Design Optimization and Fabrication of High-Sensitivity SOI Pressure Sensors with High Signal-to-Noise Ratios Based on Silicon Nanowire Piezoresistors
Abstract
:1. Introduction
2. Configuration of the SiNW Pressure Sensor and Basic Theory
2.1. Structure of the SiNW Pressure Sensor
2.2. The Sensitivity of the SiNW Pressure Sensor
2.3. The SNR of the SiNW Pressure Sensor
3. Sensor Design
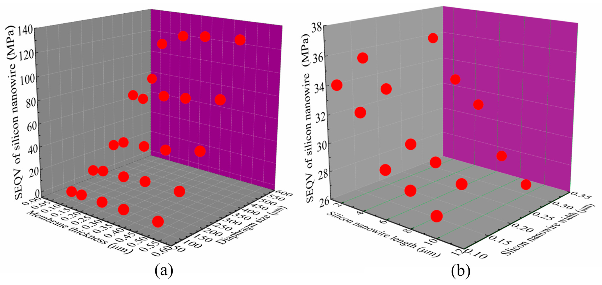
3.1. Design Optimization Based on Finite Element Simulation
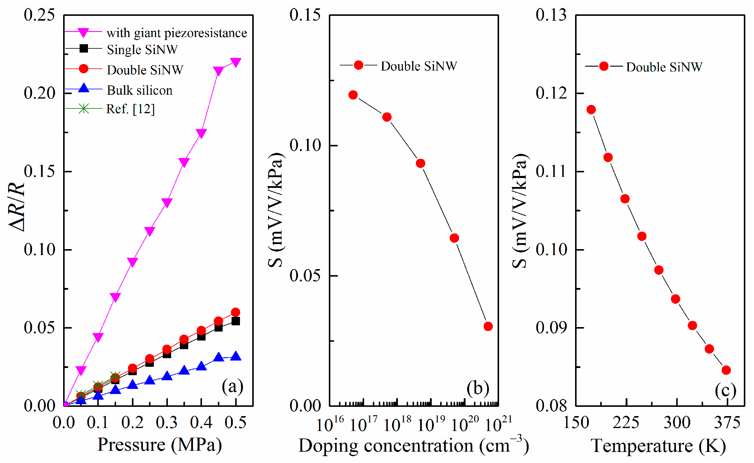
3.2. Sensor Sensitivity and SNR Analysis
4. Fabrication Process of SOI Piezoresistive Sensor
5. Experimental Section and Discussion
5.1. Experimental Setup
5.2. Sensor Output Result
5.3. Data Fusion Using PSO–BP Algorithm
5.3.1. PSO–BP Neural Network Algorithm Overview
5.3.2. Temperature Compensation by PSO–BP Data Fusion Algorithm
6. Conclusions and Future Work
Acknowledgments
Author Contributions
Conflicts of Interest
References
- Eaton, W.P.; Smith, J.H. Micromachined pressure sensors: Review and recent developments. Smart Mater. Struct. 1997, 6, 530–539. [Google Scholar] [CrossRef]
- Barlian, A.A.; Park, W.T.; Mallon, J.R.; Rastegar, A.J.; Pruitt, B.L. Review: Semiconductor piezoresistance for microsystems. Proc. IEEE 2009, 97, 513–552. [Google Scholar] [CrossRef] [PubMed]
- Brancato, L.; Keulemans, G.; Verbelen, T.; Meyns, B.; Puers, R. An implantable intravascular pressure sensor for a ventricular assist device. Micromachines 2016, 7, 135. [Google Scholar] [CrossRef]
- Zhang, J.H.; Wu, Y.S.; Liu, Q.Q.; Gu, F.; Mao, X.L.; Li, M. Research on high-precision, low cost piezoresistive MEMS-array pressure transmitters based on genetic wavelet neural networks for meteorological measurements. Micromachines 2015, 6, 554–573. [Google Scholar] [CrossRef]
- Pramanik, C.; Saha, H.; Gangopadhyay, U. Design optimization of a high performance silicon MEMS piezoresistive pressure sensor for biomedical applications. J. Micromech. Microeng. 2006, 16, 2060–2066. [Google Scholar] [CrossRef]
- Bae, B.; Flachsbart, B.R.; Park, K.; Shannon, M.A. Design optimization of a piezoresistive pressure sensor considering the output signal-to-noise ratio. J. Micromech. Microeng. 2004, 14, 1597–1607. [Google Scholar] [CrossRef]
- Kim, J.H.; Park, K.T.; Kim, H.C.; Chun, K. Fabrication of a piezoresistive pressure sensor for enhancing sensitivity using silicon nanowire. In Proceedings of the International Solid-State Sensors, Actuators and Microsystems Conference (TRANSDUCERS), Denver, CO, USA, 21–25 June 2009; pp. 1936–1939.
