The Expression Profiles of ADME Genes in Human Cancers and Their Associations with Clinical Outcomes
Abstract
Simple Summary
Abstract
1. Introduction
2. Results
2.1. The Expression Profiles of ADME Genes in Human Cancers
2.2. Variable Expression of ADME Genes within and among Different Types of Cancers
2.3. Core ADME Genes Were Significantly Associated with Overall Survival Rates in Cancers
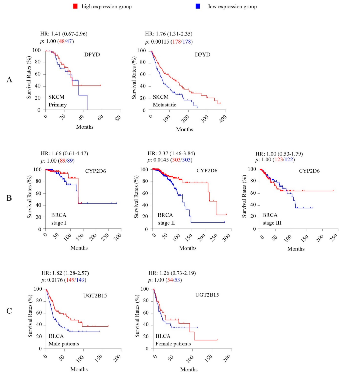
2.3.1. Association of Core ADME Genes Coding for Phase I Drug Metabolism Enzymes with OS Rates in Cancers
2.3.2. Association of Core ADME Genes Coding for Phase II Drug Metabolism Enzymes with OS Rates in Cancers
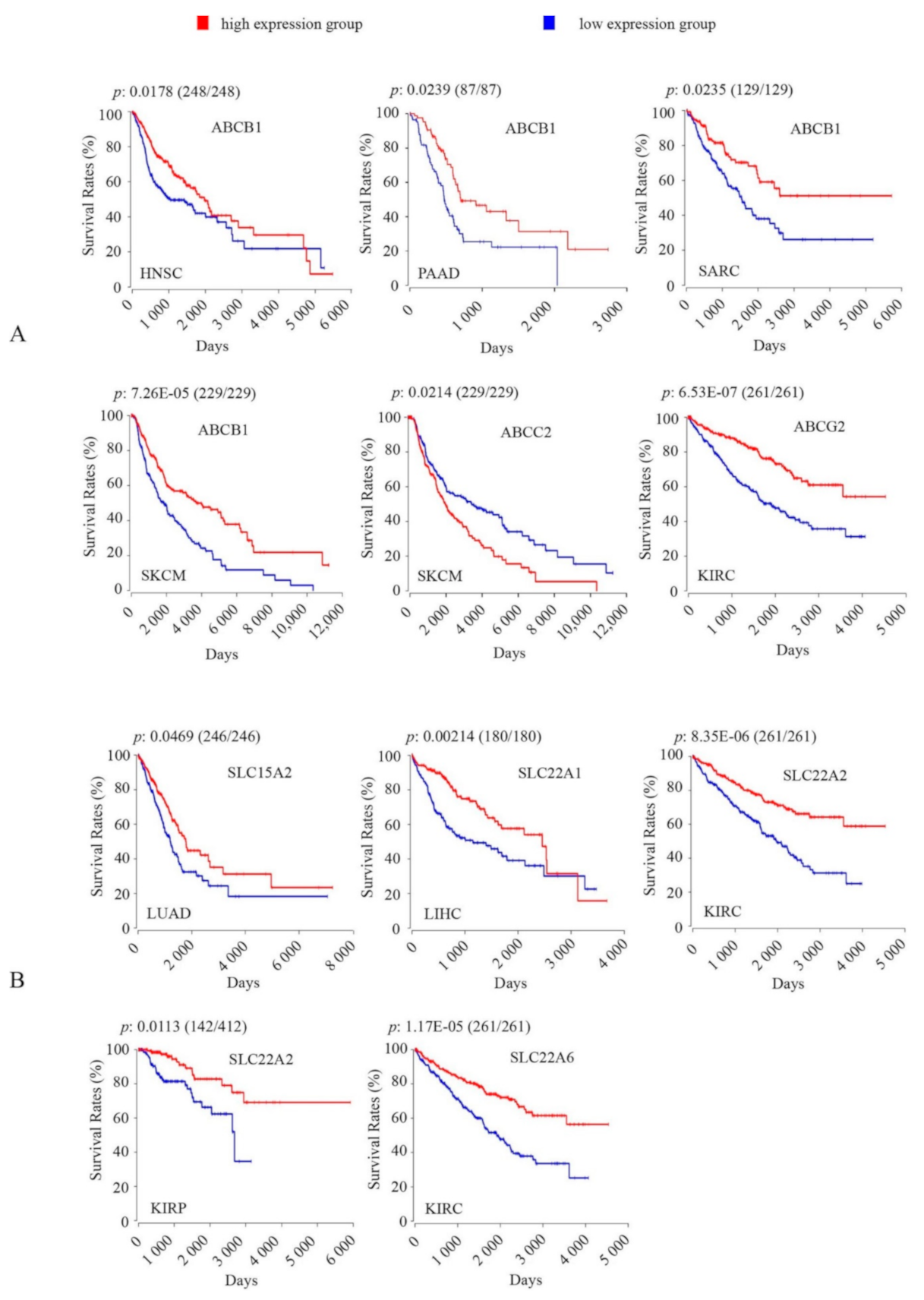
2.3.3. Association of Core ADME Genes Coding for Drug Transporters with OS Rates in Cancers
2.4. Survival Analyses of Core ADME Genes in Non-TCGA Lung and Breast Cancer Datasets
3. Discussion
4. Materials and Methods
4.1. ADME Genes and TCGA Cancer Types
4.2. ADME Gene Expression Profiles Among and Within Cancers
4.3. Assessment of Associations between the Intratumoral Expression Levels of Core ADME Genes and Overall Survival of Cancer Patients Using the OncoLnc Database
4.4. Survival Analysis of Core ADME Genes in Non-TCGA Cancer Datasets
5. Conclusions
Supplementary Materials
Author Contributions
Funding
Acknowledgments
Conflicts of Interest
References
- Siegel, R.L.; Miller, K.D.; Jemal, A. Cancer statistics, 2019. CA Cancer J. Clin. 2019, 69, 7–34. [Google Scholar] [CrossRef] [PubMed]
- Torre, L.A.; Bray, F.; Siegel, R.L.; Ferlay, J.; Lortet-Tieulent, J.; Jemal, A. Global cancer statistics, 2012. CA Cancer J. Clin. 2015, 65, 87–108. [Google Scholar] [CrossRef] [PubMed]
- Bray, F.; Ferlay, J.; Soerjomataram, I.; Siegel, R.L.; Torre, L.A.; Jemal, A. Global cancer statistics 2018: GLOBOCAN estimates of incidence and mortality worldwide for 36 cancers in 185 countries. CA Cancer J. Clin. 2018, 68, 394–424. [Google Scholar] [CrossRef] [PubMed]
- Nair, M.; Sandhu, S.S.; Sharma, A.K. Cancer molecular markers: A guide to cancer detection and management. Semin. Cancer Biol. 2018, 52, 39–55. [Google Scholar] [CrossRef]
- Pritzker, K.P. Predictive and prognostic cancer biomarkers revisited. Expert. Rev. Mol. Diagn. 2015, 15, 971–974. [Google Scholar] [CrossRef]
- Gokden, M.; Ariza, A.; Arnaoutakis, K. Molecular Markers in the Diagnosis and Treatment of Cancer. Biomed. Res. Int. 2015, 2015, 105217. [Google Scholar] [CrossRef]
- Nowsheen, S.; Aziz, K.; Panayiotidis, M.I.; Georgakilas, A.G. Molecular markers for cancer prognosis and treatment: Have we struck gold? Cancer Lett. 2012, 327, 142–152. [Google Scholar] [CrossRef]
- Hu, D.G.; Marri, S.; McKinnon, R.A.; Mackenzie, P.I.; Meech, R. Deregulation of the Genes that Are Involved in Drug Absorption, Distribution, Metabolism, and Excretion in Hepatocellular Carcinoma. J. Pharmacol. Exp. Ther. 2019, 368, 363–381. [Google Scholar] [CrossRef]
- Hovelson, D.H.; Xue, Z.; Zawistowski, M.; Ehm, M.G.; Harris, E.C.; Stocker, S.L.; Gross, A.S.; Jang, I.J.; Ieiri, I.; Lee, J.E.; et al. Characterization of ADME gene variation in 21 populations by exome sequencing. Pharmacogenet. Genom. 2017, 27, 89–100. [Google Scholar] [CrossRef]
