Systematic Review and Meta-Analysis of Vesical Imaging-Reporting and Data System (VI-RADS) Inter-Observer Reliability: An Added Value for Muscle Invasive Bladder Cancer Detection
Simple Summary
Abstract
1. Introduction
2. Materials and Methods
2.1. Evidence Acquisition
2.2. Selection of the Studies and Criteria of Inclusion
2.3. Assessment of Quality for the Included Studies and Statistical Analysis
3. Results
3.1. Search Results
3.2. Location, Design, and Characteristics of the Studies Population
3.3. Technical Imaging Modalities and Readers Characteristics
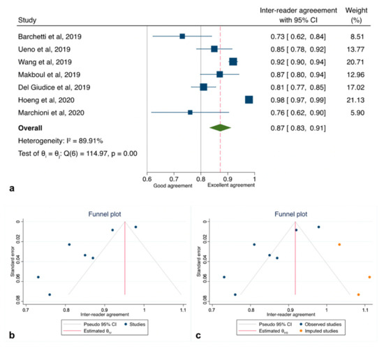
3.4. Interobserver Agreement Estimates Among GU Readers
4. Discussion
5. Conclusions
Supplementary Materials
Author Contributions
Funding
Conflicts of Interest
References
- Huang, L.; Kong, Q.; Liu, Z.; Wang, J.; Kang, Z.; Zhu, Y. The Diagnostic Value of MR Imaging in Differentiating T Staging of Bladder Cancer: A Meta-Analysis. Radiology 2018, 286, 502–511. [Google Scholar] [CrossRef] [PubMed]
- Giannarini, G.; Petralia, G.; Thoeny, H.C. Potential and limitations of diffusion-weighted magnetic resonance imaging in kidney, prostate, and bladder cancer including pelvic lymph node staging: A critical analysis of the literature. Eur. Urol. 2012, 61, 326–340. [Google Scholar] [CrossRef] [PubMed]
- Panebianco, V.; De Berardinis, E.; Barchetti, G.; Simone, G.; Leonardo, C.; Grompone, M.D.; Del Monte, M.; Carano, D.; Gallucci, M.; Catto, J.; et al. An evaluation of morphological and functional multi-parametric MRI sequences in classifying non-muscle and muscle invasive bladder cancer. Eur. Radiol. 2017, 27, 3759–3766. [Google Scholar] [CrossRef] [PubMed]
- Caglic, I.; Panebianco, V.; Vargas, H.A.; Bura, V.; Woo, S.; Pecoraro, M.; Cipollari, S.; Sala, E.; Barrett, T. MRI of Bladder Cancer: Local and Nodal Staging. J. Magn. Reson. Imaging 2020, 27090. [Google Scholar] [CrossRef] [PubMed]
- Panebianco, V.; Del Giudice, F.; Leonardo, C.; Sciarra, A.; Catalano, C.; Catto, J.W. VI-RADS Scoring Criteria for Alternative Risk-adapted Strategies in the Management of Bladder Cancer During the COVID-19 Pandemic. Eur. Urol. 2020, 78, e18–e20. [Google Scholar] [CrossRef]
- Pecoraro, M.; Takeuchi, M.; Vargas, H.A.; Muglia, V.F.; Cipollari, S.; Catalano, C.; Panebianco, V. Overview of VI-RADS in Bladder Cancer. Am. J. Roentgenol. 2020, 214, 1259–1268. [Google Scholar] [CrossRef] [PubMed]
- Panebianco, V.; Narumi, Y.; Altun, E.; Bochner, B.H.; Efstathiou, J.A.; Hafeez, S.; Huddart, R.; Kennish, S.; Lerner, S.; Montironi, R.; et al. Multiparametric magnetic resonance imaging for bladder cancer: Development of VI-RADS (Vesical Imaging-Reporting and Data System). Eur. Urol. 2018, 74, 294–306. [Google Scholar] [CrossRef]
- Del Giudice, F.; Barchetti, G.; De Berardinis, E.; Pecoraro, M.; Salvo, V.; Simone, G.; Sciarra, A.; Leonardo, C.; Gallucci, M.; Catalano, C.; et al. Prospective assessment of Vesical Imaging Reporting and Data System (VI-RADS) and its clinical impact on the management of high-risk non-muscle-invasive bladder cancer patients candidate for repeated transurethral resection. Eur. Urol. 2019, 77, 101–109. [Google Scholar] [CrossRef]
