Real-World Outcomes of Patients with Refractory or Relapsed FLT3-ITD Acute Myeloid Leukemia: A Toulouse-Bordeaux DATAML Registry Study
Abstract
1. Introduction
2. Methods
3. Results
3.1. Patients and Treatment
3.2. Outcomes of R/R FLT3-ITD Acute Myeloid Leukemia Patients
3.3. Subgroup Analysis of Refractory or Relapsed Patients with Duration of First Remission < 6 Months
4. Discussion
Supplementary Materials
Author Contributions
Funding
Acknowledgments
Conflicts of Interest
References
- Bullinger, L.; Döhner, K.; Döhner, H. Genomics of acute myeloid leukemia diagnosis and pathways. J. Clin. Oncol. 2017, 35, 934–946. [Google Scholar] [CrossRef] [PubMed]
- Schlenk, R.F.; Döhner, K.; Krauter, J.; Fröhling, S.; Corbacioglu, A.; Bullinger, L.; Habdank, M.; Späth, D.; Morgan, M.; Benner, A.; et al. Mutations and treatment outcome in cytogenetically normal acute myeloid leukemia. N. Engl. J. Med. 2008, 358, 1909–1918. [Google Scholar] [CrossRef] [PubMed]
- Smith, C.C.; Wang, Q.; Chin, C.-S.; Salerno, S.; Damon, L.E.; Levis, M.J.; Perl, A.E.; Travers, K.J.; Wang, S.; Hunt, J.P.; et al. Validation of ITD mutations in FLT3 as a therapeutic target in human acute myeloid leukaemia. Nature 2012, 485, 260–263. [Google Scholar] [CrossRef] [PubMed]
- Schnittger, S.; Schoch, C.; Dugas, M.; Kern, W.; Staib, P.; Wuchter, C.; Löffler, H.; Sauerland, C.M.; Serve, H.; Büchner, T.; et al. Analysis of FLT3 length mutations in 1003 patients with acute myeloid leukemia: Correlation to cytogenetics, FAB subtype, and prognosis in the AMLCG study and usefulness as a marker for the detection of minimal residual disease. Blood 2002, 100, 59–66. [Google Scholar] [CrossRef]
- Weisberg, E.; Roesel, J.; Furet, P.; Bold, G.; Imbach, P.; Flörsheimer, A.; Caravatti, G.; Jiang, J.; Manley, P.; Ray, A.; et al. Antileukemic effects of novel first- and second-generation FLT3 inhibitors: Structure-affinity comparison. Genes Cancer 2010, 1, 1021–1032. [Google Scholar] [CrossRef]
- Levis, M. Midostaurin approved for FLT3-mutated AML. Blood 2017, 129, 3403–3406. [Google Scholar] [CrossRef]
- Pratz, K.W.; Cho, E.; Levis, M.J.; Karp, J.E.; Gore, S.D.; McDevitt, M.; Stine, A.; Zhao, M.; Baker, S.D.; Carducci, M.A.; et al. A pharmacodynamic study of sorafenib in patients with relapsed and refractory acute leukemias. Leukemia 2010, 24, 1437–1444. [Google Scholar] [CrossRef]
