Palliative Electrochemotherapy in Vulvar Carcinoma: Preliminary Results of the ELECHTRA (Electrochemotherapy Vulvar Cancer) Multicenter Study
Abstract
1. Introduction
2. Materials and Methods
2.1. Study Design, Inclusion Criteria and Data Collection
2.2. ECT Procedure, Response Evaluation and Follow Up
2.3. Statistical Analysis
3. Results
3.1. Patients and Tumor Characteristics
3.2. Procedure and Toxicity
3.3. Tumor Response
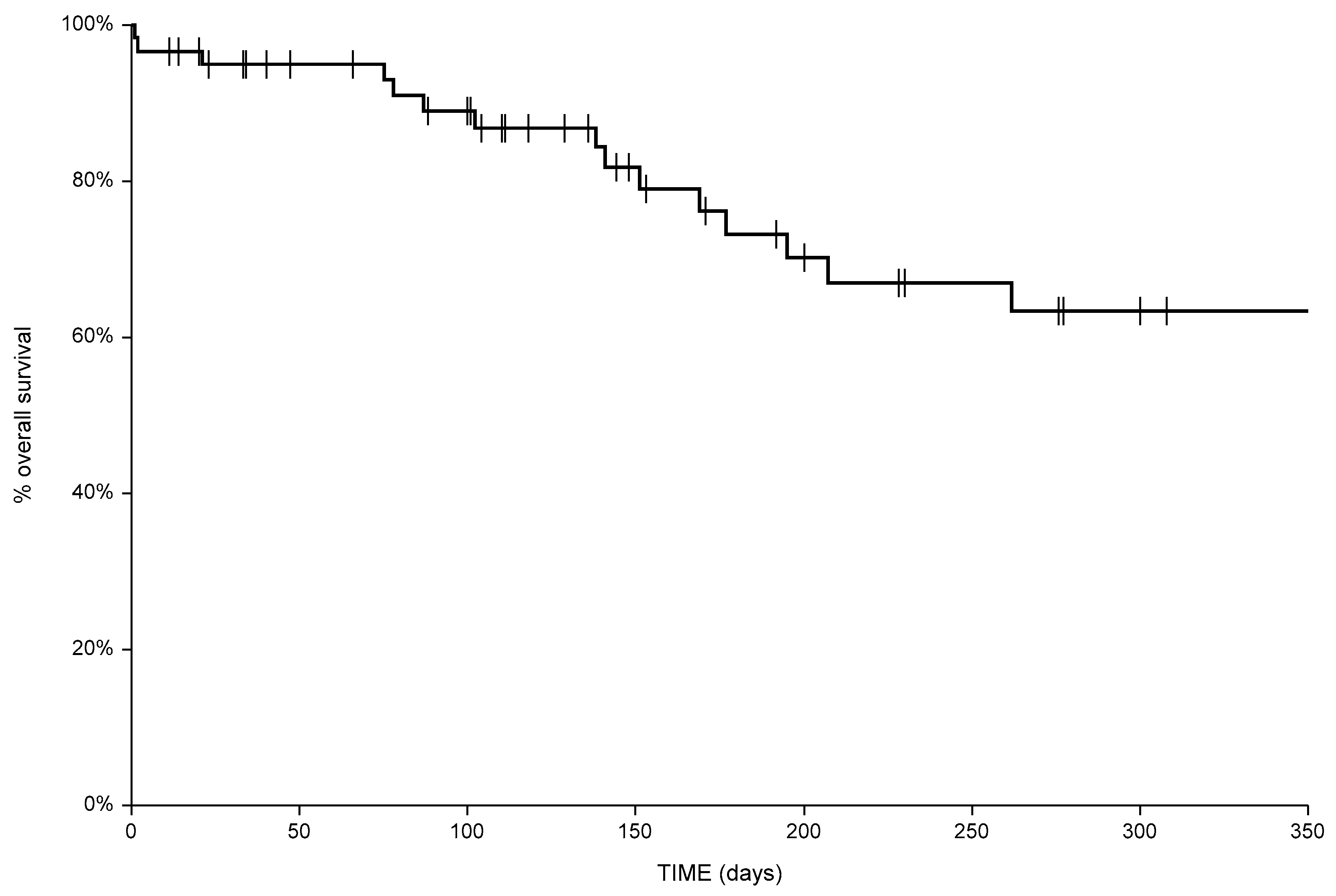
3.4. Patient Outcome
4. Discussion
5. Conclusions
Author Contributions
Funding
Acknowledgments
Conflicts of Interest
References
- Weinberg, D.; Gomez-Martinez, R.A. Vulvar Cancer. Obstet. Gynecol. Clin. N. Am. 2019, 46, 125–135. [Google Scholar] [CrossRef]
- Woelber, L.; Trillsch, F.; Kock, L.; Grimm, D.; Petersen, C.; Choschzick, M.; Jaenicke, F.; Mahner, S. Management of patients with vulvar cancer: A perspective review according to tumour stage. Ther. Adv. Med. Oncol. 2013, 5, 183–192. [Google Scholar] [CrossRef] [PubMed]
- Crosbie, E.J.; Slade, R.J.; Ahmed, A.S. The management of vulval cancer. Cancer Treat. Rev. 2009, 35, 533–539. [Google Scholar] [CrossRef] [PubMed]
- Chan, Y.M.; Ngan, H.Y.; Li, B.Y.; Yip, A.M.; Ng, T.Y.; Lee, P.W.; Yip, P.S.; Wong, L.C. A longitudinal study on quality of life after gynecologic cancer treatment. Gynecol. Oncol. 2001, 83, 10–19. [Google Scholar] [CrossRef]
