the Validation Cohort
2.4. Short-Term TSH Level Changes and RIHT
3. Discussion
4. Materials and Methods
4.1. Patients
4.2. Treatment Planning and Contouring the Thyroid Gland
4.3. Thyroid Function Assessment and Clinical Endpoint Definition
4.4. Sample Size and Missing Data
4.5. Evaluated RIHT NTCP Models
4.6. Statistical Analysis
4.7. Ethics
5. Conclusions
Supplementary Materials
Author Contributions
Funding
Acknowledgments
Conflicts of Interest
Appendix A
References
- Boomsma, M.J.; Bijl, H.P.; Langendijk, J.A. Radiation-induced hypothyroidism in head and neck cancer patients: A systematic review. Radiother. Oncol. 2011, 99, 1–5. [Google Scholar] [CrossRef]
- Mercado, G.; Adelstein, D.J.; Saxton, J.P.; Secic, M.; Larto, M.A.; Lavertu, P. Hypothyroidism: A frequent event after radiotherapy and after radiotherapy with chemotherapy for patients with head and neck carcinoma. Cancer 2001, 92, 2892–2897. [Google Scholar] [CrossRef]
- Alba, J.R.; Basterra, J.; Ferrer, J.C.; Santonja, F.; Zapater, E. Hypothyroidism in patients treated with radiotherapy for head and neck carcinoma: Standardised long-term follow-up study. J. Laryngol. Otol. 2016, 130, 478–481. [Google Scholar] [CrossRef] [PubMed]
- Mulholland, G.B.; Zhang, H.; Nguyen, N.-T.A.; Tkacyzk, N.; Seikaly, H.; O’Connell, D.; Biron, V.L.; Harris, J.R.; O’connell, D.; Biron, V.L.; et al. Optimal detection of hypothyroidism in early stage laryngeal cancer treated with radiotherapy. J. Otolaryngol. Head Neck Surg. 2015, 44, 34. [Google Scholar] [CrossRef] [PubMed]
- Diaz, R.; Jaboin, J.J.; Morales-Paliza, M.; Koehler, E.; Phillips, J.G.; Stinson, S.; Gilbert, J.; Chung, C.H.; Murphy, B.A.; Yarbrough, W.G.; et al. Hypothyroidism as a Consequence of Intensity-Modulated Radiotherapy With Concurrent Taxane-Based Chemotherapy for Locally Advanced Head-and-Neck Cancer. Int. J. Radiat. Oncol. Biol. Phys. 2010, 77, 468–476. [Google Scholar] [CrossRef] [PubMed]
- Murthy, V.; Narang, K.; Ghosh-Laskar, S.; Gupta, T.; Budrukkar, A.; Agrawal, J.P. Hypothyroidism after 3-dimensional conformal radiotherapy and intensity-modulated radiotherapy for head and neck cancers: Prospective data from 2 randomized controlled trials. Head Neck 2014, 36, 1573–1580. [Google Scholar] [CrossRef] [PubMed]
- Moran, J.M.; Radawski, J.; Fraass, B.A. A dose-gradient analysis tool for IMRT QA. J. Appl. Clin. Med. Phys. 2005, 6, 62–73. [Google Scholar] [PubMed]
- Vigário, P.; Teixeira, P.; Reuters, V.; Almeida, C.; Maia, M.; Silva, M.; Vaisman, M. Perceived health status of women with overt and subclinical hypothyroidism. Med. Princ. Pract. 2009, 18, 317–322. [Google Scholar] [PubMed]
- Thvilum, M.; Brandt, F.; Almind, D.; Christensen, K.; Brix, T.H.; Hegedüs, L. Increased psychiatric morbidity before and after the diagnosis of hypothyroidism: A nationwide register study. Thyroid 2014, 24, 802–808. [Google Scholar] [CrossRef] [PubMed]