- Jittikoon, J.; Mahasirimongkol, S.; Charoenyingwattana, A.; Chaikledkaew, U.; Tragulpiankit, P.; Mangmool, S.; Inunchot, W.; Somboonyosdes, C.; Wichukchinda, N.; Sawanpanyalert, P.; et al. Comparison of genetic variation in drug ADME-related genes in Thais with Caucasian, African and Asian HapMap populations. J. Hum. Genet. 2016, 61, 119–127. [Google Scholar] [CrossRef]
- Klein, K.; Tremmel, R.; Winter, S.; Fehr, S.; Battke, F.; Scheurenbrand, T.; Schaeffeler, E.; Biskup, S.; Schwab, M.; Zanger, U.M. A New Panel-Based Next-Generation Sequencing Method for ADME Genes Reveals Novel Associations of Common and Rare Variants With Expression in a Human Liver Cohort. Front. Genet. 2019, 10, 7. [Google Scholar] [CrossRef]
- Alzahrani, A.M.; Rajendran, P. The Multifarious Link between Cytochrome P450s and Cancer. Oxid. Med. Cell. Longev. 2020, 2020, 3028387. [Google Scholar] [CrossRef]
- Jancova, P.; Anzenbacher, P.; Anzenbacherova, E. Phase II drug metabolizing enzymes. Biomed. Pap. Med. Fac. Univ. Palacky. Olomouc. Czech. Repub. 2010, 154, 103–116. [Google Scholar] [CrossRef] [PubMed]
- Zanger, U.M.; Schwab, M. Cytochrome P450 enzymes in drug metabolism: Regulation of gene expression, enzyme activities, and impact of genetic variation. Pharmacol. Ther. 2013, 138, 103–141. [Google Scholar] [CrossRef] [PubMed]
- Hu, D.G.; Meech, R.; McKinnon, R.A.; Mackenzie, P.I. Transcriptional regulation of human UDP-glucuronosyltransferase genes. Drug Metab. Rev. 2014, 46, 421–458. [Google Scholar] [CrossRef] [PubMed]
- Nigam, S.K. What do drug transporters really do? Nat. Rev. Drug. Discov. 2015, 14, 29–44. [Google Scholar] [CrossRef] [PubMed]
- Gamage, N.; Barnett, A.; Hempel, N.; Duggleby, R.G.; Windmill, K.F.; Martin, J.L.; McManus, M.E. Human sulfotransferases and their role in chemical metabolism. Toxicol. Sci. 2006, 90, 5–22. [Google Scholar] [CrossRef] [PubMed]
- Rees, D.C.; Johnson, E.; Lewinson, O. ABC transporters: The power to change. Nat. Rev. Mol. Cell. Biol. 2009, 10, 218–227. [Google Scholar] [CrossRef]
- Hu, D.G.; Mackenzie, P.I.; McKinnon, R.A.; Meech, R. Genetic polymorphisms of human UDP-glucuronosyltransferase (UGT) genes and cancer risk. Drug Metab. Rev. 2016, 48, 47–69. [Google Scholar] [CrossRef]
- Aka, I.; Bernal, C.J.; Carroll, R.; Maxwell-Horn, A.; Oshikoya, K.A.; Van Driest, S.L. Clinical Pharmacogenetics of Cytochrome P450-Associated Drugs in Children. J. Pers. Med. 2017, 7, 14. [Google Scholar] [CrossRef]
- Lopez-Fernandez, L.A. ATP-Binding Cassette Transporters in the Clinical Implementation of Pharmacogenetics. J. Pers. Med. 2018, 8, 40. [Google Scholar] [CrossRef] [PubMed]
- Kaur, G.; Gupta, S.K.; Singh, P.; Ali, V.; Kumar, V.; Verma, M. Drug-metabolizing enzymes: Role in drug resistance in cancer. Clin. Transl. Oncol. 2020, 22, 1667–1680. [Google Scholar] [CrossRef] [PubMed]
- Pathania, S.; Bhatia, R.; Baldi, A.; Singhm, R.; Rawal, R.K. Drug metabolizing enzymes and their inhibitors’ role in cancer resistance. Biomed. Pharmacother. 2018, 105, 53–65. [Google Scholar] [CrossRef] [PubMed]
- Robey, R.W.; Pluchino, K.M.; Hall, M.D.; Fojo, A.T.; Bates, S.E.; Gottesman, M.M. Revisiting the role of ABC transporters in multidrug-resistant cancer. Nat. Rev. Cancer 2018, 18, 452–464. [Google Scholar] [CrossRef] [PubMed]
