Systemic Proteome Alterations Linked to Early Stage Pancreatic Cancer in Diabetic Patients
Abstract
1. Introduction
2. Results
2.1. Analytical Platform
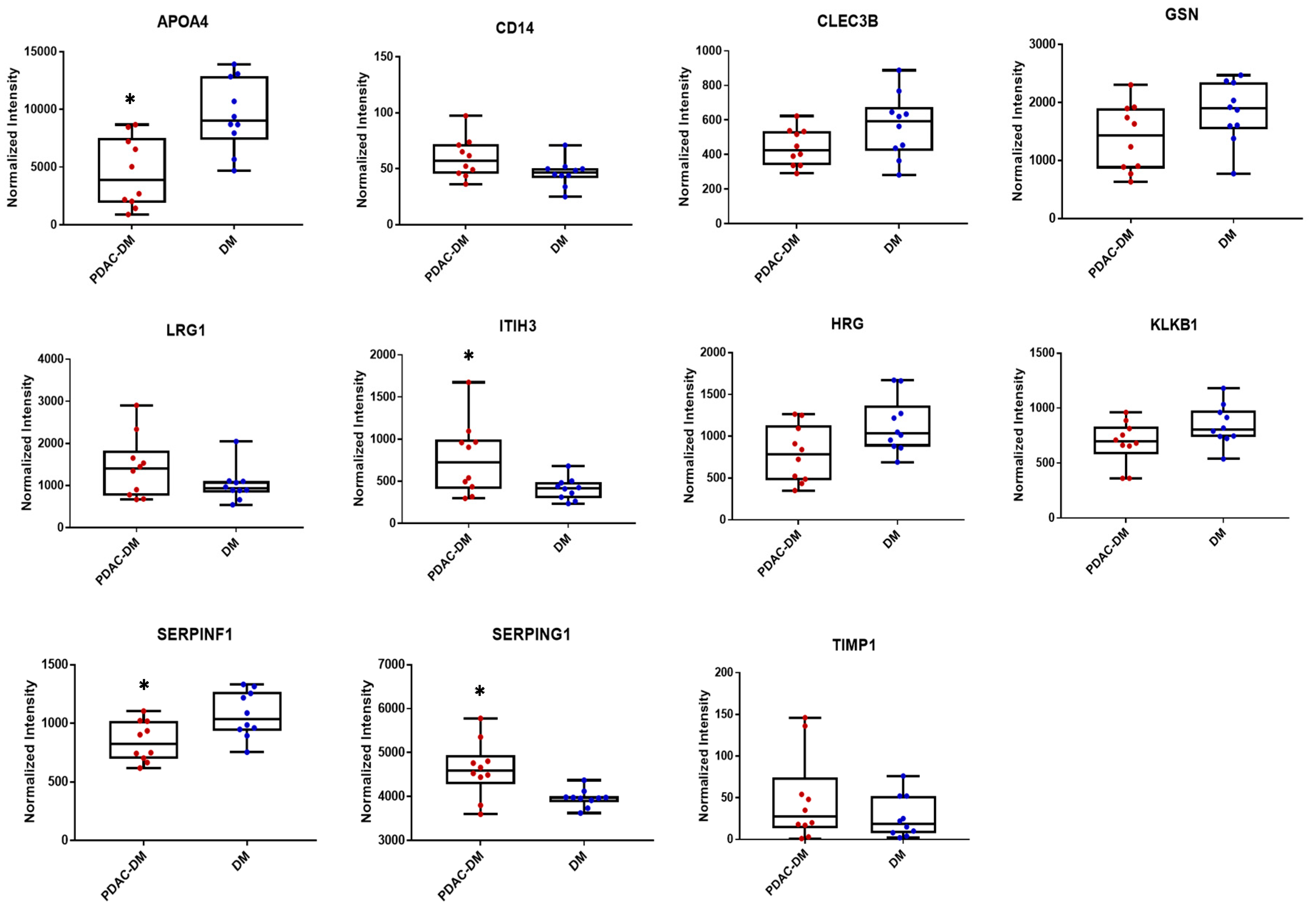
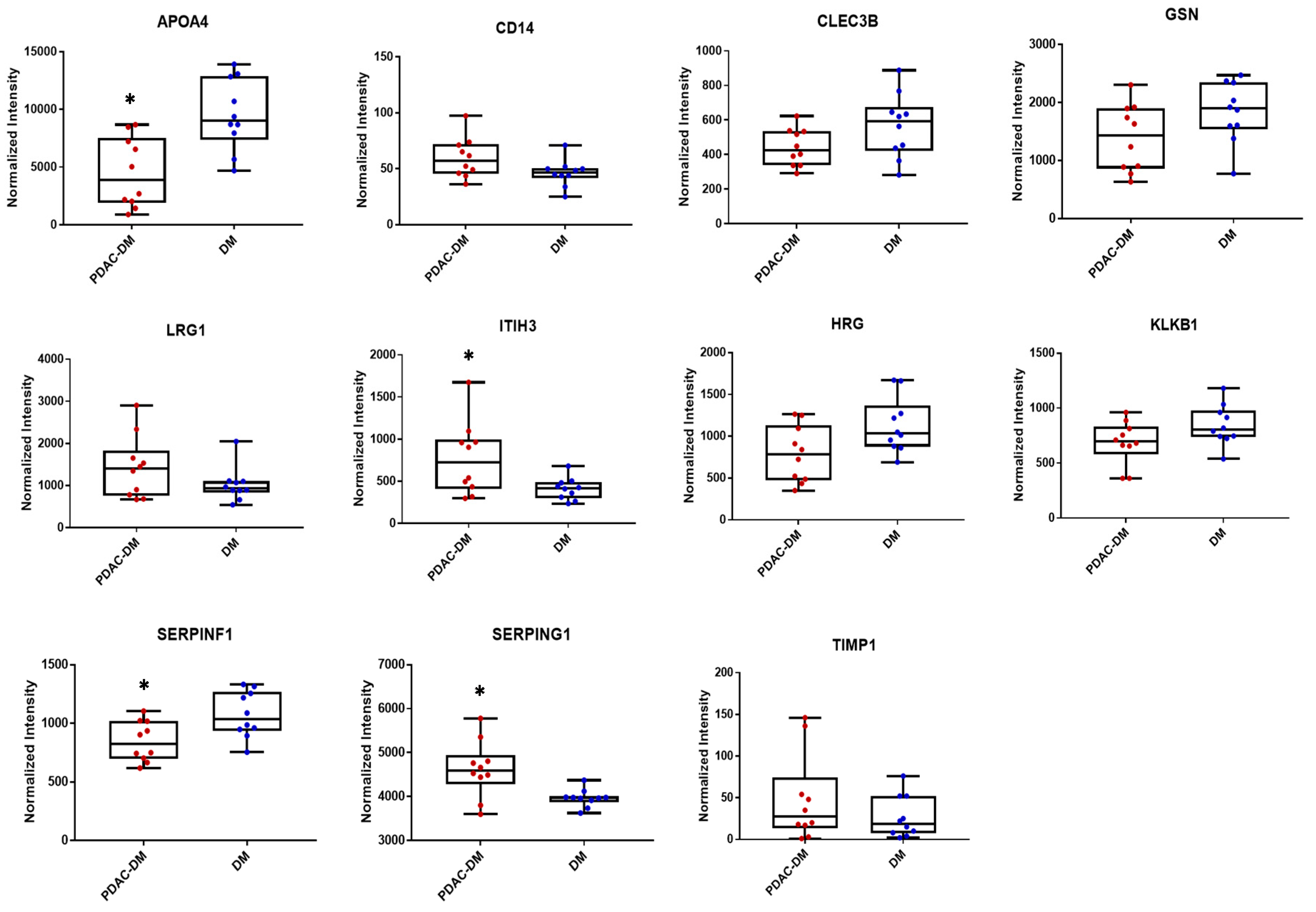
2.2. Plasma Protein Candidates Associated with Early-Stage PDAC in Pilot Cohort
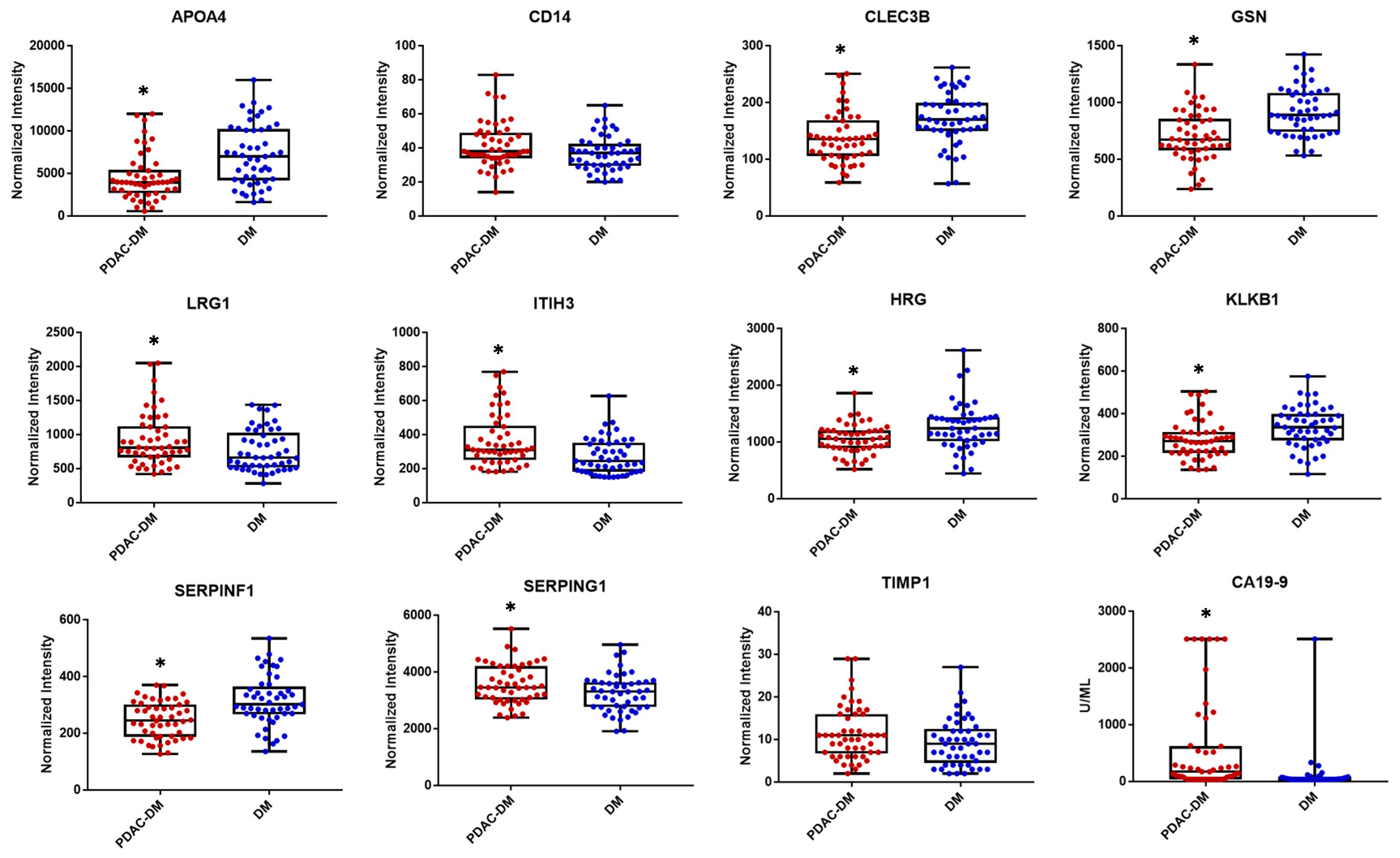
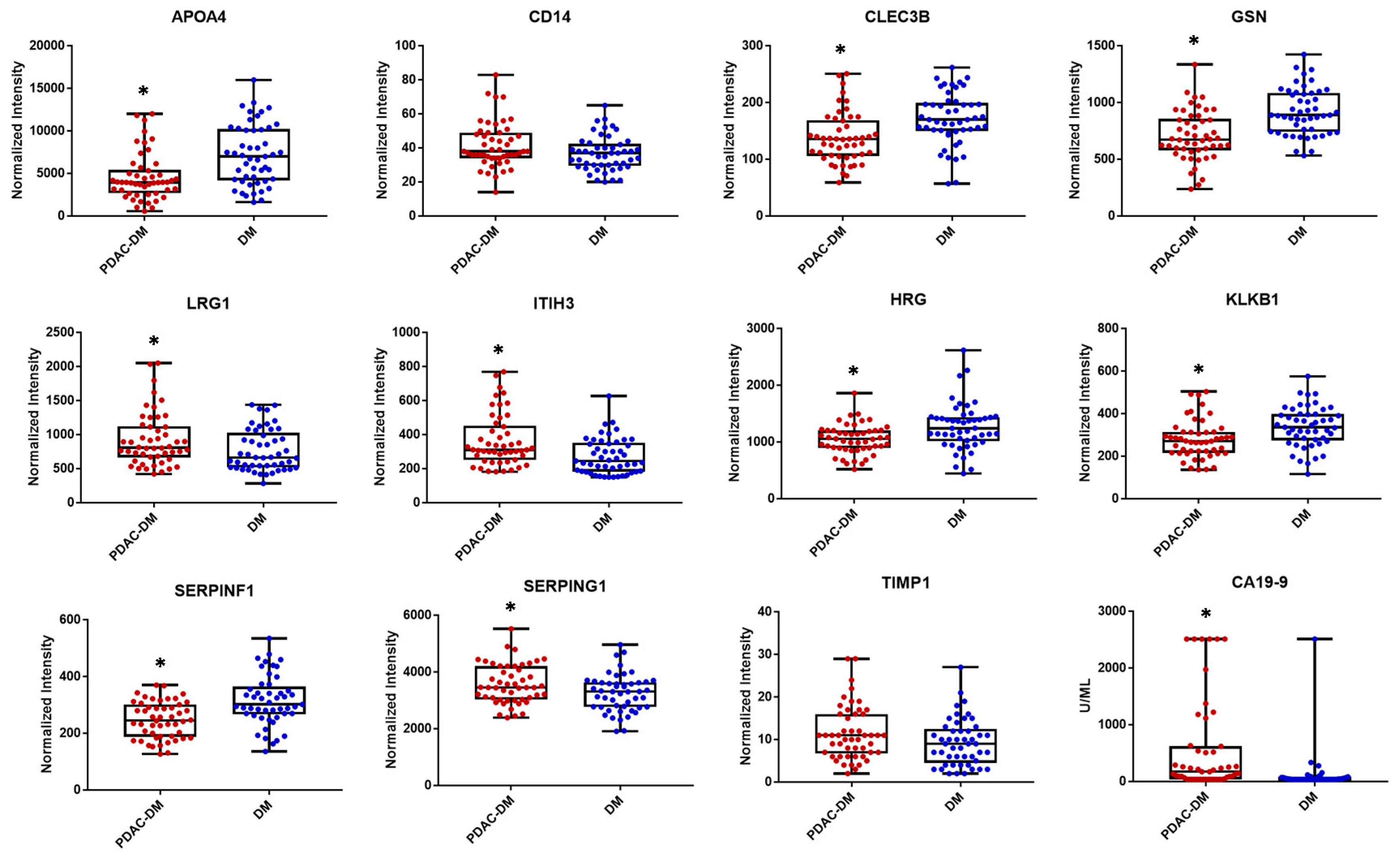
2.3. Analysis of the Selected Plasma Proteins in Testing Cohort
2.4. Evaluation of Multiplexed Panels
2.5. Tumor Tissue RNA Expression of the Candidates in the Cancer Genome Atlas (TCGA) Database
3. Discussion
4. Materials and Methods
4.1. Patients and Plasma Samples
4.2. Sample Preparation for Proteomic Analysis
4.3. LC-MS/MS Analysis
4.4. Data Analysis
4.5. CA19-9 Analysis
4.6. Statistical Analysis
5. Conclusions
Supplementary Materials
Author Contributions
Funding
Acknowledgments
Conflicts of Interest
References
- Siegel, R.L.; Miller, K.D.; Jemal, A. Cancer statistics, 2019. CA Cancer J. Clin. 2019, 69, 7–34. [Google Scholar] [PubMed]
- Brand, R. The diagnosis of pancreatic cancer. Cancer J. 2001, 7, 287–297. [Google Scholar] [PubMed]
- Siegel, R.; Naishadham, D.; Jemal, A. Cancer statistics, 2012. CA Cancer J. Clin. 2012, 62, 10–29. [Google Scholar] [CrossRef] [PubMed]
- Pongprasobchai, S.; Pannala, R.; Smyrk, T.C.; Bamlet, W.; Pitchumoni, S.; Ougolkov, A.; de Andrade, M.; Petersen, G.M.; Chari, S.T. Long-term survival and prognostic indicators in small (≤2 cm) pancreatic cancer. Pancreatology 2008, 8, 587–592. [Google Scholar] [CrossRef]
- Capello, M.; Bantis, L.E.; Scelo, G.; Zhao, Y.; Li, P.; Dhillon, D.S.; Patel, N.J.; Kundnani, D.L.; Wang, H.; Abbruzzese, J.L.; et al. Sequential Validation of Blood-Based Protein Biomarker Candidates for Early-Stage Pancreatic Cancer. J. Natl. Cancer Inst. 2017, 109. [Google Scholar] [CrossRef]