- Rodondi, N.; Den Elzen, W.P.J.; Bauer, D.C.; Cappola, A.R.; Razvi, S.; Walsh, J.P.; Åsvold, B.O.; Iervasi, G.; Imaizumi, M.; Collet, T.H.; et al. Subclinical hypothyroidism and the risk of coronary heart disease and mortality. JAMA J. Am. Med. Assoc. 2010, 304, 1365–1374. [Google Scholar] [CrossRef]
- Thvilum, M.; Brandt, F.; Almind, D.; Christensen, K.; Hegedüs, L.; Brix, T.H. Excess mortality in patients diagnosed with hypothyroidism: A nationwide cohort study of singletons and twins. J. Clin. Endocrinol. Metab. 2013, 98, 1069–1075. [Google Scholar] [CrossRef] [PubMed]
- Altamirano Ufion, A.; Zulfiqar, B.; Hassan, A.; Habibi, R.; Boddu, P. Subclinical Hypothyroidism and Its Association with Increased Cardiovascular Mortality. Cardiol. Res. Pract. 2017, 2017, 1–5. [Google Scholar] [CrossRef] [PubMed]
- Brodin, N.P.; Kabarriti, R.; Garg, M.K.; Guha, C.; Tomé, W.A. Systematic Review of Normal Tissue Complication Models Relevant to Standard Fractionation Radiation Therapy of the Head and Neck Region Published After the QUANTEC Reports. Int. J. Radiat. Oncol. 2018, 100, 391–407. [Google Scholar] [CrossRef] [PubMed]
- Bakhshandeh, M.; Hashemi, B.; Mahdavi, S.R.M.; Nikoofar, A.; Vasheghani, M.; Kazemnejad, A. Normal Tissue Complication Probability Modeling of Radiation-Induced Hypothyroidism After Head-and-Neck Radiation Therapy. Int. J. Radiat. Oncol. Biol. Phys. 2013, 85, 514–521. [Google Scholar] [CrossRef] [PubMed]
- Boomsma, M.J.; Bijl, H.P.; Christianen, M.E.M.C.; Beetz, I.; Chouvalova, O.; Steenbakkers, R.J.H.M.; Van Der Laan, B.F.A.M.; Wolffenbuttel, B.H.R.; Oosting, S.F.; Schilstra, C.; et al. A prospective cohort study on radiation-induced hypothyroidism: Development of an NTCP model. Int. J. Radiat. Oncol. Biol. Phys. 2012, 84, e351–e356. [Google Scholar] [CrossRef] [PubMed]
- Cella, L.; Liuzzi, R.; Conson, M.; D’Avino, V.; Salvatore, M.; Pacelli, R. Development of multivariate NTCP models for radiation-induced hypothyroidism: A comparative analysis. Radiat. Oncol. 2012, 7, 224. [Google Scholar] [CrossRef] [PubMed]
- Rønjom, M.F.; Brink, C.; Bentzen, S.M.; Hegedüs, L.; Overgaard, J.; Petersen, J.B.B.B.; Primdahl, H.; Johansen, J. External validation of a normal tissue complication probability model for radiation-induced hypothyroidism in an independent cohort. Acta Oncol. 2015, 54, 1301–1309. [Google Scholar] [CrossRef]
- Vogelius, I.R.; Bentzen, S.M.; Maraldo, M.V.; Petersen, P.M.; Specht, L. Risk factors for radiation-induced hypothyroidism: A literature-based meta-analysis. Cancer 2011, 117, 5250–5260. [Google Scholar] [CrossRef]
- Platt, J. Probabilistic outputs for support vector machines and comparisons to regularized likelihood methods. Adv. Large Margin Classif. 1999, 10, 61–74. [Google Scholar]
- Brodin, N.P.; Tomé, W.A. Revisiting the dose constraints for head and neck OARs in the current era of IMRT. Oral Oncol. 2018, 86, 8–18. [Google Scholar] [CrossRef]