- Cancer Genome Atlas Network. Comprehensive molecular portraits of human breast tumours. Nature 2012, 490, 61–70. [Google Scholar] [CrossRef] [PubMed]
- Cancer Genome Atlas Research Network. Integrated genomic analyses of ovarian carcinoma. Nature 2011, 474, 609–615. [Google Scholar] [CrossRef] [PubMed]
- Cancer Genome Atlas Research Network. Comprehensive genomic characterization of squamous cell lung cancers. Nature 2012, 489, 519–525. [Google Scholar] [CrossRef]
- Cancer Genome Atlas Research Network. Comprehensive molecular characterization of urothelial bladder carcinoma. Nature 2014, 507, 315–322. [Google Scholar] [CrossRef]
- Cancer Genome Atlas Research Network. The Molecular Taxonomy of Primary Prostate Cancer. Cell 2015, 163, 1011–1025. [Google Scholar] [CrossRef]
- Cancer Genome Atlas Research Network. Comprehensive, Integrative Genomic Analysis of Diffuse Lower-Grade Gliomas. N. Engl. J. Med. 2015, 372, 2481–2498. [Google Scholar] [CrossRef]
- Cancer Genome Atlas Research Netwrok. Integrated genomic characterization of endometrial carcinoma. Nature 2013, 497, 67–73. [Google Scholar] [CrossRef] [PubMed]
- Cancer Genome Atlas Research Netwrok. Integrated genomic and molecular characterization of cervical cancer. Nature 2017, 543, 378–384. [Google Scholar] [CrossRef] [PubMed]
- Liu, J.; Lichtenberg, T.; Hoadley, K.A.; Poisson, L.M.; Lazar, A.J.; Cherniack, A.D.; Kovatich, A.J.; Benz, C.C.; Levine, D.A.; Lee, A.V.L.; et al. An Integrated TCGA Pan-Cancer Clinical Data Resource to Drive High-Quality Survival Outcome Analytics. Cell 2018, 173, 400–416. [Google Scholar] [CrossRef] [PubMed]
- Uhlen, M.; Zhang, C.; Lee, S.; Sjostedt, E.; Fagerberg, L.; Bidkhori, G.; Benfeitas, R.; Arif, M.; Liu, Z.; Edfors, F.; et al. A pathology atlas of the human cancer transcriptome. Science 2017, 357, eaan2507. [Google Scholar] [CrossRef]
- Anaya, J. OncoLnc: Linking TCGA survival data to mRNAs, miRNAs, and lncRNAs. PeerJ Comput.Sci. 2016, 2, e67. [Google Scholar] [CrossRef]
- Edwards, L.; Gupta, R.; Filipp, F.V. Hypermutation of DPYD Deregulates Pyrimidine Metabolism and Promotes Malignant Progression. Mol. Cancer Res. 2016, 14, 196–206. [Google Scholar] [CrossRef]
- Wallden, B.; Storhoff, J.; Nielsen, T.; Dowidar, N.; Schaper, C.; Ferree, S.; Liu, S.; Leung, S.; Geiss, G.; Snider, J.; et al. Development and verification of the PAM50-based Prosigna breast cancer gene signature assay. BMC Med. Genom. 2015, 8, 54. [Google Scholar] [CrossRef]
- Mizushima, T.; Tirador, K.A.; Miyamoto, H. Androgen receptor activation: A prospective therapeutic target for bladder cancer? Expert. Opin. Ther. Targets 2017, 21, 249–257. [Google Scholar] [CrossRef]
- Belanger, A.; Pelletier, G.; Labrie, F.; Barbier, O.; Chouinard, S. Inactivation of androgens by UDP-glucuronosyltransferase enzymes in humans. Trends Endocrinol. Metab. 2003, 14, 473–479. [Google Scholar] [CrossRef]
- Reustle, A.; Fisel, P.; Renner, O.; Buttner, F.; Winter, S.; Rausch, S.; Kruck, S.; Nies, A.T.; Hennenlotter, J.; Scharpf, M.; et al. Characterization of the breast cancer resistance protein (BCRP/ABCG2) in clear cell renal cell carcinoma. Int. J. Cancer 2018, 143, 3181–3193. [Google Scholar] [CrossRef]