- Chen, R.; Crispin, D.A.; Pan, S.; Hawley, S.; McIntosh, M.W.; May, D.; Anton-Culver, H.; Ziogas, A.; Bronner, M.P.; Brentnall, T.A. Pilot study of blood biomarker candidates for detection of pancreatic cancer. Pancreas 2010, 39, 981–988. [Google Scholar] [CrossRef]
- Faca, V.M.; Song, K.S.; Wang, H.; Zhang, Q.; Krasnoselsky, A.L.; Newcomb, L.F.; Plentz, R.R.; Gurumurthy, S.; Redston, M.S.; Pitteri, S.J.; et al. A mouse to human search for plasma proteome changes associated with pancreatic tumor development. PLoS Med. 2008, 5, e123. [Google Scholar] [CrossRef]
- Fahrmann, J.F.; Bantis, L.E.; Capello, M.; Scelo, G.; Dennison, J.B.; Patel, N.; Murage, E.; Vykoukal, J.; Kundnani, D.L.; Foretova, L.; et al. A Plasma-Derived Protein-Metabolite Multiplexed Panel for Early-Stage Pancreatic Cancer. J. Natl. Cancer Inst. 2019, 111, 372–379. [Google Scholar] [CrossRef]
- Gerdtsson, A.S.; Wingren, C.; Persson, H.; Delfani, P.; Nordstrom, M.; Ren, H.; Wen, X.; Ringdahl, U.; Borrebaeck, C.A.; Hao, J. Plasma protein profiling in a stage defined pancreatic cancer cohort—Implications for early diagnosis. Mol. Oncol. 2016, 10, 1305–1316. [Google Scholar] [CrossRef]
- Jenkinson, C.; Elliott, V.; Menon, U.; Apostolidou, S.; Fourkala, O.E.; Gentry-Maharaj, A.; Pereira, S.P.; Jacobs, I.; Cox, T.F.; Greenhalf, W.; et al. Evaluation in pre-diagnosis samples discounts ICAM-1 and TIMP-1 as biomarkers for earlier diagnosis of pancreatic cancer. J. Proteom. 2015, 113, 400–402. [Google Scholar] [CrossRef]
- Makawita, S.; Dimitromanolakis, A.; Soosaipillai, A.; Soleas, I.; Chan, A.; Gallinger, S.; Haun, R.S.; Blasutig, I.M.; Diamandis, E.P. Validation of four candidate pancreatic cancer serological biomarkers that improve the performance of CA19.9. BMC Cancer 2013, 13, 404. [Google Scholar] [CrossRef]
