A Case-Control Analysis of the Impact of Venous Thromboembolic Disease on Quality of Life of Patients with Cancer: Quality of Life in Cancer (Qca) Study
Abstract
1. Introduction
2. Methods
2.1. Study Design
2.2. Sample Size Calculation
2.3. Statistical Analysis
2.4. Data Sharing Statement
3. Results
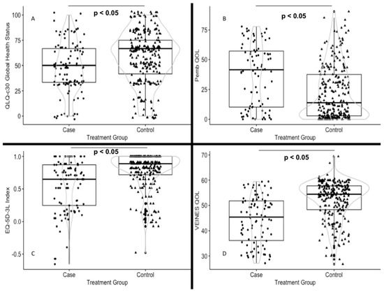
3.1. Impact of Venous Thromboembolism on Quality of Life of Patients with Malignancies
3.2. Subgroup Analysis
4. Discussion
5. Conclusions
Supplementary Materials
Author Contributions
Funding
Acknowledgments
Conflicts of Interest
References
- Heit, J.A.; Silverstein, M.D.; Mohr, D.N.; Petterson, T.M.; Lohse, C.M.; O’Fallon, W.M.; Melton, L.J., III. The epidemiology of venous thromboembolism in the community. Thromb. Haemost. 2001, 86, 452–463. [Google Scholar] [CrossRef] [PubMed]
- Noble, S.; Pasi, J. Epidemiology and pathophysiology of cancer-associated thrombosis. Br. J. Cancer 2010, 102, S2–S9. [Google Scholar] [CrossRef] [PubMed]
- Connolly, G.C.; Francis, C.W. Cancer-associated thrombosis. Hematol. Am. Soc. Hematol. Educ. Program 2013, 2013, 684–691. [Google Scholar] [CrossRef] [PubMed]
- Lee, A.Y.; Levine, M.N. Venous thromboembolism and cancer: Risks and outcomes. Circulation 2003, 107, 17–21. [Google Scholar] [CrossRef]
- Palareti, G.; Legnani, C.; Lee, A.; Manotti, C.; Hirsh, J.; D’Angelo, A.; Coccheri, S. A comparison of the safety and efficacy of oral anticoagulation for the treatment of venous thromboembolic disease in patients with or without malignancy. Thromb. Haemost. 2000, 84, 805–810. [Google Scholar]
- Blanch, M.A.; Calvo, M.C.; Romera, A.V.; Pérez-Piqueras, A.G.; Riera, S.B.; Cairols, M.C. Deep venous thrombosis as a marker of tumor recurrence. Med. Clin. 2009, 133, 529–532. [Google Scholar]
- Prandoni, P.; Lensing, A.W.; Bernardi, E.; Simioni, P.; Girolami, B. A Recurrent venous thromboembolism and bleeding complications during anticoagulant treatment in patients with cancer and venous thrombosis. Blood 2002, 100, 3484–3488. [Google Scholar] [CrossRef]
- Sánchez, F.S.L.; Bolumburu, A.A.A. Calidad de vida y enfermedad tromboembólica venosa. Med. Clin. 2008, 131, 37–41. [Google Scholar] [CrossRef]
- Lamping, D.L.; Schroter, S.; Kurz, X.; Kahn, S.R.; Abenhaim, L. Evaluation of outcomes in chronic venous disorders of the leg: Development of a scientifically rigorous, patient-reported measure of symptoms and quality of life. J. Vasc. Surg. 2003, 37, 410–419. [Google Scholar] [CrossRef]
- Kahn, S.R.; Lamping, D.L.; Ducruet, T.; Arsenault, L.; Miron, M.J.; Roussin, A.; Desjardins, L. VEINES-QOL/Sym questionnaire was a reliable and valid disease-specific quality of life measure for deep venous thrombosis. J. Clin. Epidemiol. 2006, 59, 1049–1056. [Google Scholar] [CrossRef]
- Cohn, D.M.; Nelis, E.A.; Busweiler, L.A.; Kaptein, A.A.; Middeldorp, S. Quality of life after pulmonary embolism: The development of the PEmb-QoL questionnaire. J. Thromb. Haemost. 2009, 7, 1044–1046. [Google Scholar] [CrossRef] [PubMed]