- Gyorffy, B.; Surowiak, P.; Budczies, J.; Lanczky, A. Online survival analysis software to assess the prognostic value of biomarkers using transcriptomic data in non-small-cell lung cancer. PLoS ONE 2013, 8, e82241. [Google Scholar] [CrossRef] [PubMed]
- Gyorffy, B.; Lanczky, A.; Eklund, A.C.; Denkert, C.; Budczies, J.; Li, Q.; Szallasi, Z. An online survival analysis tool to rapidly assess the effect of 22,277 genes on breast cancer prognosis using microarray data of 1,809 patients. Breast Cancer Res. Treat 2010, 123, 725–731. [Google Scholar] [CrossRef] [PubMed]
- Hu, D.G.; Hulin, J.U.; Nair, P.C.; Haines, A.Z.; McKinnon, R.A.; Mackenzie, P.I.; Meech, R. The UGTome: The expanding diversity of UDP glycosyltransferases and its impact on small molecule metabolism. Pharmacol. Ther. 2019, 204, 107414. [Google Scholar] [CrossRef] [PubMed]
- Menyhart, O.; Nagy, A.; Gyorffy, B. Determining consistent prognostic biomarkers of overall survival and vascular invasion in hepatocellular carcinoma. R. Soc. Open Sci. 2018, 5, 181006. [Google Scholar] [CrossRef] [PubMed]
- Rooseboom, M.; Commandeur, J.N.; Vermeulen, N.P. Enzyme-catalyzed activation of anticancer prodrugs. Pharmacol. Rev. 2004, 56, 53–102. [Google Scholar] [CrossRef] [PubMed]
- Ortiz de Montellano, P.R. Cytochrome P450-activated prodrugs. Future Med. Chem. 2013, 5, 213–228. [Google Scholar] [CrossRef]
- Rooney, P.H.; Telfer, C.; McFadyen, M.C.; Melvin, W.T.; Murray, G.I. The role of cytochrome P450 in cytotoxic bioactivation: Future therapeutic directions. Curr. Cancer Drug Targets 2004, 4, 257–265. [Google Scholar] [CrossRef]
- Schroth, W.; Goetz, M.P.; Hamann, U.; Fasching, P.A.; Schmidt, M.; Winter, S.; Fritz, P.; Simon, W.; Suman, V.J.; Ames, M.M.; et al. Association between CYP2D6 polymorphisms and outcomes among women with early stage breast cancer treated with tamoxifen. JAMA 2009, 302, 1429–1436. [Google Scholar] [CrossRef]
- Li, C.; Zhou, D.; Jiang, X.; Liu, M.; Tang, H.; Mei, Z. Identifying hepatocellular carcinoma-related hub genes by bioinformatics analysis and CYP2C8 is a potential prognostic biomarker. Gene 2019, 698, 9–18. [Google Scholar] [CrossRef]
- Ren, X.; Ji, Y.; Jiang, X.; Qi, X. Downregulation of CYP2A6 and CYP2C8 in Tumor Tissues Is Linked to Worse Overall Survival and Recurrence-Free Survival from Hepatocellular Carcinoma. Biomed. Res. Int. 2018, 2018, 5859415. [Google Scholar] [CrossRef]
- Wang, X.; Liao, X.; Yang, C.; Huang, K.; Yu, T.; Yu, L.; Han, C.; Zhu, G.; Zeng, X.; Liu, Z.; et al. Identification of prognostic biomarkers for patients with hepatocellular carcinoma after hepatectomy. Oncol. Rep. 2019, 41, 1586–1602. [Google Scholar] [CrossRef] [PubMed]
- Wang, X.; Yu, T.; Liao, X.; Yang, C.; Han, C.; Zhu, G.; Huang, K.; Yu, L.; Qin, W.; Su, H.; et al. The prognostic value of CYP2C subfamily genes in hepatocellular carcinoma. Cancer Med. 2018, 7, 966–980. [Google Scholar] [CrossRef] [PubMed]
- Yu, T.; Wang, X.; Zhu, G.; Han, C.; Su, H.; Liao, X.; Yang, C.; Qin, W.; Huang, K.; Peng, T. The prognostic value of differentially expressed CYP3A subfamily members for hepatocellular carcinoma. Cancer Manag. Res. 2018, 10, 1713–1726. [Google Scholar] [CrossRef] [PubMed]
- Rodriguez-Antona, C.; Ingelman-Sundberg, M. Cytochrome P450 pharmacogenetics and cancer. Oncogene 2006, 25, 1679–1691. [Google Scholar] [CrossRef]