- Woo, S.; Panebianco, V.; Narumi, Y.; Del Giudice, F.; Muglia, V.F.; Takeuchi, M.; Ghafoor, S.; Bochner, B.H.; Goh, A.C.; Hricak, H.; et al. Diagnostic performance of vesical imaging reporting and data system for the prediction of muscle-invasive bladder cancer: A systematic review and meta-analysis. Eur. Urol. Oncol. 2020, 3, 306–315. [Google Scholar] [CrossRef]
- Luo, C.; Huang, B.; Wu, Y.; Chen, J.; Chen, L. Use of Vesical Imaging-Reporting and Data System (VI-RADS) for detecting the muscle invasion of bladder cancer: A diagnostic meta-analysis. Eur. Radiol. 2020, 1–9. [Google Scholar] [CrossRef]
- Pecoraro, M. Multiparametric Magnetic Resonance as an accessible tool to evaluate response to neoadjuvant chemotherapy in non-metastatic muscle invasive bladder cancer (MIBC). Eur. Congr. Radiol. 2020. [Google Scholar] [CrossRef]
- Necchi, A.; Bandini, M.; Calareso, G.; Raggi, D.; Pederzoli, F.; Farè, E.; Colecchia, M.; Marandino, L.; Bianchi, M.; Gallina, A.; et al. Multiparametric magnetic resonance imaging as a noninvasive assessment of tumor response to neoadjuvant pembrolizumab in muscle-invasive bladder cancer: Preliminary findings from the PURE-01 study. Eur. Urol. 2020, 77, 636–643. [Google Scholar] [CrossRef] [PubMed]
- Liberati, A.; Altman, D.G.; Tetzlaff, J.; Mulrow, C.; Gøtzsche, P.C.; Ioannidis, J.P.; Clarke, M.; Devereaux, P.; Kleijnen, J.; Moher, D. The PRISMA statement for reporting systematic reviews and meta-analyses of studies that evaluate health care interventions: Explanation and elaboration. J. Clin. Epidemiol. 2009, 62, e1–e34. [Google Scholar] [CrossRef] [PubMed]
- DerSimonian, R.; Laird, N. Meta-analysis in clinical trials. Control. Clin. Trials 1986, 7, 177–188. [Google Scholar] [CrossRef]
- Duval, S.; Tweedie, R. Trim and Fill: A simple funnel-plot-based method of testing and adjusting for publication bias in meta-analysis. Biometrics 2000, 56, 455–463. [Google Scholar] [CrossRef] [PubMed]
- Sun, S. Meta-analysis of Cohen’s kappa. Heal. Serv. Outcomes Res. Methodol. 2011, 11, 145–163. [Google Scholar] [CrossRef]
- Higgins, J.P.; Thompson, S.G.; Deeks, J.J.; Altman, D.G. Measuring inconsistency in meta-analyses. BMJ 2003, 327, 557–560. [Google Scholar] [CrossRef]
- Van Houwelingen, H.C.; Arends, L.R.; Stijnen, T. Advanced methods in meta-analysis: Multivariate approach and meta-regression. Stat. Med. 2002, 21, 589–624. [Google Scholar] [CrossRef]
- Barchetti, G.; Simone, G.; Ceravolo, I.; Salvo, V.; Campa, R.; Del Giudice, F.; De Berardinis, E.; Buccilli, D.; Catalano, C.; Gallucci, M.; et al. Multiparametric MRI of the bladder: Inter-observer agreement and accuracy with the Vesical Imaging-Reporting and Data System (VI-RADS) at a single reference center. Eur. Radiol. 2019, 29, 5498–5506. [Google Scholar] [CrossRef] [PubMed]