- Testori, A.; Tosti, G.; Martinoli, C.; Spadola, G.; Cataldo, F.; Verrecchia, F.; Baldini, F.; Mosconi, M.; Soteldo, J.; Tedeschi, I.; et al. Electrochemotherapy for cutaneous and subcutaneous tumor lesions: A novel therapeutic approach. Dermatol. Ther. 2010, 23, 651–661. [Google Scholar] [CrossRef] [PubMed]
- Marty, M.; Sersa, G.; Garbay, J.R.; Gehl, J.; Collins, C.G.; Snoj, M.; Billard, V.; Geertsen, P.F.; Larkin, J.O.; Miklavcic, D.; et al. Electrochemotherapy—An easy, highly effective and safe treatment of cutaneous and subcutaneous metastases: Results of ESOPE (European Standard Operating Procedures of Electrochemotherapy) study. EJC Suppl. 2006, 4, 3–13. [Google Scholar] [CrossRef]
- Electrochemotherapy for Metastases in the Skin from Tumours of Non-Skin Origin and Melanoma 2013. Available online: https://www.nice.org.uk/guidance/IPG446 (accessed on 7 May 2019).
- Electrochemotherapy for Primary Basal Cell Carcinoma and Primary Squamous Cell Carcinoma 2014. Available online: https://www.nice.org.uk/guidance/ipg478/resources/electrochemotherapy-for-primary-basal-cell-carcinoma-and-primary-squamous-cell-carcinoma-1899869938127557 (accessed on 7 May 2019).