- Pan, S.; Chen, R.; Crispin, D.A.; May, D.; Stevens, T.; McIntosh, M.W.; Bronner, M.P.; Ziogas, A.; Anton-Culver, H.; Brentnall, T.A. Protein alterations associated with pancreatic cancer and chronic pancreatitis found in human plasma using global quantitative proteomics profiling. J. Proteome Res. 2011, 10, 2359–2376. [Google Scholar] [CrossRef] [PubMed]
- Pan, S.; Chen, R.; Brand, R.E.; Hawley, S.; Tamura, Y.; Gafken, P.R.; Milless, B.P.; Goodlett, D.R.; Rush, J.; Brentnall, T.A. Multiplex targeted proteomic assay for biomarker detection in plasma: A pancreatic cancer biomarker case study. J. Proteome Res. 2012, 11, 1937–1948. [Google Scholar] [CrossRef] [PubMed]
- Pan, S.; Brentnall, T.A.; Chen, R. Proteomics analysis of bodily fluids in pancreatic cancer. Proteomics 2015, 15, 2705–2715. [Google Scholar] [CrossRef] [PubMed]
- Park, J.; Lee, E.; Park, K.J.; Park, H.D.; Kim, J.W.; Woo, H.I.; Lee, K.H.; Lee, K.T.; Lee, J.K.; Park, J.O.; et al. Large-scale clinical validation of biomarkers for pancreatic cancer using a mass spectrometry-based proteomics approach. Oncotarget 2017, 8, 42761–42771. [Google Scholar] [CrossRef] [PubMed]
- Park, J.; Choi, Y.; Namkung, J.; Yi, S.G.; Kim, H.; Yu, J.; Kim, Y.; Kwon, M.S.; Kwon, W.; Oh, D.Y.; et al. Diagnostic performance enhancement of pancreatic cancer using proteomic multimarker panel. Oncotarget 2017, 8, 93117–93130. [Google Scholar] [CrossRef]
- Yoneyama, T.; Ohtsuki, S.; Honda, K.; Kobayashi, M.; Iwasaki, M.; Uchida, Y.; Okusaka, T.; Nakamori, S.; Shimahara, M.; Ueno, T.; et al. Identification of IGFBP2 and IGFBP3 As Compensatory Biomarkers for CA19-9 in Early-Stage Pancreatic Cancer Using a Combination of Antibody-Based and LC-MS/MS-Based Proteomics. PLoS ONE 2016, 11, e0161009. [Google Scholar] [CrossRef]
- Bray, F.; Ferlay, J.; Soerjomataram, I.; Siegel, R.L.; Torre, L.A.; Jemal, A. Global cancer statistics 2018: GLOBOCAN estimates of incidence and mortality worldwide for 36 cancers in 185 countries. CA Cancer J. Clin. 2018, 68, 394–424. [Google Scholar] [CrossRef]