- Stone, R.M.; Mandrekar, S.J.; Sanford, B.L.; Laumann, K.; Geyer, S.; Bloomfield, C.D.; Thiede, C.; Prior, T.W.; Döhner, K.; Marcucci, G.; et al. Midostaurin plus chemotherapy for acute myeloid leukemia with a FLT3 mutation. N. Engl. J. Med. 2017, 377, 454–464. [Google Scholar] [CrossRef]
- Schlenk, R.F.; Weber, D.; Fiedler, W.; Salih, H.R.; Wulf, G.; Salwender, H.; Schroeder, T.; Kindler, T.; Lübbert, M.; Wolf, D.; et al. Midostaurin added to chemotherapy and continued single agent maintenance therapy in acute myeloid leukemia with FLT3-ITD. Blood 2018, 133, 840–851. [Google Scholar] [CrossRef]
- Burchert, A. Sorafenib as maintenance therapy post allogeneic stem cell transplantation for FLT3-ITD positive AML: Results from the randomized, double-blind, placebo-controlled multicentre Sormain Trial. In Proceedings of the Oral Abstract #661, San Diego, CA, USA, 3–7 October 2018. [Google Scholar]
- Cortes, J.E.; Khaled, S.; Martinelli, G.; Perl, A.E.; Ganguly, S.; Russell, N.; Krämer, A.; Dombret, H.; Hogge, D.; Jonas, B.A.; et al. Quizartinib versus salvage chemotherapy in relapsed or refractory FLT3-ITD acute myeloid leukaemia (QuANTUM-R): A multicentre, randomised, controlled, open-label, phase 3 trial. Lancet Oncol. 2019, 20, 984–997. [Google Scholar] [CrossRef]
- Cortes, J. Crenolanib besylate, a type I pan-FLT3 inhibitor, to demonstrate clinical activity in multiply relapsed FLT3-ITD and D835 AML. In Proceedings of the Oral Abstract #7008, Washington, DC, USA, 11–16 November 2016. [Google Scholar]
- Perl, A.E.; Martinelli, G.; Cortes, J.E.; Neubauer, A.; Berman, E.; Paolini, S.; Montesinos, P.; Baer, M.R.; Larson, R.A.; Ustun, C.; et al. Gilteritinib or chemotherapy for relapsed or refractory FLT3-mutated AML. N. Engl. J. Med. 2019, 381, 1728–1740. [Google Scholar] [CrossRef] [PubMed]
- Döhner, H.; Estey, E.; Grimwade, D.; Amadori, S.; Appelbaum, F.R.; Büchner, T.; Dombret, H.; Ebert, B.L.; Fenaux, P.; Larson, R.A.; et al. Diagnosis and management of AML in adults: 2017 ELN recommendations from an international expert panel. Blood 2017, 129, 424–447. [Google Scholar] [CrossRef] [PubMed]
- Arber, D.A.; Orazi, A.; Hasserjian, R.; Thiele, J.; Borowitz, M.J.; Le Beau, M.M.; Bloomfield, C.D.; Cazzola, M.; Vardiman, J.W. The 2016 revision to the World Health Organization classification of myeloid neoplasms and acute leukemia. Blood 2016, 127, 2391–2405. [Google Scholar] [CrossRef] [PubMed]
- Bertoli, S.; Tavitian, S.; Huynh, A.; Borel, C.; Guenounou, S.; Luquet, I.; Delabesse, E.; Sarry, A.; Laurent, G.; Attal, M.; et al. Improved outcome for AML patients over the years 2000–2014. Blood Cancer J. 2017, 7, 1–9. [Google Scholar] [CrossRef]