- Li, P.; Chen, J.; Miyamoto, H. Androgen Receptor Signaling in Bladder Cancer. Cancers 2017, 9, 20. [Google Scholar] [CrossRef]
- Lombard, A.P.; Mudryj, M. The emerging role of the androgen receptor in bladder cancer. Endocr. Relat. Cancer 2015, 22, R265–R277. [Google Scholar] [CrossRef]
- Allain, E.P.; Rouleau, M.; Levesque, E.; Guillemette, C. Emerging roles for UDP-glucuronosyltransferases in drug resistance and cancer progression. Br. J. Cancer 2020, 122, 1277–1287. [Google Scholar] [CrossRef]
- Hu, D.G.; Selth, L.A.; Tarulli, G.A.; Meech, R.; Wijayakumara, D.; Chanawong, A.; Russell, R.; Caldas, C.; Robinson, J.L.; Carroll, J.S.; et al. Androgen and Estrogen Receptors in Breast Cancer Coregulate Human UDP-Glucuronosyltransferases 2B15 and 2B17. Cancer Res. 2016, 76, 5881–5893. [Google Scholar] [CrossRef]
- Jiang, F.; Chen, L.; Yang, Y.C.; Wang, X.M.; Wang, R.Y.; Li, L.; Wen, W.; Chang, Y.X.; Chen, C.Y.; Tang, J.; et al. CYP3A5 Functions as a Tumor Suppressor in Hepatocellular Carcinoma by Regulating mTORC2/Akt Signaling. Cancer Res. 2015, 75, 1470–1481. [Google Scholar] [CrossRef]
- Allocati, N.; Masulli, M.; Di Ilio, C.; Federici, L. Glutathione transferases: Substrates, inihibitors and pro-drugs in cancer and neurodegenerative diseases. Oncogenesis 2018, 7, 8. [Google Scholar] [CrossRef]
- Thakkar, N.; Lockhart, A.C.; Lee, W. Role of Organic Anion-Transporting Polypeptides (OATPs) in Cancer Therapy. AAPS. J. 2015, 17, 535–545. [Google Scholar] [CrossRef] [PubMed]
- Edemir, B. Identification of Prognostic Organic Cation and Anion Transporters in Different Cancer Entities by In Silico Analysis. Int. J. Mol. Sci. 2020, 21, 4491. [Google Scholar] [CrossRef] [PubMed]
- Grimm, D.; Lieb, J.; Weyer, V.; Vollmar, J.; Darstein, F.; Lautem, A.; Hoppe-Lotichius, M.; Koch, S.; Schad, A.; Schattenberg, J.M.; et al. Organic Cation Transporter 1 (OCT1) mRNA expression in hepatocellular carcinoma as a biomarker for sorafenib treatment. BMC Cancer 2016, 16, 94. [Google Scholar] [CrossRef] [PubMed]
- Li, Q.; Shu, Y. Role of solute carriers in response to anticancer drugs. Mol. Cell Ther. 2014, 2, 15. [Google Scholar] [CrossRef] [PubMed]
- Kang, W.; Zhang, M.; Wang, Q.; Gu, D.; Huang, Z.; Wang, H.; Xiang, Y.; Xia, Q.; Cui, Z.; Jin, X. The SLC Family Are Candidate Diagnostic and Prognostic Biomarkers in Clear Cell Renal Cell Carcinoma. Biomed. Res. Int. 2020, 2020, 1932948. [Google Scholar] [CrossRef]
- Haghjoo, N.; Moeini, A.; Masoudi-Nejad, A. Introducing a panel for early detection of lung adenocarcinoma by using data integration of genomics, epigenomics, transcriptomics and proteomics. Exp. Mol. Pathol. 2020, 112, 104360. [Google Scholar] [CrossRef]
- Brandsch, M.; Knutter, I.; Bosse-Doenecke, E. Pharmaceutical and pharmacological importance of peptide transporters. J. Pharm. Pharmacol. 2008, 60, 543–585. [Google Scholar] [CrossRef]
- Chen, Z.; Shi, T.; Zhang, L.; Zhu, P.; Deng, M.; Huang, C.; Hu, T.; Jiang, L.; Li, J. Mammalian drug efflux transporters of the ATP binding cassette (ABC) family in multidrug resistance: A review of the past decade. Cancer Lett. 2016, 370, 153–164. [Google Scholar] [CrossRef]
- Glavinas, H.; Krajcsi, P.; Cserepes, J.; Sarkadi, B. The role of ABC transporters in drug resistance, metabolism and toxicity. Curr. Drug Deliv. 2004, 1, 27–42. [Google Scholar] [CrossRef]