- Esmaeili, N.; Friebe, M. Electrochemotherapy: A Review of Current Status, Alternative IGP Approaches, and Future Perspectives. J. Healthc. Eng. 2019, 2019, 2784516. [Google Scholar] [CrossRef]
- Campana, L.G.; Edhemovic, I.; Soden, D.; Perrone, A.M.; Scarpa, M.; Campanacci, L.; Cemazar, M.; Valpione, S.; Miklavčič, D.; Mocellin, S.; et al. Electrochemotherapy - Emerging applications technical advances, new indications, combined approaches, and multi-institutional collaboration. Eur. J. Surg. Oncol. 2019, 45, 92–102. [Google Scholar] [CrossRef]
- Seyed Jafari, S.M.; Jabbary Lak, F.; Gazdhar, A.; Shafighi, M.; Borradori, L.; Hunger, R.E. Application of electrochemotherapy in the management of primary and metastatic cutaneous malignant tumours: A systematic review and meta-analysis. Eur. J. Dermatol. 2018, 28, 287–313. [Google Scholar]
- Cadossi, R.; Ronchetti, M.; Cadossi, M. Locally enhanced chemotherapy by electroporation: Clinical experiences and perspective of use of electrochemotherapy. Future Oncol. 2014, 10, 877–890. [Google Scholar] [CrossRef]
- Miklavcic, D.; Davalos, R.V. Electrochemotherapy (ECT) and irreversible electroporation (IRE) -advanced techniques for treating deep-seated tumors based on electroporation. Biomed. Eng. Online 2015, 14 (Suppl. 3), I1. [Google Scholar] [CrossRef]
- Perrone, A.M.; Galuppi, A.; Cima, S.; Pozzati, F.; Arcelli, A.; Cortesi, A.; Procaccini, M.; Pellegrini, A.; Zamagni, C.; De Iaco, P. Electrochemotherapy can be used as palliative treatment in patients with repeated loco-regional recurrence of squamous vulvar cancer: A preliminary study. Gynecol. Oncol. 2013, 130, 550–553. [Google Scholar] [CrossRef]
- Perrone, A.M.; Cima, S.; Pozzati, F.; Frakulli, R.; Cammelli, S.; Tesei, M.; Gasparre, G.; Galuppi, A.; Morganti, A.G.; De Iaco, P. Palliative electro-chemotherapy in elderly patients with vulvar cancer: A phase II trial. J. Surg. Oncol. 2015, 112, 529–532. [Google Scholar] [CrossRef] [PubMed]
- Pellegrino, A.; Damiani, G.R.; Mangioni, C.; Strippoli, D.; Loverro, G.; Cappello, A.; Turoli Scd, D.; Corso, S.; Tartagni, M.; Pezzotta, M.G. Outcomes of Bleomycin-based electrochemotherapy in patients with repeated loco-regional recurrences of vulvar cancer. Acta Oncol. 2016, 55, 619–624. [Google Scholar] [CrossRef] [PubMed]
- Schwartz, L.H.; Litière, S.; de Vries, E.; Ford, R.; Gwyther, S.; Mandrekar, S.; Shankar, L.; Bogaerts, J.; Chen, A.; Dancey, J.; et al. RECIST 1.1—Update and Clarification: From the RECIST Committee. Eur. J. Cancer 2016, 62, 132–137. [Google Scholar] [CrossRef] [PubMed]
- Gaudy, C.; Richard, M.-A.; Folchetti, G.; Bonerandi, J.J.; Grob, J.-J. Randomized controlled study of electrochemotherapy in the local treatment of skin metastases of melanoma. J. Cutan. Med. Surg. 2006, 10, 115–121. [Google Scholar] [CrossRef]
- Solari, N.; Spagnolo, F.; Ponte, E.; Quaglia, A.; Lillini, R.; Battista, M.; Queirolo, P.; Cafiero, F. Electrochemotherapy for the management of cutaneous and subcutaneous metastasis: A series of 39 patients treated with palliative intent. J. Surg. Oncol. 2014, 109, 270–274. [Google Scholar] [CrossRef]