- Grimwade, D.; Walker, H.; Oliver, F.; Wheatley, K.; Harrison, C.; Harrison, G.; Rees, J.; Hann, I.; Stevens, R.; Burnett, A.; et al. The importance of diagnostic cytogenetics on outcome in AML: Analysis of 1612 patients entered into the MRC AML 10 trial. The Medical Research Council Adult and Children’s Leukaemia Working Parties. Blood 1998, 92, 2322–2333. [Google Scholar] [CrossRef]
- Fine, J.; Gray, R. A proportional hazards model for the subdistribution of a competing risk. J. Am. Stat. Assoc. 1999, 94, 496–509. [Google Scholar] [CrossRef]
- Concato, J.; Feinstein, A.R.; Holford, T.R. The risk of determining risk with multivariable models. Ann. Intern. Med. 1993, 118, 201–210. [Google Scholar] [CrossRef]
- Ganzel, C.; Sun, Z.; Cripe, L.D.; Fernandez, H.F.; Douer, D.; Rowe, J.M.; Paietta, E.M.; Ketterling, R.; O’Connell, M.J.; Wiernik, P.H.; et al. Very poor long-term survival in past and more recent studies for relapsed AML patients: The ECOG-ACRIN experience. Am. J. Hematol. 2018, 93, 1074–1081. [Google Scholar] [CrossRef]
- Chevallier, P.; Labopin, M.; Turlure, P.; Prebet, T.; Pigneux, A.; Hunault, M.; Filanovsky, K.; Cornillet-Lefebvre, P.; Luquet, I.; Lode, L.; et al. A new Leukemia Prognostic Scoring System for refractory/relapsed adult acute myelogeneous leukaemia patients: A GOELAMS study. Leukemia 2011, 25, 939–944. [Google Scholar] [CrossRef]
- Bertoli, S.; Dumas, P.-Y.; Bérard, E.; Largeaud, L.; Bidet, A.; Delabesse, E.; Tavitian, S.; Gadaud, N.; Leguay, T.; Leroy, H.; et al. Outcome of relapsed or refractory FLT3-mutated acute myeloid leukemia before second-generation FLT3 tyrosine kinase inhibitors: A toulouse-bordeaux DATAML registry study. Cancers 2020, 12, 773. [Google Scholar] [CrossRef]
- Fernandez, S.; Desplat, V.; Villacreces, A.; Guitart, A.V.; Milpied, N.; Pigneux, A.; Vigon, I.; Pasquet, J.-M.; Dumas, P.-Y. Targeting tyrosine kinases in acute myeloid leukemia: Why, who and how? Int. J. Mol. Sci. 2019, 20, 3429. [Google Scholar] [CrossRef] [PubMed]


| Characteristics | Total n = 316 (100%) |
|---|---|
| Age (years) at Diagnosis | |
| Median (IQR) | 57.4 (47.7–67.7) |
| Range | 18.6–81.4 |
| Gender: n (%) | |
| Male | 155 (49.1) |
| Female | 161 (50.9) |
| ECOG at Diagnosis: n (%) | |
| 0–1 | 202 (72.9) |
| ≥ 2 | 75 (27.1) |
| WBC at Diagnosis (× 109/L) | |
| Median (IQR) | 51.5 (21.3–118.1) |
| Range | 0.4–433.0 |
| Tumor Burden: n (%) Extramedullary | |
| Yes | 119 (40.9) |