- Choi, C.H. ABC transporters as multidrug resistance mechanisms and the development of chemosensitizers for their reversal. Cancer Cell Int. 2005, 5, 30. [Google Scholar] [CrossRef][Green Version]
- Sprowl, J.A.; Mikkelsen, T.S.; Giovinazzo, H.; Sparreboom, A. Contribution of tumoral and host solute carriers to clinical drug response. Drug Resist. Updates 2012, 15, 5–20. [Google Scholar] [CrossRef] [PubMed]
- Lu, Z.; Kleeff, J.; Shrikhande, S.; Zimmermann, T.; Korc, M.; Friess, H.; Buchler, M.W. Expression of the multidrug-resistance 1 (MDR1) gene and prognosis in human pancreatic cancer. Pancreas 2000, 21, 240–247. [Google Scholar] [CrossRef] [PubMed]
- Suwa, H.; Ohshio, G.; Arao, S.; Imamura, T.; Yamaki, K.; Manabe, T.; Imamura, M.; Hiai, H.; Fukumoto, M. Immunohistochemical localization of P-glycoprotein and expression of the multidrug resistance-1 gene in human pancreatic cancer: Relevance to indicator of better prognosis. Jpn. J. Cancer Res. 1996, 87, 641–649. [Google Scholar] [CrossRef] [PubMed]
- van den Broek, G.B.; Wildeman, M.; Rasch, C.R.; Armstrong, N.; Schuuring, E.; Begg, A.C.; Looijenga, L.H.; Scheper, R.; van der Wal, J.E.; Menkema, L.; et al. Molecular markers predict outcome in squamous cell carcinoma of the head and neck after concomitant cisplatin-based chemoradiation. Int. J. Cancer 2009, 124, 2643–2650. [Google Scholar] [CrossRef]
- Warta, R.; Theile, D.; Mogler, C.; Herpel, E.; Grabe, N.; Lahrmann, B.; Plinkert, P.K.; Herold-Mende, C.; Weiss, J.; Dyckhoff, G. Association of drug transporter expression with mortality and progression-free survival in stage IV head and neck squamous cell carcinoma. PLoS ONE 2014, 9, e108908. [Google Scholar] [CrossRef]
- Delou, J.M.A.; Vignal, G.M.; Indio-do-Brasil, V.; Accioly, M.T.S.; da Silva, T.S.L.; Piranda, D.N.; Sobral-Leite, M.; de Carvalho, M.A.; Capella, M.A.M.; Vianna-Jorge, R. Loss of constitutive ABCB1 expression in breast cancer associated with worse prognosis. Breast Cancer (Dove Med. Press) 2017, 9, 415–428. [Google Scholar] [CrossRef]
- Hofmockel, G.; Bassukas, I.D.; Wittmann, A.; Dammrich, J. Is the expression of multidrug resistance gene product a prognostic indicator for the clinical outcome of patients with renal cancer? Br. J. Urol. 1997, 80, 11–17. [Google Scholar] [CrossRef]
- Bordow, S.B.; Haber, M.; Madafiglio, J.; Cheung, B.; Marshall, G.M.; Norris, M.D. Expression of the multidrug resistance-associated protein (MRP) gene correlates with amplification and overexpression of the N-myc oncogene in childhood neuroblastoma. Cancer Res. 1994, 54, 5036–5040. [Google Scholar]
- Ramani, P.; Dewchand, H. Expression of mdr1/P-glycoprotein and p110 in neuroblastoma. J. Pathol. 1995, 175, 13–22. [Google Scholar] [CrossRef]
- Fletcher, J.I.; Haber, M.; Henderson, M.J.; Norris, M.D. ABC transporters in cancer: More than just drug efflux pumps. Nat. Rev. Cancer 2010, 10, 147–156. [Google Scholar] [CrossRef]
- Johnstone, R.W.; Ruefli, A.A.; Smyth, M.J. Multiple physiological functions for multidrug transporter P-glycoprotein? Trends Biochem. Sci. 2000, 25, 1–6. [Google Scholar] [CrossRef]