- Ueno, Y.; Takeuchi, M.; Tamada, T.; Sofue, K.; Takahashi, S.; Kamishima, Y.; Hinata, N.; Harada, K.; Fujisawa, M.; Murakami, T. Diagnostic accuracy and interobserver agreement for the vesical imaging-reporting and data system for muscle-invasive bladder cancer: A multireader validation study. Eur. Urol. 2019, 76, 54–56. [Google Scholar] [CrossRef] [PubMed]
- Wang, H.; Luo, C.; Zhang, F.; Guan, J.; Li, S.; Yao, H.; Chen, J.; Luo, J.; Chen, L.; Guo, Y. Multiparametric MRI for Bladder Cancer: Validation of VI-RADS for the Detection of Detrusor Muscle Invasion. Radiology 2019, 291, 668–674. [Google Scholar] [CrossRef] [PubMed]
- Makboul, M.; Farghaly, S.; Abdelkawi, I.F. Multiparametric MRI in differentiation between muscle invasive and non-muscle invasive urinary bladder cancer with vesical imaging reporting and data system (VI-RADS) application. Br. J. Radiol. 2019, 92, 20190401. [Google Scholar] [CrossRef] [PubMed]
- Hong, S.B.; Lee, N.K.; Kim, S.; Son, I.W.; Ha, H.K.; Ku, J.Y.; Kim, K.H.; Park, W.Y. Vesical Imaging-Reporting and Data System for Multiparametric MRI to Predict the Presence of Muscle Invasion for Bladder Cancer. J. Magn. Reson. Imaging 2020. [Google Scholar] [CrossRef] [PubMed]
- Marchioni, M.; Primiceri, G.; Pizzi, A.D.; Basilico, R.; Berardinelli, F.; Mincuzzi, E.; Castellucci, R.; Sessa, B.; Di Nicola, M.; Schips, L. Could Bladder Multiparametric MRI Be Introduced in Routine Clinical Practice? Role of the New VI-RADS Score: Results from a Prospective Study. Clin. Genitourin. Cancer 2020. [Google Scholar] [CrossRef]
- Sakamoto, K.; Ito, M.; Ikuta, S.; Nakanishi, Y.; Kataoka, M.; Takemura, K.; Suzuki, H.; Tobisu, K.-I.; Kamai, T.; Koga, F. Detection of Muscle-Invasive Bladder Cancer on Biparametric MRI Using Vesical Imaging-Reporting and Data System and Apparent Diffusion Coefficient Values (VI-RADS/ADC). Bladder Cancer 2020, 6, 161–169. [Google Scholar] [CrossRef]
- Barrett, T.; Turkbey, B.; Choyke, P. PI-RADS version 2: What you need to know. Clin. Radiol. 2015, 70, 1165–1176. [Google Scholar] [CrossRef]
- Weinreb, J.C.; Barentsz, J.O.; Choyke, P.L.; Cornud, F.; Haider, M.A.; Macura, K.J.; Margolis, D.; Schnall, M.D.; Shtern, F.; Tempany, C.M.; et al. PI-RADS Prostate Imaging—Reporting and Data System: 2015, Version 2. Eur. Urol. 2016, 69, 16–40. [Google Scholar] [CrossRef]
- Barentsz, J.O.; Richenberg, J.; Clements, R.; Choyke, P.; Verma, S.; Villeirs, G.; Rouviere, O.; Logager, V.; Fütterer, J.J. ESUR prostate MR guidelines 2012. Eur. Radiol. 2012, 22, 746–757. [Google Scholar] [CrossRef]
- Turkbey, B.; Rosenkrantz, A.B.; Haider, M.A.; Padhani, A.R.; Villeirs, G.; Macura, K.J.; Tempany, C.M.; Choyke, P.L.; Cornud, F.; Margolis, D.J.; et al. Prostate imaging reporting and data system version 2.1: 2019 update of prostate imaging reporting and data system Version 2. Eur. Urol. 2019, 76, 340–351. [Google Scholar] [CrossRef]
- Mottet, R.C.N.; van den Bergh, N.; Brier, E. EAU Guidelines: Prostate Cancer; EAU Guidelines 2020. Available online: https://uroweb.org/guideline/prostate-cancer/ (accessed on 25 March 2020).