- Klok, F.A.; Cohn, D.M.; Middeldorp, S.; Scharloo, M.; Büller, H.R.; van Kralingen, K.W.; Huisman, M.V. Quality of life after pulmonary embolism: Validation of the PEmb-QoL Questionnaire. J. Thromb. Haemost. 2010, 8, 523–532. [Google Scholar] [CrossRef] [PubMed]
- Kahn, S.R.; Ducruet, T.; Lamping, D.L.; Arsenault, L.; Miron, M.J.; Roussin, A.; Desjardins, L. Prospective evaluation of health-related quality of life in patients with deep venous thrombosis. Arch. Int. Med. 2005, 165, 1173–1178. [Google Scholar] [CrossRef] [PubMed]
- Tavoly, M.; Utne, K.K.; Jelsness-Jørgensen, L.P.; Wik, H.S.; Klok, F.A.; Sandset, P.M.; Ghanima, W. Health-related quality of life after pulmonary embolism: A cross-sectional study. BMJ Open 2016, 6, e013086. [Google Scholar] [CrossRef] [PubMed]
- Van Korlaar, I.; Vossen, C.; Rosendaal, F.; Cameron, L.; Bovill, E.; Kaptein, A. Quality of life in venous disease. Thromb. Haemost. 2003, 90, 27–35. [Google Scholar]
- Marin-Barrera, L.; Muñoz-Martin, A.J.; Rios-Herranz, E. Health-related quality of life in oncological patients with acute symptomatic venous thromboembolic disease. QCa study protocol. Cases and controls study. Rev. Esp. Patol. Torac. 2019, 31, 249–258. [Google Scholar]
- Aaronson, N.K.; Ahmedzai, S.; Bergman, B.; Bullinger, M.; Cull, A.; Duez, N.J.; Kaasa, S. The European Organisation for Research and Treatment of Cancer QLQ-C30: A quality-of-life instrument for use in international clinical trials in oncology. J. Natl. Cancer Inst. 1993, 85, 365–376. [Google Scholar] [CrossRef]
- The EuroQol Group. EuroQol-a new facility for the measurement of health-related quality of life. Health Policy 1990, 16, 199–208. [Google Scholar] [CrossRef]
- Pickard, A.S.; Neary, M.P.; Cella, D. Estimation of minimally important differences in EQ-5D utility and VAS scores in cancer. Health Qual. Life Outcomes 2007, 5, 70. [Google Scholar] [CrossRef]
- Fayers, P.; Bottomley, A. EORTC Quality of Life Group, Quality of Life Unit. Quality of life research within the EORTC—The EORTC QLQC30. European Organisation for Research and Treatment of Cancer. Eur. J. Cancer 2002, 38, S125–S133. [Google Scholar] [CrossRef]
- Bjordal, K.; De Graeff, A.; Fayers, P.M.; Hammerlid, E.; van Pottelsberghe, C.; Curran, D.; Söderholm, A.L. A 12 country field study of the EORTC QLQ-C30 (version 3.0) and the head and neck cancer specific module (EORTC QLQ-H & N35) in head and neck patients. Eur. J. Cancer. 2000, 36, 1796–1807. [Google Scholar] [PubMed]
- Bottomley, A.; Aaronson, N.K. European Organisation for Research and Treatment of Cancer. International perspective on health related quality-of-life research in cancer clinical trials: The European Organisation for Research and Treatment of Cancer experience. J. Clin. Oncol. 2007, 25, 5082–5086. [Google Scholar] [CrossRef] [PubMed]
- Osoba, D.; Rodrigues, G.; Myles, J.; Zee, B.; Pater, J. Interpreting the significance of changes in health-related quality-of-life scores. J. Clin. Oncol. 1998, 16, 139–144. [Google Scholar] [CrossRef] [PubMed]