- Pannala, R.; Basu, A.; Petersen, G.M.; Chari, S.T. New-onset diabetes: A potential clue to the early diagnosis of pancreatic cancer. Lancet Oncol. 2009, 10, 88–95. [Google Scholar] [CrossRef]
- Li, D. Diabetes and pancreatic cancer. Mol. Carcinog. 2012, 51, 64–74. [Google Scholar] [CrossRef]
- Peng, H.; Chen, R.; Brentnall, T.A.; Eng, J.K.; Picozzi, V.J.; Pan, S. Predictive proteomic signatures for response of pancreatic cancer patients receiving chemotherapy. Clin. Proteom. 2019, 16, 31. [Google Scholar] [CrossRef]
- Maclean, B.; Tomazela, D.M.; Shulman, N.; Chambers, M.; Finney, G.L.; Frewen, B.; Kern, R.; Tabb, D.L.; Liebler, D.C.; Maccoss, M.J. Skyline: An open source document editor for creating and analyzing targeted proteomics experiments. Bioinformatics 2010, 26, 966–968. [Google Scholar] [CrossRef] [PubMed]
- Prokopchuk, O.; Grunwald, B.; Nitsche, U.; Jager, C.; Prokopchuk, O.L.; Schubert, E.C.; Friess, H.; Martignoni, M.E.; Kruger, A. Elevated systemic levels of the matrix metalloproteinase inhibitor TIMP-1 correlate with clinical markers of cachexia in patients with chronic pancreatitis and pancreatic cancer. BMC Cancer 2018, 18, 128. [Google Scholar] [CrossRef] [PubMed]
- Uhlen, M.; Zhang, C.; Lee, S.; Sjostedt, E.; Fagerberg, L.; Bidkhori, G.; Benfeitas, R.; Arif, M.; Liu, Z.; Edfors, F.; et al. A pathology atlas of the human cancer transcriptome. Science 2017, 357. [Google Scholar] [CrossRef] [PubMed]
- Sugimachi, K.; Yamaguchi, R.; Eguchi, H.; Ueda, M.; Niida, A.; Sakimura, S.; Hirata, H.; Uchi, R.; Shinden, Y.; Iguchi, T.; et al. 8q24 Polymorphisms and Diabetes Mellitus Regulate Apolipoprotein A-IV in Colorectal Carcinogenesis. Ann. Surg. Oncol. 2016, 23, 546–551. [Google Scholar] [CrossRef] [PubMed]