- Mizutani, T.; Masuda, M.; Nakai, E.; Furumiya, K.; Togawa, H.; Nakamura, Y.; Kawai, Y.; Nakahira, K.; Shinkai, S.; Takahashi, K. Genuine functions of P-glycoprotein (ABCB1). Curr. Drug Metab. 2008, 9, 167–174. [Google Scholar] [CrossRef] [PubMed]
- Garraway, L.A.; Chabner, B. MDR1 inhibition: Less resistance or less relevance? Eur. J. Cancer 2002, 38, 2337–2340. [Google Scholar] [CrossRef]
- Goldstein, I.; Rivlin, N.; Shoshana, O.Y.; Ezra, O.; Madar, S.; Goldfinger, N.; Rotter, V. Chemotherapeutic agents induce the expression and activity of their clearing enzyme CYP3A4 by activating p53. Carcinogenesis 2013, 34, 190–198. [Google Scholar] [CrossRef]
- Hu, D.G.; Mackenzie, P.I.; Lu, L.; Meech, R.; McKinnon, R.A. Induction of human UDP-Glucuronosyltransferase 2B7 gene expression by cytotoxic anticancer drugs in liver cancer HepG2 cells. Drug Metab. Dispos. 2015, 43, 660–668. [Google Scholar] [CrossRef]
- Hu, D.G.; Rogers, A.; Mackenzie, P.I. Epirubicin upregulates UDP glucuronosyltransferase 2B7 expression in liver cancer cells via the p53 pathway. Mol. Pharmacol. 2014, 85, 887–897. [Google Scholar] [CrossRef]
- Li, J.; Lou, H.; Yang, X.; Lu, D.; Li, S.; Jin, L.; Pan, X.; Yang, W.; Song, M.; Mamatyusupu, D.; et al. Genetic architectures of ADME genes in five Eurasian admixed populations and implications for drug safety and efficacy. J. Med. Genet. 2014, 51, 614–622. [Google Scholar] [CrossRef]
- Colaprico, A.; Silva, T.C.; Olsen, C.; Garofano, L.; Cava, C.; Garolini, D.; Sabedot, T.S.; Malta, T.M.; Pagnotta, S.M.; Castiglioni, I.; et al. TCGAbiolinks: An R/Bioconductor package for integrative analysis of TCGA data. Nucleic. Acids Res. 2016, 44, e71. [Google Scholar] [CrossRef]
- Mounir, M.; Lucchetta, M.; Silva, T.C.; Olsen, C.; Bontempi, G.; Chen, X.; Noushmehr, H.; Colaprico, A.; Papaleo, E. New functionalities in the TCGAbiolinks package for the study and integration of cancer data from GDC and GTEx. PLoS Comput. Biol. 2019, 15, e1006701. [Google Scholar] [CrossRef]
- Li, B.; Dewey, C.N. RSEM: Accurate transcript quantification from RNA-Seq data with or without a reference genome. BMC Bioinform. 2011, 12, 323. [Google Scholar] [CrossRef]
- Dinse, G.E.; Lagakos, S.W. Nonparametric estimation of lifetime and disease onset distributions from incomplete observations. Biometrics 1982, 38, 921–932. [Google Scholar] [CrossRef] [PubMed]
- Armstrong, R.A. When to use the Bonferroni correction. Ophthalmic. Physiol. Opt. 2014, 34, 502–508. [Google Scholar] [CrossRef] [PubMed]
- Gao, J.; Aksoy, B.A.; Dogrusoz, U.; Dresdner, G.; Gross, B.; Sumer, S.O.; Sun, Y.; Jacobsen, A.; Sinha, R.; Larsson, E.; et al. Integrative analysis of complex cancer genomics and clinical profiles using the cBioPortal. Sci. Signal 2013, 6, pl1. [Google Scholar] [CrossRef] [PubMed]





| Cancer Types | Description | No. of Patients | No. of ADME Genes | No. of Core ADME Genes |
|---|---|---|---|---|
| BLCA | Bladder Urothelial Carcinoma | 403 | 220 | 20 |
| BRCA | Breast Invasive Carcinoma | 1006 | 216 | 19 |
| CESC | Cervical Squamous Cell Carcinoma and Endocervical Adenocarcinoma | 264 | 214 | 17 |
| COAD | Colon Adenocarcinoma | 440 | 228 | 25 |
| ESCA | Esophageal Carcinoma | 144 | 218 | 21 |
| GBM | Glioblastoma Multiforme | 153 | 206 | 18 |
| HNSC | Head and Neck Squamous Cell Carcinoma | 497 | 215 | 18 |
| KIRC | Kidney Renal Clear Cell Carcinoma | 523 | 235 | 23 |