- Jayadevappa, R.; Malkowicz, S.B.; Wittink, M.; Wein, A.J.; Chhatre, S. Comparison of distribution- and anchor-based approaches to infer changes in health-related quality of life of prostate cancer survivors. Health Serv. Res. 2012, 47, 1902–1925. [Google Scholar] [CrossRef] [PubMed]
- Maringwa, J.T.; Quinten, C.; King, M.; Ringash, J.; Osoba, D.; Coens, C.; Gotay, C. Minimal important differences for interpreting health related quality of life scores from the EORTC QLQ-C30 in lung cancer patients participating in randomized controlled trials. Support. Care Cancer 2011, 19, 1753–1760. [Google Scholar] [CrossRef]
- Akaberi, A.; Klok, F.A.; Cohn, D.M.; Hirsch, A.; Granton, J.; Kahn, S.R. Determining the minimal clinically important difference for the PEmbQoL questionnaire, a measure of pulmonary embolism-specific quality of life. J. Thromb. Haemost. 2018, 16, 2454–2461. [Google Scholar] [CrossRef]
- Fayers, P.; Machin, D. Quality of Life: The Assessment, Analysis and Interpretation of Patient-Reported Outcomes, 2nd ed.; John Wiley & Sons Ltd.: Chichester, UK, 2007. [Google Scholar]
- Ruiz, M.; Pardo, A. Health-related quality of life: Definition and use in medical practice. Pharmacoecon. Span. Res. Artic. 2005, 2, 31–43. [Google Scholar] [CrossRef]
- Fitzpatrick, A.L.; Kuller, L.H. Quantity versus quality of life: How do we decide? J. Am. Geriatr. Soc. 2004, 52, 314–315. [Google Scholar] [CrossRef]
- Chuang, L.H.; Gumbs, P.; van Hout, B.; Agnelli, G.; Kroep, S.; Monreal, M.; Cohen, A. Health-related quality of life and mortality in patients with pulmonary embolism: A prospective cohort study in seven European countries. Qual. Life Res. 2019, 28, 2111–2124. [Google Scholar] [CrossRef]
- Farge, D.; Cajfinger, F.; Falvo, N.; Berremili, T.; Couturaud, F.; Bensaoula, O.; Coudurier, M. Quality of life in cancer patients undergoing anticoagulant treatment with LMWH for venous thromboembolism: The QUAVITEC study on behalf of the Groupe Francophone Thrombose et Cancer (GFTC). Oncotarget 2018, 9, 26990–26999. [Google Scholar] [CrossRef]
- Lloyd, A.J.; Dewilde, S.; Noble, S.; Reimer, E.; Lee, A.Y.Y. What Impact Does Venous Thromboembolism and Bleeding Have on Cancer Patients’ Quality of Life? Value Health 2018, 21, 449–455. [Google Scholar] [CrossRef] [PubMed]
- Noble, S.; Prout, H.; Nelson, A. Patients’ Experiences of LIving with CANcer-associated thrombosis: The PELICAN study. Patient Prefer. Adherence 2015, 9, 337–345. [Google Scholar] [CrossRef] [PubMed]

| Variable | Cases (Cancer with VTE) | Controls (Cancer without VTE) | Entire Cohort |
|---|---|---|---|
| Male sex, n (%) | 65 (50.8%) | 180 (60.8%) | 245 (57.8%) |
| Age, years (n = 425); mean ± SD | 63 (11.4) | 59.1 (20.6) | 60.2 (18.4) |
| Body mass index, kg/m2 (n = 321), mean ± SD | 27.2 (5.7) | 26.1 (4.9) | 26.4 (5.2) |
| Arterial hypertension (n = 392), n (%) | 55 (44.0%) | 88 (33.0%) | 143 (36.5%) |
| Dyslipidemia (n = 391), n (%) | 33 (26.6%) | 58 (21.7%) | 91 (23.3%) |
| Diabetes mellitus (n = 392), n (%) | 18 (14.4%) | 43 (16.1%) | 61 (15.6%) |
| Asthma (n = 392), n (%) | 3 (2.4%) | 4 (1.5%) | 7 (1.8%) |
| Acute coronary syndrome (n = 392), n (%) | 3 (2.4%) | 6 (2.2%) | 9 (2.3%) |