- Ahn, S.B.; Sharma, S.; Mohamedali, A.; Mahboob, S.; Redmond, W.J.; Pascovici, D.; Wu, J.X.; Zaw, T.; Adhikari, S.; Vaibhav, V.; et al. Potential early clinical stage colorectal cancer diagnosis using a proteomics blood test panel. Clin. Proteom. 2019, 16, 34. [Google Scholar] [CrossRef] [PubMed]
- Dai, W.; Wang, Y.; Yang, T.; Wang, J.; Wu, W.; Gu, J. Downregulation of exosomal CLEC3B in hepatocellular carcinoma promotes metastasis and angiogenesis via AMPK and VEGF signals. Cell Commun. Signal. 2019, 17, 113. [Google Scholar] [CrossRef]
- Obrist, P.; Spizzo, G.; Ensinger, C.; Fong, D.; Brunhuber, T.; Schafer, G.; Varga, M.; Margreiter, R.; Amberger, A.; Gastl, G.; et al. Aberrant tetranectin expression in human breast carcinomas as a predictor of survival. J. Clin. Pathol. 2004, 57, 417–421. [Google Scholar] [CrossRef]
- Sun, J.; Xie, T.; Jamal, M.; Tu, Z.; Li, X.; Wu, Y.; Li, J.; Zhang, Q.; Huang, X. CLEC3B as a potential diagnostic and prognostic biomarker in lung cancer and association with the immune microenvironment. Cancer Cell Int. 2020, 20, 106. [Google Scholar] [CrossRef]
- Yin, H.L.; Stossel, T.P. Control of cytoplasmic actin gel-sol transformation by gelsolin, a calcium-dependent regulatory protein. Nature 1979, 281, 583–586. [Google Scholar] [CrossRef]
- Tomas, A.; Yermen, B.; Min, L.; Pessin, J.E.; Halban, P.A. Regulation of pancreatic beta-cell insulin secretion by actin cytoskeleton remodelling: Role of gelsolin and cooperation with the MAPK signalling pathway. J. Cell Sci. 2006, 119, 2156–2167. [Google Scholar] [CrossRef] [PubMed]
- Wittmann, J.; Dieckow, J.; Schroder, H.; Hampel, U.; Garreis, F.; Jacobi, C.; Milczarek, A.; Hsieh, K.L.; Pulli, B.; Chen, J.W.; et al. Plasma gelsolin promotes re-epithelialization. Sci. Rep. 2018, 8, 13140. [Google Scholar] [CrossRef] [PubMed]
- Khatri, N.; Sagar, A.; Peddada, N.; Choudhary, V.; Chopra, B.S.; Garg, V.; Garg, R.; Ashish. Plasma gelsolin levels decrease in diabetic state and increase upon treatment with F-actin depolymerizing versions of gelsolin. J. Diabetes Res. 2014, 2014, 152075. [Google Scholar] [CrossRef] [PubMed]