| No | 172 (59.1) |
| Leukostasis | |
| Yes | 49 (15.8) |
| No | 262 (84.2) |
| LDH | |
| > normal | 280 (92.4) |
| normal | 23 (7.6) |
| Biochemistry: Med (IQR) | |
| Creatinine (µM/L) | 80.5 (64.0–102.0) |
| Albumin (g/L) | 36.0 (32.0–40.0) |
| Fibrinogen (g/L) | 4.0 (2.9–5.3) |
| AML Status: n (%) | |
| de novo | 279 (88.6) |
| Secondary AML a | 36 (11.4) |
| Cytogenetic Risk: n (%) | |
| Favorable | 6 (1.9) |
| Intermediate | 295 (93.4) |
| Normal | 238 (75.3) |
| Different from normal | 57 (18.0) |
| Adverse | 15 (4.7) |
| ELN 2010 Prognosis: n (%) | |
| Favorable | 6 (2.0) |
| Intermediate-1 | 230 (76.4) |
| Intermediate-2 | 50 (16.6) |
| Adverse | 15 (5.0) |
| FLT3 Ratio ITD/wt: n (%) | |
| 3–25% | 34 (24.3) |
| 26–50% | 40 (28.6) |
| > 50% | 66 (47.1) |
| NPM1: n (%) | |
| Mutation | 196 (65.1) |
| No mutation | 105 (34.9) |
| IDH1/2 Mutations: n (%) | |
| IDH1R132 | 10 (6.7) |
| IDH2R140 | 7 (4.7) |
| IDH2R172 | 0 (0.0) |
| No mutation | 132 (88.6) |
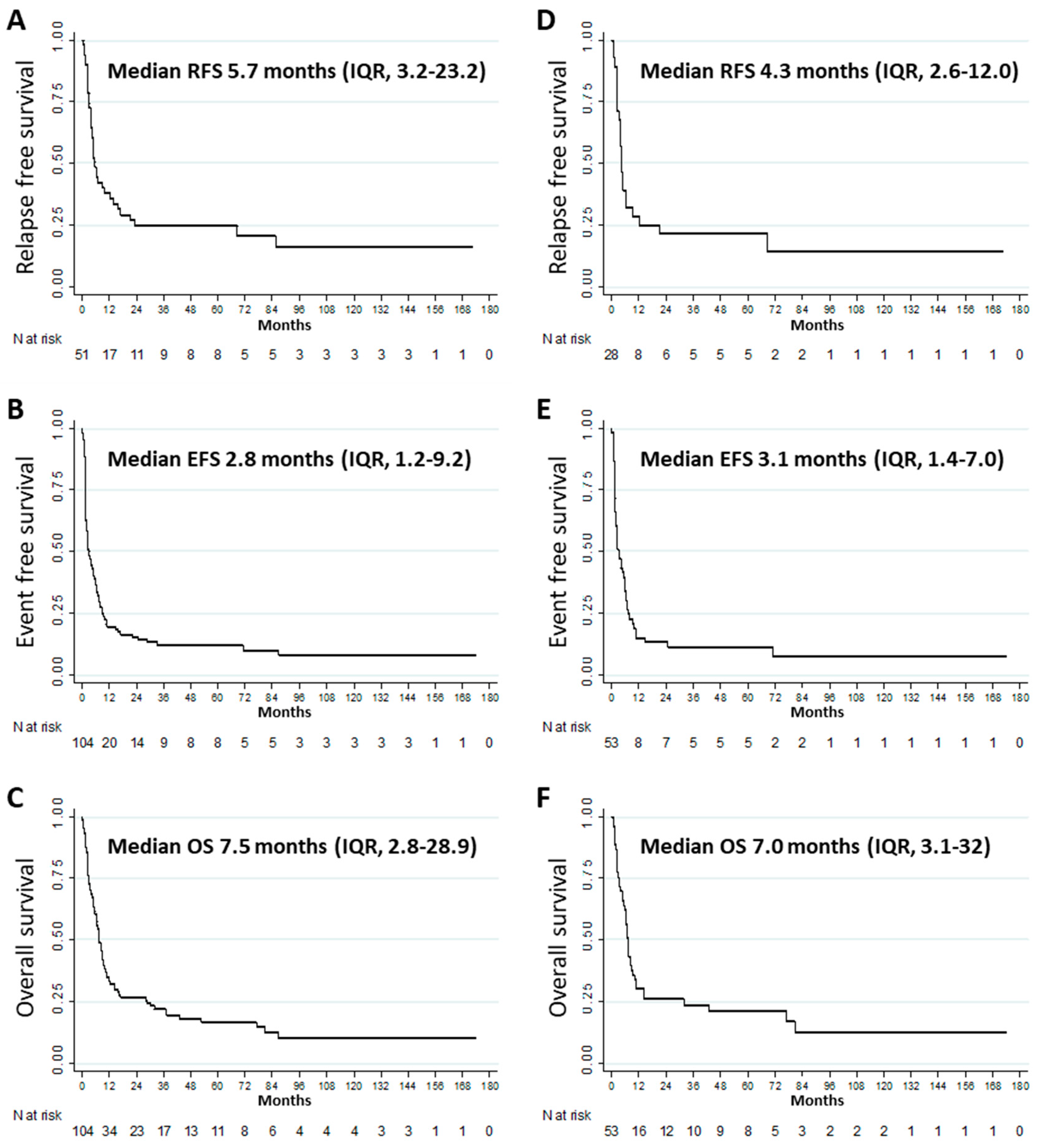
| Outcome | Median Months (IQR) | 1 Year % (95% CI) | 3 Years % (95% CI) | 5 Years % (95% CI) |
|---|---|---|---|---|
| First-line FLT3 Inhibitor-free Intensive Chemotherapy (n = 294) | ||||
| RFS | 12.6 (5.1–154) | 51.9 (45.4–58.0) | 35.0 (29.0–41.1) | 30.8 (24.9–36.9) |
| EFS | 10.9 (4.5–67.1) | 45.9 (40.1–51.5) | 29.7 (24.5–35.0) | 25.4 (20.4–30.7) |
| OS | 17.5 (8.2–115.2) | 60.2 (54.4–65.5) | 38.3 (32.6–43.9) | 33.8 (28.3–39.5) |
| Relapsed or Refractory FLT3-ITD Acute Myeloid Leukemia Patients (n = 104) | ||||
| RFS | 5.7 (3.2–23.2) | 38.1 (24.8–51.3) | 24.7 (13.5–37.5) | 24.7 (13.5–37.5) |
| EFS | 2.8 (1.2–9.2) | 19.7 (12.7–27.9) | 12.0 (6.5–19.3) | 12.0 (6.5–19.3) |
| OS | 7.5 (2.8–28.9) | 33.2 (24.3–42.3) | 22.0 (14.4–30.7) | 16.6 (9.7–25.1) |
| Relapsed < 6 Months or Refractory FLT3-ITD Acute Myeloid Leukemia Patients (n = 53) | ||||
| RFS | 4.3 (2.6–12.0) | 28.6 (13.5–45.6) | 21.4 (8.7–37.8) | 21.4 (8.7–37.8) |
| EFS | 3.1 (1.4–7.0) | 15.1 (7.0–26.0) | 11.3 (4.6–21.4) | 11.3 (4.6–21.4) |
| OS | 7.0 (3.1–32) | 30.2 (18.5–42.7) | 23.7 (13.2–36.0) | 21.3 (11.3–33.5) |
| Characteristics | R/R FLT3-ITD AML n = 160 (100%) |
|---|---|
| Age (years) | |
| Median (IQR) | 58.6 (44.8–69.7) |
| ≥ 75: n (%) | 18 (11.6) |
| Sex: n (%) | |
| Male | 79 (49.4) |
| Female | 81 (50.6) |
| Status: n (%) | |
| Refractory | 46 (28.8) |
| One induction course | 26 (16.3) |
| Two induction courses | 20 (12.5) |
| Relapse | 114 (71.3) |
| < 6 months | 46 (28.8) |