- Nguyen, M.D.; Phan, H.P.; Kiyoshi, M.; Isao, S. A sensitive liquid-cantilever diaphragm for pressure sensor. In Proceedings of the 2013 IEEE 26th International Conference on Micro Electro Mechanical Systems (MEMS), Taipei, Taiwan, 20–24 January 2013; pp. 617–620.
- Kumar, S.S.; Pant, B.D. Design principles and considerations for the ‘ideal’ silicon piezoresistive pressure sensor: A focused review. Microsyst. Technol. 2014, 20, 1213–1247. [Google Scholar] [CrossRef]
- Niu, Z.; Zhao, Y.L.; Tian, B. Design optimization of high pressure and high temperature piezoresistive pressure sensor for high sensitivity. Rev. Sci. Instrum. 2014, 85, 015001. [Google Scholar] [CrossRef] [PubMed]
- Soon, B.W.; Neuzil, P.; Wong, C.C.; Reboud, J.; Feng, H.H.; Lee, C. Ultrasensitive nanowire pressure sensor makes its debut. Procedia Eng. 2010, 5, 1127–1130. [Google Scholar] [CrossRef]
- Lou, L.; Zhang, S.S.; Park, W.T.; Tsai, J.M.; Kwong, D.L.; Lee, C. Optimization of NEMS pressure sensors with a multilayered diaphragm using silicon nanowires as piezoresistive sensing elements. J. Micromech. Microeng. 2012, 22, 055012. [Google Scholar] [CrossRef]
- Messina, M.; Njuguna, J.; Dariol, V.; Pace, C.; Angeletti, G. Design and simulation of a novel biomechanic piezoresistive sensor with silicon nanowires. IEEE/ASME Trans. Mechatron. 2013, 18, 1201–1210. [Google Scholar] [CrossRef]
- Zhu, S.E.; Ghatkesar, M.K.; Zhang, C.; Janssen, G.C.A.M. Graphene based piezoresistive pressure sensor. Appl. Phys. Lett. 2013, 102, 161904. [Google Scholar] [CrossRef]
- Greil, J.; Lugstein, A.; Zeiner, C.; Strasser, G.; Bertagnolli, E. Tuning the electro-optical properties of germanium nanowires by tensile strain. Nano Lett. 2012, 12, 6230–6234. [Google Scholar] [CrossRef] [PubMed]
- Phan, H.P.; Dao, D.V.; Nakamura, K.; Dimitrijev, S.; Nguyen, N.T. The piezoresistive effect of SiC for MEMS sensors at high temperatures: A review. J. Microelectromech. Syst. 2015, 24, 1663–1677. [Google Scholar] [CrossRef]
- He, R.R.; Yang, P.D. Giant piezoresistance effect in silicon nanowires. Nat. Nanotechnol. 2006, 1, 42–46. [Google Scholar] [CrossRef] [PubMed]
- Neuzil, P.; Wong, C.C.; Reboud, J. Electrically controlled giant piezoresistance in silicon nanowires. Nano Lett. 2010, 10, 1248–1252. [Google Scholar] [CrossRef] [PubMed]
- Lugstein, A.; Steinmair, M.; Steiger, A.; Kosina, H.; Bertagnolli, E. Anomalous piezoresistive effect in ultrastrained silicon nanowires. Nano Lett. 2010, 10, 3204–3208. [Google Scholar] [CrossRef] [PubMed]
- Yang, Y.L.; Li, X.X. Giant piezoresistance of p-type nano-thick silicon induced by interface electron trapping instead of 2D quantum confinement. Nanotechnology 2011, 22, 015501. [Google Scholar] [CrossRef] [PubMed]
- Zhang, J.H.; Yang, M.; Liu, Q.Q.; Gu, F.; Li, M.; Ge, Y.X. Experimental investigations on new characterization method for giant piezoresistance effect and silicon nanowire piezoresistive detection. Key Eng. Mater. 2015, 645–646, 881–887. [Google Scholar] [CrossRef]
- Phan, H.P.; Kozeki, T.; Dinh, T.; Fujii, T.; Qamar, A.; Zhu, Y.; Namazu, T.; Nguyen, N.T.; Dao, D.V. Piezoresistive effect of p-type silicon nanowires fabricated by a top-down process using FIB implantation and wet etching. RSC Adv. 2015, 5, 82121. [Google Scholar] [CrossRef]
- Winkler, K.; Bertagnolli, E.; Lugstein, A. Origin of anomalous piezoresistive effects in VLS grown Si nanowires. Nano Lett. 2015, 15, 1780–1785. [Google Scholar] [CrossRef] [PubMed]