- Kamal, M.; Peeler, C.R.; Yepes, P.; Mohamed, A.S.; Frank, S.J.; Chen, L.; Jethanandani, A.; Kuruvilla, R.; Greiner, B.; Harp, J.; et al. Radiation-Induced Hypothyroidism after Radical Intensity-Modulated Radiation Therapy for Oropharyngeal Carcinoma. Adv. Radiat. Oncol. 2020, 5, 111–119. [Google Scholar] [CrossRef] [PubMed]
- Van Den Bosch, L.; Schuit, E.; Van Der Laan, H.P.; Johannes, B.; Moons, K.G.M.; Steenbakkers, R.J.H.M.; Hoebers, F.J.P.; Langendijk, J.A.; Van Der Schaaf, A. Key challenges in Normal Tissue Complication Probability model development and validation: Towards a comprehensive strategy. Radiother. Oncol. 2020, 148, 151–156. [Google Scholar] [CrossRef] [PubMed]
- Rønjom, M.F.; Brink, C.; Bentzen, S.M.; Hegedüs, L.; Overgaard, J.; Johansen, J. Hypothyroidism after primary radiotherapy for head and neck squamous cell carcinoma: Normal tissue complication probability modeling with latent time correction. Radiother. Oncol. 2013, 109, 317–322. [Google Scholar] [CrossRef] [PubMed]
- Pan, C.; Issaeva, N.; Yarbrough, W.G. HPV-driven oropharyngeal cancer: Current knowledge of molecular biology and mechanisms of carcinogenesis. Cancers Head Neck 2018, 3, 1–11. [Google Scholar] [CrossRef] [PubMed]
- Adelstein, D.J.; Ismaila, N.; Ku, J.A.; Burtness, B.; Swiecicki, P.L.; Mell, L.; Beitler, J.J.; Gross, N.; Jones, C.U.; Kaufman, M.; et al. Role of treatment deintensification in the management of p16+ oropharyngeal cancer: ASCO provisional clinical opinion. J. Clin. Oncol. 2019, 37, 1578–1589. [Google Scholar] [CrossRef] [PubMed]
- Kierkels, R.G.J.; Korevaar, E.W.; Steenbakkers, R.J.H.M.; Janssen, T.; Van’T Veld, A.A.; Langendijk, J.A.; Schilstra, C.; Van Der Schaaf, A. Direct use of multivariable normal tissue complication probability models in treatment plan optimisation for individualised head and neck cancer radiotherapy produces clinically acceptable treatment plans. Radiother. Oncol. 2014, 112, 430–436. [Google Scholar] [CrossRef] [PubMed]
- Langendijk, J.A.; Lambin, P.; De Ruysscher, D.; Widder, J.; Bos, M.; Verheij, M. Selection of patients for radiotherapy with protons aiming at reduction of side effects: The model-based approach. Radiother. Oncol. 2013, 107, 267–273. [Google Scholar] [CrossRef]
- Pfister, D.G.; Spencer, S.; Adelstein, D.; Adkins, D.; Brizel, D.M. NCCN Clinical Practice Guidelines in Oncology (NCCN Guidelines) Head and Neck Cancers. Version 1.2020. Natl. Comrehensive Cancer Netw. 2020, 124–145. [Google Scholar] [CrossRef]
- Kim, M.Y.; Yu, T.; Wu, H.G. Dose-volumetric parameters for predicting hypothyroidism after radiotherapy for head and neck cancer. Jpn. J. Clin. Oncol. 2014, 44, 331–337. [Google Scholar] [CrossRef]
- Edge, S.B.; Byrd, D.R.; Compton, C.C.; Fritz, A.G.; Greene, F.L.; Trotti, A. AJCC Cancer Staging Manual, 7th ed.; Springer: New York, NY, USA, 2010. [Google Scholar]
- Brouwer, C.L.; Steenbakkers, R.J.H.M.; Bourhis, J.; Budach, W.; Grau, C.; Grégoire, V.; Van Herk, M.; Lee, A.; Maingon, P.; Nutting, C.; et al. CT-based delineation of organs at risk in the head and neck region: DAHANCA, EORTC, GORTEC, HKNPCSG, NCIC CTG, NCRI, NRG Oncology and TROG consensus guidelines. Radiother. Oncol. 2015, 117, 83–90. [Google Scholar] [CrossRef]