- Campana, L.G.; Valpione, S.; Mocellin, S.; Sundararajan, R.; Granziera, E.; Sartore, L.; Chiarion-Sileni, V.; Rossi, C.R. Electrochemotherapy for disseminated superficial metastases from malignant melanoma. Br. J. Surg. 2012, 99, 821–830. [Google Scholar] [CrossRef]
- Bertino, G.; Sersa, G.; De Terlizzi, F.; Occhini, A.; Plaschke, C.C.; Groselj, A.; Langdon, C.; Grau, J.J.; McCaul, J.A.; Heuveling, D.; et al. European Research on Electrochemotherapy in Head and Neck Cancer (EURECA) project: Results of the treatment of skin cancer. Eur. J. Cancer 2016, 63, 41–52. [Google Scholar] [CrossRef] [PubMed]
- Domenge, C.; Orlowski, S.; Luboinski, B.; De Baere, T.; Schwaab, G.; Belehradek, J.; Mir, L.M. Antitumor electrochemotherapy: New advances in the clinical protocol. Cancer 1996, 77, 956–963. [Google Scholar] [CrossRef]
- Kis, E.; Oláh, J.; Ócsai, H.; Baltas, E.; Gyulai, R.; Kemény, L.; Horvath, A.R. Electrochemotherapy of cutaneous metastases of melanoma—A case series study and systematic review of the evidence. Dermatol. Surg. 2011, 37, 816–824. [Google Scholar] [PubMed]
- Serša, G.; Miklavčič, D.; Čemažar, M.; Belehradek, J.; Jarm, T.; Mir, L.M. Electrochemotherapy with CDDP on LPB sarcoma: Comparison of the anti-tumor effectiveness in immunocompotent and immunodeficient mice. Bioelectrochem. Bioenerg. 1997, 43, 279–283. [Google Scholar] [CrossRef]
- Orlowski, S.; Belehradek, J.; Paoletti, C.; Mir, L.M. Transient electropermeabilization of cells in culture. Increase of the cytotoxicity of anticancer drugs. Biochem. Pharmacol. 1988, 37, 4727–4733. [Google Scholar] [CrossRef]
- Tounekti, O.; Pron, G.; Belehradek, J.; Mir, L.M. Bleomycin, an apoptosis-mimetic drug that induces two types of cell death depending on the number of molecules internalized. Cancer Res. 1993, 53, 5462–5469. [Google Scholar] [PubMed]
- Sersa, G.; Stabuc, B.; Cemazar, M.; Miklavcic, D.; Rudolf, Z. Electrochemotherapy with cisplatin: Clinical experience in malignant melanoma patients. Clin. Cancer Res. 2000, 6, 863–867. [Google Scholar] [PubMed]
- Snoj, M.; Rudolf, Z.; Cemazar, M.; Jancar, B.; Sersa, G. Successful sphincter-saving treatment of anorectal malignant melanoma with electrochemotherapy, local excision and adjuvant brachytherapy. Anticancer Drugs 2005, 16, 345–348. [Google Scholar] [CrossRef] [PubMed]
- Sersa, G.; Stabuc, B.; Cemazar, M.; Jancar, B.; Miklavcic, D.; Rudolf, Z. Electrochemotherapy with cisplatin: Potentiation of local cisplatin antitumour effectiveness by application of electric pulses in cancer patients. Eur. J. Cancer 1998, 34, 1213–1218. [Google Scholar] [CrossRef]
- Rebersek, M.; Cufer, T.; Cemazar, M.; Kranjc, S.; Sersa, G. Electrochemotherapy with cisplatin of cutaneous tumor lesions in breast cancer. Anticancer Drugs 2004, 15, 593–597. [Google Scholar] [CrossRef]
- Cemazar, M.; MilaCciCc, R.; MiklavCiC, D.; Dolzan, V.; Sersa, G. Intratumoral cisplatin administration in electrochemotherapy: Antitumor effectiveness, sequence dependence and platinum content. Anticancer Drugs 1998, 9, 525. [Google Scholar] [CrossRef][Green Version]