- Rowe, A.C.H. Piezoresistance in silicon and its nanostructures. J. Mater. Res. 2014, 29, 731–744. [Google Scholar] [CrossRef]
- Jevtiæ, M.M.; Smiljaniæ, M.A. Diagnostic of silicon piezoresistive pressure sensors by low frequency noise measurements. Sens. Actuators A 2008, 144, 267–274. [Google Scholar] [CrossRef]
- Rajan, N.K.; Routenberg, D.A.; Reed, M.A. Optimal signal-to-noise ratio for silicon nanowire biochemical sensors. Appl. Phys. Lett. 2011, 98, 264107. [Google Scholar] [CrossRef] [PubMed]
- Bosseboeuf, A.; Allain, P.E.; Parrain, F.; Roux, X.L.; Isac, N.; Jacob, S.; Poizat, A.; Coste, P.; Maaroufi, S.; Walther, A. Thermal and electromechanical characterization of top-down fabricated p-type silicon nanowires. Adv. Nat. Sci. Nanosci. Nanotechnol. 2015, 6, 025001. [Google Scholar] [CrossRef]
- Zhang, J.R.; Zhang, J.; Lok, T.M.; Lyu, M.R. A hybrid particle swarm optimization–back-propagation algorithm for feedforward neural network training. Appl. Math. Comput. 2007, 185, 1026–1037. [Google Scholar] [CrossRef]
- Gordan, B.; Armaghani, D.J.; Hajihassani, M.; Monjezi, M. Prediction of seismic slope stability through combination of particle swarm optimization and neural network. Eng. Comput. 2016, 32, 85–97. [Google Scholar] [CrossRef]
- Reck, K.; Richter, J.; Hansen, O.; Thomsen, E.V. Piezoresistive effect in top-down fabricated silicon nanowire. In Proceedings of the IEEE 21st International Conference on Micro Electro Mechanical Systems (MEMS), Cancun, Mexico, 13–17 January 2008; pp. 717–720.
- Nakamura, K.; Isono, Y.; Toriyama, T. First-principles study on piezoresistance effect in silicon nanowires. Jpn. J. Appl. Phys. 2008, 47, 5132–5138. [Google Scholar] [CrossRef]
- Zhang, J.H.; Huang, Q.A.; Yu, H.; Lei, S.Y. Effect of temperature and elastic constant on the piezoresistivity of silicon nanobeams. J. Appl. Phys. 2009, 105, 086102. [Google Scholar] [CrossRef]
- Kozlovskiy, S.I.; Sharan, N.N. Piezoresistive effect in p-type silicon classical nanowires at high uniaxial strains. J. Comput. Electron. 2011, 10, 258–267. [Google Scholar] [CrossRef]
- Nghiêm, T.T.; Aubry-Fortuna, V.; Chassat, C.; Bosseboeuf, A.; Dollfus, P. Monte carlo simulation of giant piezoresistance effect in p-type silicon nanostructures. Mod. Phys. Lett. B 2011, 25, 995–1001. [Google Scholar] [CrossRef]
- Zhang, J.H.; Liu, Q.Q.; Ge, Y.X.; Gu, F.; Li, M.; Mao, X.L.; Cao, H.X. Extraction of interface state density and resistivity of suspended p-type silicon nanobridges. J. Semicond. 2013, 34, 052002. [Google Scholar] [CrossRef]
- Doll, J.C.; Park, S.J.; Pruitt, B.L. Design optimization for piezoresistive cantilevers for force sensing in air and water. J. Appl. Phys. 2009, 106, 064310. [Google Scholar] [CrossRef] [PubMed]
- Shin, C.; Jeon, I.; Khim, Z.G.; Hong, J.W.; Nam, H. Study of sensitivity and noise in the piezoelectric self-sensing and self-actuating cantilever with an integrated Wheatstone bridge circuit. Rev. Sci. Instrum. 2010, 81, 035109. [Google Scholar] [CrossRef] [PubMed]
- Yu, X.M.; Thaysen, J.; Hansen, O.; Boisen, A. Optimization of sensitivity and noise in piezoresistive cantilever. J. Appl. Phys. 2002, 92, 6296–6301. [Google Scholar] [CrossRef]
- Fernández-Regúlez, M.; Plaza, J.A.; Lora-Tamayo, E.; Paulo, A.S. Lithography guided horizontal growth of silicon nanowires for the fabrication of ultrasensitive piezoresistive strain gauges. Microelectron. Eng. 2010, 87, 1270–1273. [Google Scholar] [CrossRef]