| KIRP | Kidney Renal Papillary Cell Carcinoma | 285 | 225 | 22 |
| LAML | Acute Myeloid Leukemia | 151 | 181 | 17 |
| LGG | Brain Lower Grade Glioma | 510 | 213 | 20 |
| LIHC | Liver Hepatocellular Carcinoma | 360 | 248 | 29 |
| LUAD | Lung Adenocarcinoma | 492 | 225 | 18 |
| LUSC | Lung Squamous Cell Carcinoma | 489 | 228 | 23 |
| OV | Ovary Serous Cystadenocarcinoma | 294 | 219 | 20 |
| PAAD | Pancreatic Adenocarcinoma | 175 | 243 | 26 |
| READ | Rectum Adenocarcinoma | 159 | 229 | 23 |
| SARC | Sarcoma | 259 | 200 | 18 |
| SKCM | Skin Cutaneous Melanoma | 459 | 196 | 17 |
| STAD | Stomach Adenocarcinoma | 379 | 229 | 24 |
| UCEC | Uterine Corpus Endometrial Carcinoma | 541 | 221 | 17 |
| Core ADME Genes | TCGA Cancers | Adjusted p-Value Bonferroni Correction | Prognostic Biomarker |
|---|---|---|---|
| ABCB1 | HNSC | 0.01788 | Favourable |
| ABCB1 | PAAD | 0.02392 | Favourable |
| ABCB1 | SARC | 0.02358 | Favourable |
| ABCB1 | SKCM | 7.26 × 10−05 | Favourable |
| ABCC2 | SKCM | 0.021470 | Unfavourable |
| ABCG2 | KIRC | 6.53 × 10−07 | Favourable |
| CYP2C19 | LIHC | 0.02230 | Favourable |
| CYP2C8 | LIHC | 0.02987 | Favourable |
| CYP2C9 | LIHC | 0.03712 | Favourable |
| CYP2D6 | BRCA | 0.0100 | Favourable |
| CYP2D6 | KIRC | 0.00738 | Unfavourable |
| CYP2E1 | KIRC | 0.03634 | Unfavourable |
| CYP3A4 | KIRC | 0.00042 | Favourable |
| CYP3A5 | LIHC | 0.02534 | Favourable |
| DPYD | SKCM | 5.34 × 10−06 | Favourable |
| GSTP1 | SKCM | 0.00186 | Unfavourable |
| NAT1 | COAD | 0.01382 | Favourable |
| SLC15A2 | LUAD | 0.04690 | Favourable |
| SLC22A1 | LIHC | 0.00214 | Favourable |
| SLC22A2 | KIRC | 8.35 × 10−06 | Favourable |
| SLC22A2 | KIRP | 0.01139 | Favourable |
| SLC22A6 | KIRC | 1.17 × 10−05 | Favourable |
| UGT1A1 | LUSC | 0.02438 | Favourable |
| UGT2B15 | BLCA | 0.02420 | Favourable |
| UGT2B7 | PAAD | 0.04654 | Unfavourable |
Publisher’s Note: MDPI stays neutral with regard to jurisdictional claims in published maps and institutional affiliations. |
© 2020 by the authors. Licensee MDPI, Basel, Switzerland. This article is an open access article distributed under the terms and conditions of the Creative Commons Attribution (CC BY) license (http://creativecommons.org/licenses/by/4.0/).
Share and Cite
Hu, D.G.; Mackenzie, P.I.; Nair, P.C.; McKinnon, R.A.; Meech, R. The Expression Profiles of ADME Genes in Human Cancers and Their Associations with Clinical Outcomes. Cancers 2020, 12, 3369. https://doi.org/10.3390/cancers12113369
Hu DG, Mackenzie PI, Nair PC, McKinnon RA, Meech R. The Expression Profiles of ADME Genes in Human Cancers and Their Associations with Clinical Outcomes. Cancers. 2020; 12(11):3369. https://doi.org/10.3390/cancers12113369
Chicago/Turabian StyleHu, Dong Gui, Peter I. Mackenzie, Pramod C. Nair, Ross A. McKinnon, and Robyn Meech. 2020. "The Expression Profiles of ADME Genes in Human Cancers and Their Associations with Clinical Outcomes" Cancers 12, no. 11: 3369. https://doi.org/10.3390/cancers12113369
APA StyleHu, D. G., Mackenzie, P. I., Nair, P. C., McKinnon, R. A., & Meech, R. (2020). The Expression Profiles of ADME Genes in Human Cancers and Their Associations with Clinical Outcomes. Cancers, 12(11), 3369. https://doi.org/10.3390/cancers12113369