- Chen, Z.; Li, K.; Yin, X.; Li, H.; Li, Y.; Zhang, Q.; Wang, H.; Qiu, Y. Lower Expression of Gelsolin in Colon Cancer and Its Diagnostic Value in Colon Cancer Patients. J. Cancer 2019, 10, 1288–1296. [Google Scholar] [CrossRef]
- Becerra, S.P.; Notario, V. The effects of PEDF on cancer biology: Mechanisms of action and therapeutic potential. Nat. Rev. Cancer 2013, 13, 258–271. [Google Scholar] [CrossRef]
- Grippo, P.J.; Fitchev, P.S.; Bentrem, D.J.; Melstrom, L.G.; Dangi-Garimella, S.; Krantz, S.B.; Heiferman, M.J.; Chung, C.; Adrian, K.; Cornwell, M.L.; et al. Concurrent PEDF deficiency and Kras mutation induce invasive pancreatic cancer and adipose-rich stroma in mice. Gut 2012, 61, 1454–1464. [Google Scholar] [CrossRef]
- Cheung, C.Y.Y.; Lee, C.H.; Tang, C.S.; Xu, A.; Au, K.W.; Fong, C.H.Y.; Ng, K.K.K.; Kwok, K.H.M.; Chow, W.S.; Woo, Y.C.; et al. Genetic Regulation of Pigment Epithelium-Derived Factor (PEDF): An Exome-Chip Association Analysis in Chinese Subjects With Type 2 Diabetes. Diabetes 2019, 68, 198–206. [Google Scholar] [CrossRef]
- Chari, S.T.; Leibson, C.L.; Rabe, K.G.; Ransom, J.; De Andrade, M.; Petersen, G.M. Probability of pancreatic cancer following diabetes: A population-based study. Gastroenterology 2005, 129, 504–511. [Google Scholar] [CrossRef]
- Sharma, A.; Kandlakunta, H.; Nagpal, S.J.S.; Feng, Z.; Hoos, W.; Petersen, G.M.; Chari, S.T. Model to Determine Risk of Pancreatic Cancer in Patients With New-Onset Diabetes. Gastroenterology 2018, 155, 730–739. [Google Scholar] [CrossRef]
- Eng, J.K.; Jahan, T.A.; Hoopmann, M.R. Comet: An open-source MS/MS sequence database search tool. Proteomics 2013, 13, 22–24. [Google Scholar] [CrossRef]