- Sun, Z.Y.; Li, M.W.; Liu, Z.W. Design and simulation of a novel shock accelerometer based on giant piezoresistance effect. ECS Trans. 2014, 60, 1153–1158. [Google Scholar] [CrossRef]














| Pressure | P = 0 kPa | P = 10 kPa | P = 20 kPa | P = 30 kPa | P = 40 kPa | P = 50 kPa | P = 60 kPa | P = 70 kPa | P = 80 kPa | P = 90 kPa | P = 100 kPa | |
|---|---|---|---|---|---|---|---|---|---|---|---|---|
| Temperature | ||||||||||||
| T = −20 °C | Up = 2.20 mV | Up = 7.68 mV | Up = 15.12 mV | Up = 20.00 mV | Up = 28.88 mV | Up = 35.44 mV | Up = 42.11 mV | Up = 48.88 mV | Up = 56.00 mV | Up = 63.13 mV | Up = 68.96 mV | |
| T = −10 °C | Up = 4.40 mV | Up = 8.44 mV | Up = 14.96 mV | Up = 21.81 mV | Up = 28.12 mV | Up = 34.72 mV | Up = 41.00 mV | Up = 48.08 mV | Up = 54.89 mV | Up = 61.88 mV | Up = 66.71 mV | |
| T = 0 °C | Up = 3.64 mV | Up = 7.73 mV | Up = 14.16 mV | Up = 20.71 mV | Up = 26.89 mV | Up = 33.35 mV | Up = 39.80 mV | Up = 46.20 mV | Up = 53.20 mV | Up = 60.22 mV | Up = 66.96 mV | |
| T = 10 °C | Up = 2.29 mV | Up = 6.84 mV | Up = 13.85 mV | Up = 20.19 mV | Up = 26.16 mV | Up = 32.80 mV | Up = 38.96 mV | Up = 45.39 mV | Up = 52.21 mV | Up = 58.95 mV | Up = 65.81 mV | |
| T = 20 °C | Up = 2.04 mV | Up = 6.56 mV | Up = 13.36 mV | Up = 19.84 mV | Up = 24.56 mV | Up = 32.33 mV | Up = 38.84 mV | Up = 45.12 mV | Up = 51.82 mV | Up = 58.60 mV | Up = 65.36 mV | |
| T = 30 °C | Up = 1.28 mV | Up = 5.11 mV | Up = 11.11 mV | Up = 17.60 mV | Up = 23.80 mV | Up = 29.84 mV | Up = 36.40 mV | Up = 43.11 mV | Up = 49.84 mV | Up = 56.68 mV | Up = 63.80 mV | |
| T = 40 °C | Up = 0.97 mV | Up = 3.20 mV | Up = 8.40 mV | Up = 14.84 mV | Up = 22.47 mV | Up = 28.36 mV | Up = 35.20 mV | Up = 40.38 mV | Up = 47.29 mV | Up = 53.48 mV | Up = 59.29 mV | |
| T = 50 °C | Up = 0.44 mV | Up = 3.08 mV | Up = 8.00 mV | Up = 14.49 mV | Up = 21.00 mV | Up = 28.12 mV | Up = 33.75 mV | Up = 40.04 mV | Up = 47.09 mV | Up = 53.15 mV | Up = 59.00 mV | |
© 2016 by the authors. Licensee MDPI, Basel, Switzerland. This article is an open access article distributed under the terms and conditions of the Creative Commons Attribution (CC-BY) license ( http://creativecommons.org/licenses/by/4.0/).
Share and Cite
Zhang, J.; Zhao, Y.; Ge, Y.; Li, M.; Yang, L.; Mao, X. Design Optimization and Fabrication of High-Sensitivity SOI Pressure Sensors with High Signal-to-Noise Ratios Based on Silicon Nanowire Piezoresistors. Micromachines 2016, 7, 187. https://doi.org/10.3390/mi7100187
Zhang J, Zhao Y, Ge Y, Li M, Yang L, Mao X. Design Optimization and Fabrication of High-Sensitivity SOI Pressure Sensors with High Signal-to-Noise Ratios Based on Silicon Nanowire Piezoresistors. Micromachines. 2016; 7(10):187. https://doi.org/10.3390/mi7100187
Chicago/Turabian StyleZhang, Jiahong, Yang Zhao, Yixian Ge, Min Li, Lijuan Yang, and Xiaoli Mao. 2016. "Design Optimization and Fabrication of High-Sensitivity SOI Pressure Sensors with High Signal-to-Noise Ratios Based on Silicon Nanowire Piezoresistors" Micromachines 7, no. 10: 187. https://doi.org/10.3390/mi7100187
APA StyleZhang, J., Zhao, Y., Ge, Y., Li, M., Yang, L., & Mao, X. (2016). Design Optimization and Fabrication of High-Sensitivity SOI Pressure Sensors with High Signal-to-Noise Ratios Based on Silicon Nanowire Piezoresistors. Micromachines, 7(10), 187. https://doi.org/10.3390/mi7100187