| Stroke (n = 392), n (%) | 6 (4.8%) | 7 (2.6%) | 13 (3.3%) |
| Smoking (n = 392), n (%) | 30 (24.0%) | 61 (22.8%) | 91 (23.2%) |
| Non-steroidal anti-inflammatory drugs (n = 392), n (%) | 12 (9.6%) | 20 (7.5%) | 32 (8.2%) |
| Statins (n = 392), n (%) | 22 (17.6%) | 32 (12.0%) | 54 (13.8%) |
| Active anticancer treatment, n (%) | 95 (75.4%) | 203 (77.5%) | 298 (76.8%) |
| Central venous catheter, n (%) | 7 (5.6%) | 70 (26.7%) | 77 (19.8%) |
| ECOG performance status (n = 364) | |||
| 0, n (%) | 30 (25.4%) | 105 (42.7%) | 135 (37.1%) |
| 1, n (%) | 65 (55.1%) | 125 (50.8%) | 190 (52.2%) |
| 2, n (%) | 17 (14.4%) | 13 (5.3%) | 30 (8.2%) |
| 3, n (%) | 5 (4.2%) | 3 (1.2%) | 8 (2.2%) |
| 4, n (%) | 1 (0.8%) | 0 (0.0%) | 1 (0.3%) |
| Metastasis (n = 341), n (%) | 80 (64.5%) | 173 (69.8%) | 253 (68%) |
| Tumor site (n = 425) | |||
| Gynecologic, n (%) | 24 (18.8%) | 19 (6.4%) | 43 (10.1%) |
| Lung, n (%) | 37 (28.9%) | 47 (15.8%) | 84 (19.8%) |
| Digestive, n (%) | 18 (14.1%) | 82 (27.6%) | 100 (23.5%) |
| Genitourinary, n (%) | 11 (8.6%) | 17 (5.7%) | 28 (6.6%) |
| Lymphoma, n (%) | 9 (7%) | 49 (16.5%) | 58 (13.6%) |
| Other sites, n (%) | 29 (22.7%) | 83 (27.9%) | 112 (26.4%) |
| Pemb-QOL 1 | Cases (Cancer with VTE) | Controls (Cancer without VTE) | Mean Difference | Effect Size (95% CI) | Relative Efficiency (95% CI) |
| Quality of life | 44.4 | 23.0 | +21.4 ** | 0.99 (0.6; 1.5) | 0.93 (0.6; 1.2) |
| Frequency of complaints | 33.6 | 21.0 | +12.6 ** | 0.86 (0.6; 1.4) | 0.51 (0.2; 0.8) |
| Activities daily living limitations | 52.1 | 29.3 | +22.8 ** | 1.06 (0.7; 1.7) | 0.79 (0.4; 1.1) |
| Work-related problems | 72.9 | 39.5 | +33.4 ** | 0.84 (0.5; 1.3) | 0.74 (0.4; 1.0) |
| Social limitations | 37.2 | 15.5 | +21.7 ** | 1.47 (0.9; 2.3) | 0.78 (0.4; 1.1) |
| Intensity of complaints | 33.9 | 15.5 | +18.4 ** | 1.32 (0.9; 2.1) | 0.86 (0.5; 1.1) |
| Emotional complaints | 36.4 | 17.0 | +19.4 ** | 1.33 (0.9; 2.1) | 0.89 (0.6; 1.2) |
| EORTC QLQ-C30 Functional Scale 2 | Cases (Cancer with VTE) | Controls (Cancer without VTE) | Mean Difference | Effect Size (95% CI) | Relative Efficiency (95% CI) |
| Global health status | 47.7 | 58.4 | −10.3 ** | 0.95 (0.7; 1.3) | −0.42 (−0.6; −0.2) |
| Physical functioning | 64.4 | 80.6 | −16.2 ** | 1.29(0.9; 1.8) | −0.70 (−0.9; −0.4) |
| Role functioning | 53.9 | 74.7 | −20.8 ** | 1.25 (0.9; 1.7) | −0.65 (−0.9; −0.4) |
| Emotional functioning | 67.2 | 72.3 | −5.1 | 0.94 (0.7; 1.3) | −0.2 (−0.04; 0.1) |
| Cognitive functioning | 81.7 | 84.4 | −2.7 | 1.37 * (1.0; 1.9) | −0.11 (−0.3; 0.1) |
| Social functioning | 62.2 | 74.1 | −11.9 ** | 1.35 (0.9; 1.8) | −0.39 (−0.6; −0.1) |
| EORTC QLQ-C30 symptoms scale 3 | Cases (Cancer with VTE) | Controls (Cancer without VTE) | Mean Difference | Effect Size (95% CI) | Relative Efficiency (95% CI) |
| Fatigue | 48.4 | 33.7 | +14.7 ** | 1.27 (0.9; 1.7) | 0.52 (0.3; 0.7) |
| Nausea and vomiting | 14.2 | 11.5 | +2.7 | 0.98 (0.7; 1.3) | 0.12 (−0.1;0.3) |
| Pain | 36.0 | 23.0 | +13.0 ** | 1.48 * (1.0; 2.0) | 0.4 (0.2; 0.7) |