- Deutsch, E.W.; Mendoza, L.; Shteynberg, D.; Slagel, J.; Sun, Z.; Moritz, R.L. Trans-Proteomic Pipeline, a standardized data processing pipeline for large-scale reproducible proteomics informatics. Proteomics Clin. Appl 2015, 9, 745–754. [Google Scholar] [CrossRef] [PubMed]
- Keller, A.; Nesvizhskii, A.I.; Kolker, E.; Aebersold, R. Empirical statistical model to estimate the accuracy of peptide identifications made by MS/MS and database search. Anal. Chem. 2002, 74, 5383–5392. [Google Scholar] [CrossRef] [PubMed]






| Pilot Cohort | Testing Cohort | ||
|---|---|---|---|
| Total samples | 20 | 99 | |
| PDAC | 10 | 50 | |
| Stage | Ia | 1 | 3 |
| Ib | 1 | ||
| IIa | 9 | 11 | |
| IIb | 35 | ||
| III | 0 | ||
| VI | 0 | ||
| Control | 10 | 49 | |
| Normal Imaging | 11 | ||
| Chronic pancreatitis | 25 | ||
| Healthy | 3 | ||
| Normal pancreas | 8 | ||
| Other benign conditions | 2 | ||
| Diabetes | Yes | 20 | 99 |
| No | 0 | 0 | |
| Gene | Protein Name | Fitting AUC * | LOO AUC ** |
|---|---|---|---|
| APOA4 | Apolipoprotein A-IV | 0.72 | 0.69 |
| CD14 | Monocyte differentiation antigen CD14 | 0.60 | 0.44 |
| CLEC3B | Tetranectin | 0.72 | 0.71 |
| GSN | Gelsolin | 0.77 | 0.75 |
| HRG | Histidine-rich glycoprotein | 0.68 | 0.66 |
| ITIH3 | Inter-alpha-trypsin inhibitor heavy chain H3 | 0.69 | 0.66 |
| KLKB1 | Plasma kallikrein | 0.69 | 0.67 |
| LRG1 | Leucine-rich alpha-2-glycoprotein | 0.63 | 0.59 |
| SERPINF1 | Pigment epithelium-derived factor | 0.73 | 0.71 |
| SERPING1 | Plasma protease C1 inhibitor | 0.62 | 0.59 |
| TIMP1 | metalloproteinase inhibitor 1 | 0.60 | 0.56 |
| CA19.9 | 0.77 | 0.66 |
| Full Panel | Top 4 with Highest LOO AUC | Correlation Panel | Non-Correlation Panel | CA19-9 | |||||
|---|---|---|---|---|---|---|---|---|---|
| Panel | APOA4+CD14+CLEC3B+GSN+HRG+ITIH3+KLKB1+LRG1+SERPING1+SERPINF1+TIMP1 | APOA4+CLEC3B+GSN+SERPINF1 | APOA4+CLEC3B+GSN+HRG+KLKB1+SERPINF1 | APOA4+ITIH3+LRG1+SERPING1+TIMP1 | CA19-9 | ||||