- Barentsz, J.O.; Jager, G.J.; Witjes, J.A.; Ruijs, J.H.J. Primary staging of urinary bladder carcinoma: The role of MRI and a comparison with CT. Eur. Radiol. 1996, 6, 129–133. [Google Scholar] [CrossRef] [PubMed]
- Divrik, R.T.; Şahin, A.F.; Yildirim, Ü.; Altok, M.; Zorlu, F. Impact of routine second transurethral resection on the long-term outcome of patients with newly diagnosed pT1 urothelial carcinoma with respect to recurrence, progression rate, and disease-specific survival: A prospective randomised clinical trial. Eur. Urol. 2010, 58, 185–190. [Google Scholar] [CrossRef] [PubMed]
- Shindo, T.; Masumori, N.; Kitamura, H.; Tanaka, T.; Fukuta, F.; Hasegawa, T.; Yanase, M.; Miyake, M.; Miyao, N.; Takahashi, A.; et al. Clinical significance of definite muscle layer in TUR specimen for evaluating progression rate in T1G3 bladder cancer: Multicenter retrospective study by the Sapporo Medical University Urologic Oncology Consortium (SUOC). World J. Urol. 2013, 32, 1281–1285. [Google Scholar] [CrossRef] [PubMed]
- Del Giudice, F.; Leonardo, C.; Simone, G.; Pecoraro, M.; De Berardinis, E.; Cipollari, S.; Flammia, S.; Bicchetti, M.; Busetto, G.M.; Chung, B.I.; et al. Preoperative detection of VI-RADS (Vesical Imaging-Reporting and Data System) score 5 reliably identifies extravesical extension of urothelial carcinoma of the urinary bladder and predicts significant delayed time-to-cystectomy: Time to reconsider the nee. BJU Int. 2020. [Google Scholar] [CrossRef] [PubMed]
- Van Der Heijden, A.G.; Witjes, J.A. Vesical Imaging-Reporting and Data System (VI-RADS) for bladder cancer diagnostics: The replacement for surgery? Eur. Urol. Oncol. 2020, 3, 316–317. [Google Scholar] [CrossRef] [PubMed]




| Author, Year, Location | Period (Range of Time) | Study Design | Sample Size | N. of Lesions Assessed | Age (Year) Mean (SD)/Range (IQR/Range) | T-Stage Assessed Range | MIBC n, % ≥T2 | Tumor Histology % Urothelial | Reference Standard | MRI Interval | Level of Evidence |
|---|---|---|---|---|---|---|---|---|---|---|---|
| Barchetti et al. [19], 2019, Italy | September 2017–July 2018 | Retrospective | 75 | 75 | 69 (62–78) | Tis–T3a | 22, 29.3% | 100 | TUR | <6 wk | III-a |
| Ueno et al. [20], 2019, Japan | January 2010–August 2018 | Retrospective | 74 | 74 | NA | Tis–≥T2 | 37, 50% | 95.9 | TUR | NA | III-a |
| Wang et al. [21], 2019, China | November 2011–August 2018 | Retrospective | 340 | 340 | 64 (27–87) | Ta–T4 | 85, 25% | 100 | TUR, PC, RC | <2 wk | III-a |
| Makboul et al. [22], 2019, Egypt | NA | Prospective | 50 | 50 | 57.2 | T1–T4 | 18, 36% | NA | TUR | NA | II |
| Del Giudice et al. [8], 2019, Italy | September 2017–May 2019 | Prospective | 231 | 231 | 65.5 (47–79) | Ta–T4 | 62, 27% | 100 | TUR, RC | <6 wk | II |