- Sersa, G.; Cemazar, M.; Miklavcic, D. Antitumor effectiveness of electrochemotherapy with cis-diamminedichloroplatinum (II) in mice. Cancer Res. 1995, 55, 3450–3455. [Google Scholar]




| Patient’s Characteristics | CR+PR | SD+PD | p | ||
|---|---|---|---|---|---|
| n | % | n | % | ||
| Age | |||||
| <80 | 26 | 86.7 | 4 | 13.3 | 0.716 |
| ≥80 | 20 | 80.0 | 5 | 20.0 | |
| BMI | |||||
| <25 | 25 | 86.2 | 4 | 13.8 | 0.170 |
| ≥25 | 21 | 80.8 | 5 | 19.2 | |
| Stage | |||||
| FIGO I | 22 | 92.0 | 2 | 8.0 | |
| FIGO II | 2 | 66.7 | 1 | 33.3 | 0.442 |
| FIGO III | 6 | 86.0 | 1 | 14.0 | |
| FIGO IV | 1 | 50.0 | 1 | 50.0 | |
| Unknown | 15 | 78.9 | 4 | 21.1 | |
| Number of nodules | |||||
| =1 | 28 | 93.4 | 2 | 6.6 | 0.063 |
| >1 | 18 | 72.0 | 7 | 28.0 | |
| Site | |||||
| Vulva | 62 | 88.6 | 8 | 11.4 | |
| Paraurethral region | 14 | 100.0 | 0 | 0 | 0.167 |
| Posterior commisture | 9 | 90.0 | 1 | 10.0 | |
| Inguinal region | 1 | 50.0 | 1 | 50.0 | |
| Dimension of nodules (cm) | |||||
| ≤3 | 64 | 90.1 | 7 | 9.9 | 0.702 |
| >3 | 20 | 87.0 | 3 | 13.0 | |
| Previous treatments | |||||
| RT | 1 | 50.0 | 1 | 50.0 | |
| Surgery (single or multiple) | 25 | 83.3 | 5 | 16.7 | |
| Surgery + RT | 4 | 80.0 | 1 | 20.0 | 0.762 |
| Surgery + CHT | 1 | 100.0 | 0 | 0.0 | |
| RT + CHT | 5 | 100.0 | 0 | 0.0 | |
| Surgery + RT + CHT | 2 | 100.0 | 0 | 0.0 | |
| Palliative/no treatment | 8 | 80.0 | 2 | 20.0 | |
© 2019 by the authors. Licensee MDPI, Basel, Switzerland. This article is an open access article distributed under the terms and conditions of the Creative Commons Attribution (CC BY) license (http://creativecommons.org/licenses/by/4.0/).
Share and Cite
Perrone, A.M.; Galuppi, A.; Pirovano, C.; Borghese, G.; Covarelli, P.; De Terlizzi, F.; Ferioli, M.; Cara, S.; Morganti, A.G.; De Iaco, P. Palliative Electrochemotherapy in Vulvar Carcinoma: Preliminary Results of the ELECHTRA (Electrochemotherapy Vulvar Cancer) Multicenter Study. Cancers 2019, 11, 657. https://doi.org/10.3390/cancers11050657
Perrone AM, Galuppi A, Pirovano C, Borghese G, Covarelli P, De Terlizzi F, Ferioli M, Cara S, Morganti AG, De Iaco P. Palliative Electrochemotherapy in Vulvar Carcinoma: Preliminary Results of the ELECHTRA (Electrochemotherapy Vulvar Cancer) Multicenter Study. Cancers. 2019; 11(5):657. https://doi.org/10.3390/cancers11050657
Chicago/Turabian StylePerrone, Anna Myriam, Andrea Galuppi, Cecilia Pirovano, Giulia Borghese, Piero Covarelli, Francesca De Terlizzi, Martina Ferioli, Silvia Cara, Alessio Giuseppe Morganti, and Pierandrea De Iaco. 2019. "Palliative Electrochemotherapy in Vulvar Carcinoma: Preliminary Results of the ELECHTRA (Electrochemotherapy Vulvar Cancer) Multicenter Study" Cancers 11, no. 5: 657. https://doi.org/10.3390/cancers11050657
APA StylePerrone, A. M., Galuppi, A., Pirovano, C., Borghese, G., Covarelli, P., De Terlizzi, F., Ferioli, M., Cara, S., Morganti, A. G., & De Iaco, P. (2019). Palliative Electrochemotherapy in Vulvar Carcinoma: Preliminary Results of the ELECHTRA (Electrochemotherapy Vulvar Cancer) Multicenter Study. Cancers, 11(5), 657. https://doi.org/10.3390/cancers11050657