- Grégoire, V.; Evans, M.; Le, Q.T.; Bourhis, J.; Budach, V.; Chen, A.; Eisbruch, A.; Feng, M.; Giralt, J.; Gupta, T.; et al. Delineation of the primary tumour Clinical Target Volumes (CTV-P) in laryngeal, hypopharyngeal, oropharyngeal and oral cavity squamous cell carcinoma: AIRO, CACA, DAHANCA, EORTC, GEORCC, GORTEC, HKNPCSG, HNCIG, IAG-KHT, LPRHHT, NCIC CTG, NCRI, NRG Oncolog. Radiother. Oncol. 2018, 126, 3–24. [Google Scholar] [CrossRef] [PubMed]
- Grégoire, V.; Ang, K.; Budach, W.; Grau, C.; Hamoir, M.; Langendijk, J.A.; Lee, A.; Le, Q.T.; Maingon, P.; Nutting, C.; et al. Delineation of the neck node levels for head and neck tumors: A 2013 update. DAHANCA, EORTC, HKNPCSG, NCIC CTG, NCRI, RTOG, TROG consensus guidelines. Radiother. Oncol. 2014, 110, 172–181. [Google Scholar]
- Landberg, T.; Chavaudra, J.; Dobbs, J.; Gerard, J.P.; Hanks, G.; Horiot, J.C.; Johansson, K.A.; Möller, T.; Purdy, J.; Suntharalingam, N.; et al. Report 62. Prescribing, Recording, and Reporting Photon Beam Therapy (Supplement to ICRU Report 50). J. ICRU 1993. [Google Scholar] [CrossRef]
- Grégoire, V.; Mackie, T.R. State of the art on dose prescription, reporting and recording in intensity-modulated radiation therapy (ICRU report No. 83). Cancer Radiother 2011. [Google Scholar] [CrossRef]
- Jain, D.; Allen, T.; Aisner, D.; Beasley, M. Rapid On-Site Evaluation of Endobronchial Ultrasound-Guided Transbronchial Needle Aspirations for the Diagnosis of Lung Cancer. Arch. Pathol. Lab. Med. 2017, 137, 1255–1261. [Google Scholar]
- National Cancer Institute. Common Terminology Criteria for Adverse Events v4.0; National Cancer Institute: Bethesda, MD, USA, 2009; pp. 555–559.
- Collins, G.S.; Reitsma, J.B.; Altman, D.G.; Moons, K.G.M. Transparent Reporting of a multivariable prediction model for Individual Prognosis Or Diagnosis (TRIPOD): The TRIPOD Statement. Ann. Intern. Med. 2015, 162, 55. [Google Scholar] [CrossRef]
- Steyerberg, E.W.; Vickers, A.J.; Cook, N.R.; Gerds, T.; Gonen, M.; Obuchowski, N.; Pencina, M.J.; Kattan, M.W. Assessing the performance of prediction models: A framework for traditional and novel measures. Epidemiology 2010, 21, 128–138. [Google Scholar] [CrossRef]
- Robin, X.; Turck, N.; Hainard, A.; Tiberti, N.; Lisacek, F.; Sanchez, J.; Müller, M. pROC: an open-source package for R and S+ to analyze and compare ROC curves. BMC Bioinform. 2011, 12, 77. [Google Scholar] [CrossRef]
- R Core Team. R: A Language and Environment for Statistical Computing; R Foundation for Statistical Computing: Vienna, Austria, 2020; Available online: https://www.R-project.org/ (accessed on 22 September 2020).



| Variable | Title | Center A | Center B | Center C | Whole Group | 
|---|---|---|---|---|---|
| Sex | Male | 25 (64.1%) | 11 (84.6%) | 48 (85.7%) | 84 (77.8%) | 