| Dyspnea | 23.5 | 13.0 | +10.5 ** | 1.5 ** (1.1; 2.0) | 0.39 (0.2; 0.6) |
| Insomnia | 30.1 | 31.9 | −1.8 | 0.97 (0.7; 1.3) | −0.05 (−0.2;0.2) |
| Appetite loss | 25.8 | 25.3 | +0.5 | 1.0 (0.7; 1.4) | 0.01 (−0.2;0.2) |
| Constipation | 26.7 | 22.1 | +4.6 | 1.25 (0.9; 1.7) | 0.1 (−0.1;0.4) |
| Diarrhea | 15.1 | 16.5 | +1.4 | 1.21 (0.9; 1.7) | −0.05 (−0.3;0.2) |
| Financial difficulties | 23.4 | 17.8 | +5.6 | 1.35 (0.9; 1.9) | 0.2 (−0.03;0.4) |
| EQ-5D-3L 4 | Cases (Cancer with VTE) | Controls (Cancer without VTE) | Mean Difference | Effect Size (95% CI) | Relative Efficiency (95% CI) |
| Index score | 0.55 | 0.77 | −0.22 ** | 2.06 ** (1.5; 2.8) | −0.7 (−0.9; −0.5) |
| VEINES-QOL/Sym 5 | Cases (Cancer with VTE) | Controls (Cancer without VTE) | Mean Difference | Effect Size (95% CI) | Relative Efficiency (95% CI) |
| VEINES-QOL | 42.7 | 51.7 | −9.0 ** | 0.82 (0.53; 1.20) | 1.0 (0.79; 1.38) |
| VEINES/Sym | 43.8 | 51.4 | −7.6 ** | 0.80 (0.5–1.2) | 0.8 (0.5–1.0) |
© 2019 by the authors. Licensee MDPI, Basel, Switzerland. This article is an open access article distributed under the terms and conditions of the Creative Commons Attribution (CC BY) license (http://creativecommons.org/licenses/by/4.0/).
Share and Cite
Marin-Barrera, L.; Muñoz-Martin, A.J.; Rios-Herranz, E.; Garcia-Escobar, I.; Beato, C.; Font, C.; Oncala-Sibajas, E.; Revuelta-Rodriguez, A.; Areses, M.C.; Rivas-Jimenez, V.; et al. A Case-Control Analysis of the Impact of Venous Thromboembolic Disease on Quality of Life of Patients with Cancer: Quality of Life in Cancer (Qca) Study. Cancers 2020, 12, 75. https://doi.org/10.3390/cancers12010075
Marin-Barrera L, Muñoz-Martin AJ, Rios-Herranz E, Garcia-Escobar I, Beato C, Font C, Oncala-Sibajas E, Revuelta-Rodriguez A, Areses MC, Rivas-Jimenez V, et al. A Case-Control Analysis of the Impact of Venous Thromboembolic Disease on Quality of Life of Patients with Cancer: Quality of Life in Cancer (Qca) Study. Cancers. 2020; 12(1):75. https://doi.org/10.3390/cancers12010075
Chicago/Turabian StyleMarin-Barrera, Lucia, Andres J. Muñoz-Martin, Eduardo Rios-Herranz, Ignacio Garcia-Escobar, Carmen Beato, Carme Font, Estefania Oncala-Sibajas, Alfonso Revuelta-Rodriguez, Maria Carmen Areses, Victor Rivas-Jimenez, and et al. 2020. "A Case-Control Analysis of the Impact of Venous Thromboembolic Disease on Quality of Life of Patients with Cancer: Quality of Life in Cancer (Qca) Study" Cancers 12, no. 1: 75. https://doi.org/10.3390/cancers12010075
APA StyleMarin-Barrera, L., Muñoz-Martin, A. J., Rios-Herranz, E., Garcia-Escobar, I., Beato, C., Font, C., Oncala-Sibajas, E., Revuelta-Rodriguez, A., Areses, M. C., Rivas-Jimenez, V., Moreno-Santos, M. A., Ballaz-Quincoces, A., Lopez-Saez, J.-B., Gallego, I., Elias-Hernandez, T., Asensio-Cruz, M. I., Chasco-Eguilaz, L., Garcia-Gonzalez, G., Estevez-Garcia, P., ... Jara-Palomares, L. (2020). A Case-Control Analysis of the Impact of Venous Thromboembolic Disease on Quality of Life of Patients with Cancer: Quality of Life in Cancer (Qca) Study. Cancers, 12(1), 75. https://doi.org/10.3390/cancers12010075