| ≥ 6 months | 68 (42.5) |
| Duration of CR1 or CRi1 (months) | |
| Median (IQR) | 7.2 (4.3–12.6) |
| Allogeneic HSCT history: n (%) | |
| 28 (17.5) | |
| Previous midostaurin or sorafenib: n (%) | |
| 0 (0) |
| Characteristics | R/R FLT3-ITD AML n = 92 (100%) |
|---|---|
| Age (years) | |
| Median (IQR) | 58.8 (44.4–69.4) |
| ≥ 75: n (%) | 8 (8.7) |
| Sex: n (%) | |
| Male | 46 (50.0) |
| Female | 46 (50.0) |
| Status: n (%) | |
| Refractory | 46 (50.0) |
| 1 induction course | 26 (28.3) |
| 2 inductions courses | 20 (21.7) |
| Relapse | 46 (50.0) |
| Duration of CR1/CRi1 (months) | |
| Median (IQR) | 3.6 (2.5–4.9) |
| Allogeneic HSCT history: n (%) | |
| 9 (9.8) | |
| Previous midostaurin or sorafenib: n (%) | |
| 0 (0) |
© 2020 by the authors. Licensee MDPI, Basel, Switzerland. This article is an open access article distributed under the terms and conditions of the Creative Commons Attribution (CC BY) license (http://creativecommons.org/licenses/by/4.0/).
Share and Cite
Dumas, P.-Y.; Bertoli, S.; Bérard, E.; Largeaud, L.; Bidet, A.; Delabesse, E.; Leguay, T.; Leroy, H.; Gadaud, N.; Rieu, J.B.; et al. Real-World Outcomes of Patients with Refractory or Relapsed FLT3-ITD Acute Myeloid Leukemia: A Toulouse-Bordeaux DATAML Registry Study. Cancers 2020, 12, 2044. https://doi.org/10.3390/cancers12082044
Dumas P-Y, Bertoli S, Bérard E, Largeaud L, Bidet A, Delabesse E, Leguay T, Leroy H, Gadaud N, Rieu JB, et al. Real-World Outcomes of Patients with Refractory or Relapsed FLT3-ITD Acute Myeloid Leukemia: A Toulouse-Bordeaux DATAML Registry Study. Cancers. 2020; 12(8):2044. https://doi.org/10.3390/cancers12082044
Chicago/Turabian StyleDumas, Pierre-Yves, Sarah Bertoli, Emilie Bérard, Laetitia Largeaud, Audrey Bidet, Eric Delabesse, Thibaut Leguay, Harmony Leroy, Noémie Gadaud, Jean Baptiste Rieu, and et al. 2020. "Real-World Outcomes of Patients with Refractory or Relapsed FLT3-ITD Acute Myeloid Leukemia: A Toulouse-Bordeaux DATAML Registry Study" Cancers 12, no. 8: 2044. https://doi.org/10.3390/cancers12082044
APA StyleDumas, P.-Y., Bertoli, S., Bérard, E., Largeaud, L., Bidet, A., Delabesse, E., Leguay, T., Leroy, H., Gadaud, N., Rieu, J. B., Vial, J.-P., Vergez, F., Lechevalier, N., Luquet, I., Klein, E., Sarry, A., de Grande, A.-C., Pigneux, A., & Récher, C. (2020). Real-World Outcomes of Patients with Refractory or Relapsed FLT3-ITD Acute Myeloid Leukemia: A Toulouse-Bordeaux DATAML Registry Study. Cancers, 12(8), 2044. https://doi.org/10.3390/cancers12082044