| Female | 14 (35.9%) | 2 (15.4%) | 8 (14.3%) | 24 (22.2%) | |
| Age (years) | Median (IQR) | 61 (56.5–64.5) | 61 (57.0–66.0) | 59 (53.0–64.5) | 60 (54.0–65.0) | 
| Induction chemotherapy | Yes | 4 (10.3%) | 3 (23.1%) | 20 (35.7%) | 27 (25.0%) | 
| No | 35 (89.7%) | 10 (76.9%) | 36 (64.3%) | 81 (75.0%) | |
| Concomitant chemotherapy | Yes | 26 (66.7%) | 11 (84.6%) | 28 (50%) | 65 (60.2%) | 
| No | 13 (33.3%) | 2 (15.4%) | 28 (50%) | 43 (39.8%) | |
| HPV16 | Positive | 17 (43.6%) | 4 (30.8%) | 9 (5.6%) | 30 (27.8%) | 
| Negative | 22 (56.4%) | 9 (69.2%) | 19 (33.9%) | 50 (46.3%) | |
| Unknown | 0 (0.0%) | 0 (0%) | 28 (50%) | 28 (25.9%) | |
| Stage | I+II | 8 (20.5%) | 2 (16.7%) | 17 (30.4%) | 27 (25.0%) | 
| III+IV | 31 (79.5%) | 10 (83.3%) | 39 (69.6%) | 81 (75.0%) | |
| Tobacco use | Yes | 25 (64.1%) | 11 (84.6%) | 47 (83.9%) | 83 (76.9%) | 
| No | 14 (35.9%) | 2 (15.4%) | 9 (16.1%) | 25 (23.1%) | |
| Surgery | Yes | 0 (0.0%) | 0 (0.0%) | 6 (10.7%) | 6 (5.6%) | 
| No | 39 (100.0%) | 13 (100.0%) | 50 (89.3%) | 102 (94.4%) | |
| Subsite | Tonsil | 28 (71.8%) | 8 (61.5%) | 25 (44.6%) | 61 (56.5%) | 
| Base of tongue | 5 (12.8%) | 2 (15.4%) | 16 (28.6%) | 23 (21.3%) | |
| Soft palate | 3 (7.7%) | 0 (0.0%) | 9 (16.1%) | 12 (11.1%) | |
| Other | 3 (7.7%) | 3 (23.1%) | 6 (10.7%) | 12 (11.1%) | |
| Time to follow-up (months) | Median (IQR) | 27.0 (21.0–35.0) | 22.0 (19.0–23.0) | 33.5 (24.0–41.0) | 28.0 (21.0–38.0) | 
| Mean thyroid dose (Gy) | Median (IQR) | 55.2 (52.1–56.9) | 55.2 (53.5–56.5) | 49.2 (45.4–54) | 52.7 (47.2–56.2) | 
| Thyroid volume (cm3) | Median (IQR) | 20.0 (14.3–30.6) | 26.5 (15.5–37.4) | 16.8 (12.0-22.0) | 19.0 (12.9–28.2) | 
| Thyroid V30 | Median (IQR) | 100.0 (100.0–100.0) | 100.0 (100.0–100.0) | 100.0 (99.3–100.0) | 100.0 (99.8–100.0) | 
| Mean pituitary dose (Gy) | Median (IQR) | 3.9 (3.0–4.6) | 3.8 (3.2–4.1) | 3.8 (3.0-4.7) | 3.8 (3.0–4.7) | 
| Baseline TSH (mIU/L) | Median (IQR) | 0.7 (0.3–1.1) | 0.7 (0.5–1.2) | 0.7 (0.6-1.3) | 0.7 (0.5–1.2) | 
| Baseline fT4 (pg/mL) | Median (IQR) | 6.5 (5.1–8) | 9.1 (7.2–10.1) | 7.8 (6.5–8.9) | 7.2 (6.0–8.8) | 
| Performance Measure | Bakhshandeh et al. [14] | Boomsma et al. [15] | Cella et al. [16] | Rønjom et al. [17] | Vogelius et al. [18] | 
|---|---|---|---|---|---|
| Discrimination | |||||
| Accuracy0.5 (95% CI) | 0.50 (0.40–0.60) | 0.84 (0.76–0.91) | 0.31 (0.22–0.40) | 0.87 (0.79–0.93) | 0.42 (0.32–0.52) | 
| Sensitivity0.5 (95% CI) | 0.90 (0.74–0.98) | 0.94 (0.79–1.00) | 1.00 (0.89–1.00) | 0.81 (0.63–0.93) | 0.94 (0.79–0.99) | 
| Specificity0.5 (95% CI) | 0.34 (0.23–0.45) | 0.81 (0.70–0.89) | 0.03 (0.00–0.09) | 0.90 (0.81–0.95) | 0.21 (0.12–0.32) | 
| ROC AUC (95% CI) | 0.67 (0.55–0.79) | 0.90 (0.82–0.98) | 0.87 (0.78–0.96) | 0.91 (0.84–0.98) | 0.67 (0.55–0.79) | 
| Discrimination slope0.5 | 0.101 | 0.427 | 0.025 | 0.528 | 0.120 | 
| Brier score | 0.268 | 0.139 | 0.694 | 0.106 | 0.337 | 
| Nagelkerke R2 | 0.122 | 0.564 | 0.015 | 0.609 | 0.124 | 