| w/o CA19-9 | w CA19-9 | w/o CA19-9 | w CA19-9 | w/o CA19-9 | w CA19-9 | w/o CA19-9 | w CA19-9 | CA19-9 | |
| LOO AUC (95% CI) | 0.81 (0.73–0.90) | 0.85 (0.77–0.93) | 0.79 (0.70–0.88) | 0.83 (0.74–0.91) | 0.77 (0.68–0.86) | 0.83 (0.75–0.92) | 0.69 (0.59–0.80) | 0.81 (0.72–0.90) | 0.66 (0.54–0.78) |
| Sensitivity—True positive rate (TPR) | 0.76 | 0.80 | 0.78 | 0.80 | 0.74 | 0.82 | 0.66 | 0.82 | 0.94 |
| Specificity—True negative rate (TNR) | 0.70 | 0.80 | 0.68 | 0.74 | 0.68 | 0.76 | 0.64 | 0.72 | 0.40 |
© 2020 by the authors. Licensee MDPI, Basel, Switzerland. This article is an open access article distributed under the terms and conditions of the Creative Commons Attribution (CC BY) license (http://creativecommons.org/licenses/by/4.0/).
Share and Cite
Peng, H.; Pan, S.; Yan, Y.; Brand, R.E.; Petersen, G.M.; Chari, S.T.; Lai, L.A.; Eng, J.K.; Brentnall, T.A.; Chen, R. Systemic Proteome Alterations Linked to Early Stage Pancreatic Cancer in Diabetic Patients. Cancers 2020, 12, 1534. https://doi.org/10.3390/cancers12061534
Peng H, Pan S, Yan Y, Brand RE, Petersen GM, Chari ST, Lai LA, Eng JK, Brentnall TA, Chen R. Systemic Proteome Alterations Linked to Early Stage Pancreatic Cancer in Diabetic Patients. Cancers. 2020; 12(6):1534. https://doi.org/10.3390/cancers12061534
Chicago/Turabian StylePeng, Hong, Sheng Pan, Yuanqing Yan, Randall E. Brand, Gloria M. Petersen, Suresh T. Chari, Lisa A. Lai, Jimmy K. Eng, Teresa A. Brentnall, and Ru Chen. 2020. "Systemic Proteome Alterations Linked to Early Stage Pancreatic Cancer in Diabetic Patients" Cancers 12, no. 6: 1534. https://doi.org/10.3390/cancers12061534
APA StylePeng, H., Pan, S., Yan, Y., Brand, R. E., Petersen, G. M., Chari, S. T., Lai, L. A., Eng, J. K., Brentnall, T. A., & Chen, R. (2020). Systemic Proteome Alterations Linked to Early Stage Pancreatic Cancer in Diabetic Patients. Cancers, 12(6), 1534. https://doi.org/10.3390/cancers12061534