| Hong et al. [23], 2020, Korea | July 2018–January 2019 | Retrospective | 32 | 66 | 73 (50–90) | NA | 10, 15.2% | NA | TUR, RC | <2 wk | III-a |
| Marchioni et al. [24], 2020, Italy | NA | Prospective | 38 | 68 | 72.5 (66.5–81.0) | Ta–T3 | 7, 10.3% | NA | TUR | NA | II |
| Sakamoto et al. [25], 2020, Japan | January 2013–September 2018 | Retrospective | 176 | 176 | 73 (30–95) | Ta–≥T2 | 46, 26% | 100 | TUR | NA | III-a |
| Author, Year, Location | Readers No. | Measure of Inter-Agreement | Radiology Institution | Consensus | Cumulative Experience Years | Blinding to Clinical History | Magnet Strength Tesla | T2WI Slice Thickness mm | DWI b Values s/mm2 | DCE MRI Temporal Resolution |
|---|---|---|---|---|---|---|---|---|---|---|
| Barchetti et al. [19], 2019, Italy | 2 | Cohen’s Kappa | same | Consensus | 31 | Yes | 3 | 3–4 | 0–800–1000–2000 | Every 5 s |
| Ueno et al. [20], 2019, Japan | 5 | ICC | same | Independent | NA | Yes | 1.5; 3 | 4 | 0–1000 | At 40, 80, 120, 160, 200 s |
| Wang et al. [21], 2019, China | 2 | Cohen’s Kappa | same | Consensus | 40 | Yes | 3 | 4 | 0–1000 | 5 acquisitions between 20 and 131 s |
| Makboul et al. [22], 2019, Egypt | 2 | Cohen’s Kappa | same | Consensus | NA | Yes | 1.5 | 3 | 0, 400, 800, 1000 | At 20, 70, 180 s |
| Del Giudice et al. [8], 2019, Italy | 2 | Cohen’s Kappa | same | Consensus | 37 | Yes | 3 | 3–4 | 0, 800, 1000, 2000 | Every 5 s |
| Hong et al. [23], 2020, Korea | 3 | ICC | same | Consensus | 47 | Yes | 3 | 4 | 0–50–800–1000 | 6 acquisition every 30 s |
| Marchioni et al. [24], 2020, Italy | 3 | Cohen’s Kappa | same | Independent | NA | Yes | 3 | 3–4 | 0–600–1000–1500–2000 | every 31.2 s for 3.2 min |
| Sakamoto et al. [25], 2020, Japan | 2 | Cohen’s Kappa | primary and affiliated | Consensus | 24 | Yes | 3 | 4–5; 3.5 | 0–1000; 0–2000 | NA |
| Subgroup | Covariate | N. of Studies | Meta Regression (Pooled Agreement) | |||
|---|---|---|---|---|---|---|
| Inter-Reader | 95% CI | p Value | ||||
| Sample size | ≤100 | 5 | 0.89 | 0.84 | 0.93 | 0.74 |
| >100 | 2 | 0.87 | 0.82 | 0.93 | ||
| MIBC proportion | ≤30 | 5 | 0.88 | 0.83 | 0.93 | 0.57 |
| >30 | 2 | 0.86 | 0.81 | 0.91 | ||
| Study design | Retrospective | 4 | 0.91 | 0.87 | 0.95 | <0.001 |
| Prospective | 3 | 082 | 0.79 | 0.86 | ||
| Number of readers | 2 | 4 | 0.85 | 0.81 | 0.90 | 0.01 |
| >2 | 3 | 0.93 | 0.89 | 0.97 | ||
| Magnetic strength | 1.5 T used | 2 | 0.86 | 0.81 | 0.91 | 0.57 |
| 3.0 T only | 5 | 0.88 | 0.83 | 0.93 | ||
| VI-RADS cutoff score | ≥3 | 6 | 0.88 | 0.84 | 0.92 | 0.12 |
| ≥4 | 1 | 0.76 | 0.62 | 0.90 | ||
| Quantitative Covariates | Simple Meta-Regression | Multivariable Meta-Regression | ||||||||
|---|---|---|---|---|---|---|---|---|---|---|