| Variable | OR | 95%CI | 
|---|---|---|
| Univariate analysis | ||
| Mean thyroid dose (Gy) | 1.11 | 1.03–1.19 | 
| Thyroid volume (cm3) | 0.87 | 0.81–0.93 | 
| Baseline TSH | 1.63 | 0.77–3.42 | 
| TSH change pre-post RT | 0.96 | 0.65–1.42 | 
| Age (years) | 0.99 | 0.94–1.04 | 
| Surgery (yes vs. no) | 1.26 | 0.22–7.25 | 
| Sex (Female vs. Male) | 2.14 | 0.83–5.54 | 
| HPV16 (positive vs. negative) | 0.85 | 0.31–2.33 | 
| Tobacco use (yes vs. no) | 0.81 | 0.21–2.14 | 
| Multivariate analysis—all effects | ||
| Mean thyroid dose (Gy) | 1.11 | 1.02–1.21 | 
| Thyroid volume (cm3) | 0.86 | 0.79–0.93 | 
| Baseline TSH | 0.93 | 0.34–2.54 | 
| TSH change pre-post RT | 0.89 | 0.54–1.47 | 
| Age (years) | 0.98 | 0.91–1.05 | 
| Surgery (yes vs. no) | 1.42 | 0.43–4.68 | 
| Sex (Female vs. Male) | 1.33 | 0.38–4.71 | 
| Tobacco use (yes vs. no) | 1.50 | 0.2–11.27 | 
| Multivariate analysis—stepwise regression | ||
| Mean thyroid dose (Gy) | 1.11 | 1.02–1.21 | 
| Thyroid volume (cm3) | 0.86 | 0.80–0.93 | 
| OR | 95%CI | |
© 2020 by the authors. Licensee MDPI, Basel, Switzerland. This article is an open access article distributed under the terms and conditions of the Creative Commons Attribution (CC BY) license (http://creativecommons.org/licenses/by/4.0/).
Share and Cite
Nowicka, Z.; Tomasik, B.; Papis-Ubych, A.; Bibik, R.; Graczyk, Ł.; Latusek, T.; Rutkowski, T.; Wyka, K.; Fijuth, J.; Schoenfeld, J.D.; et al. Radiation-Induced Hypothyroidism in Patients with Oropharyngeal Cancer Treated with IMRT: Independent and External Validation of Five Normal Tissue Complication Probability Models. Cancers 2020, 12, 2716. https://doi.org/10.3390/cancers12092716
Nowicka Z, Tomasik B, Papis-Ubych A, Bibik R, Graczyk Ł, Latusek T, Rutkowski T, Wyka K, Fijuth J, Schoenfeld JD, et al. Radiation-Induced Hypothyroidism in Patients with Oropharyngeal Cancer Treated with IMRT: Independent and External Validation of Five Normal Tissue Complication Probability Models. Cancers. 2020; 12(9):2716. https://doi.org/10.3390/cancers12092716
Chicago/Turabian StyleNowicka, Zuzanna, Bartłomiej Tomasik, Anna Papis-Ubych, Robert Bibik, Łukasz Graczyk, Tomasz Latusek, Tomasz Rutkowski, Krystyna Wyka, Jacek Fijuth, Jonathan D. Schoenfeld, and et al. 2020. "Radiation-Induced Hypothyroidism in Patients with Oropharyngeal Cancer Treated with IMRT: Independent and External Validation of Five Normal Tissue Complication Probability Models" Cancers 12, no. 9: 2716. https://doi.org/10.3390/cancers12092716
APA StyleNowicka, Z., Tomasik, B., Papis-Ubych, A., Bibik, R., Graczyk, Ł., Latusek, T., Rutkowski, T., Wyka, K., Fijuth, J., Schoenfeld, J. D., Chałubińska-Fendler, J., & Fendler, W. (2020). Radiation-Induced Hypothyroidism in Patients with Oropharyngeal Cancer Treated with IMRT: Independent and External Validation of Five Normal Tissue Complication Probability Models. Cancers, 12(9), 2716. https://doi.org/10.3390/cancers12092716
 
        


 
       