| Coef. | SE | p Value | 95% CI | Coef. | SE | p Value | 95% CI | |||
| Sample Size. n | 0.00004 | 0.00016 | 0.801 | −0.00026 | 0.00034 | - | - | - | - | - |
| Mean age (years) | 0.004846 | 0.00306 | 0.113 | −0.00115 | 0.01084 | - | - | - | - | - |
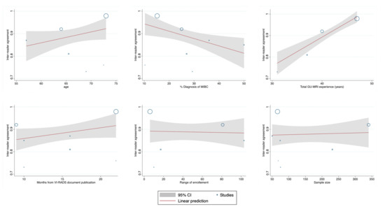
| % ≥T2 | −0.00327 | 0.00132 | 0.013 | −0.00585 | −0.00069 | −0.019 | 0.007 | 0.003 | 0.007 | 0.032 |
| Mo. from VI-RADS publication | 0.00480 | 0.00312 | 0.124 | −0.00131 | 0.01090 | - | - | - | - | - |
| Range of enrollment | −0.00009 | 0.00047 | 0.854 | −0.00102 | 0.00084 | - | - | - | - | - |
| Total GU-MRI experience | 0.01351 | 0.00216 | 0.025 | 0.00419 | 0.02282 | 0.036 | 0.009 | 0.001 | 0.019 | 0.053 |
Publisher’s Note: MDPI stays neutral with regard to jurisdictional claims in published maps and institutional affiliations. |
© 2020 by the authors. Licensee MDPI, Basel, Switzerland. This article is an open access article distributed under the terms and conditions of the Creative Commons Attribution (CC BY) license (http://creativecommons.org/licenses/by/4.0/).
Share and Cite
Del Giudice, F.; Pecoraro, M.; Vargas, H.A.; Cipollari, S.; De Berardinis, E.; Bicchetti, M.; Chung, B.I.; Catalano, C.; Narumi, Y.; Catto, J.W.F.; et al. Systematic Review and Meta-Analysis of Vesical Imaging-Reporting and Data System (VI-RADS) Inter-Observer Reliability: An Added Value for Muscle Invasive Bladder Cancer Detection. Cancers 2020, 12, 2994. https://doi.org/10.3390/cancers12102994
Del Giudice F, Pecoraro M, Vargas HA, Cipollari S, De Berardinis E, Bicchetti M, Chung BI, Catalano C, Narumi Y, Catto JWF, et al. Systematic Review and Meta-Analysis of Vesical Imaging-Reporting and Data System (VI-RADS) Inter-Observer Reliability: An Added Value for Muscle Invasive Bladder Cancer Detection. Cancers. 2020; 12(10):2994. https://doi.org/10.3390/cancers12102994
Chicago/Turabian StyleDel Giudice, Francesco, Martina Pecoraro, Hebert Alberto Vargas, Stefano Cipollari, Ettore De Berardinis, Marco Bicchetti, Benjamin I. Chung, Carlo Catalano, Yoshifumi Narumi, James W. F. Catto, and et al. 2020. "Systematic Review and Meta-Analysis of Vesical Imaging-Reporting and Data System (VI-RADS) Inter-Observer Reliability: An Added Value for Muscle Invasive Bladder Cancer Detection" Cancers 12, no. 10: 2994. https://doi.org/10.3390/cancers12102994
APA StyleDel Giudice, F., Pecoraro, M., Vargas, H. A., Cipollari, S., De Berardinis, E., Bicchetti, M., Chung, B. I., Catalano, C., Narumi, Y., Catto, J. W. F., & Panebianco, V. (2020). Systematic Review and Meta-Analysis of Vesical Imaging-Reporting and Data System (VI-RADS) Inter-Observer Reliability: An Added Value for Muscle Invasive Bladder Cancer Detection. Cancers, 12(10), 2994. https://doi.org/10.3390/cancers12102994

