A Weighted NBTI/HCD Coupling Model in Full VG/VD Bias Space with Applications to SRAM Aging Simulation
Abstract
1. Introduction
2. Model
2.1. Revision of Independent Mechanism Modeling
2.2. Coupling Model
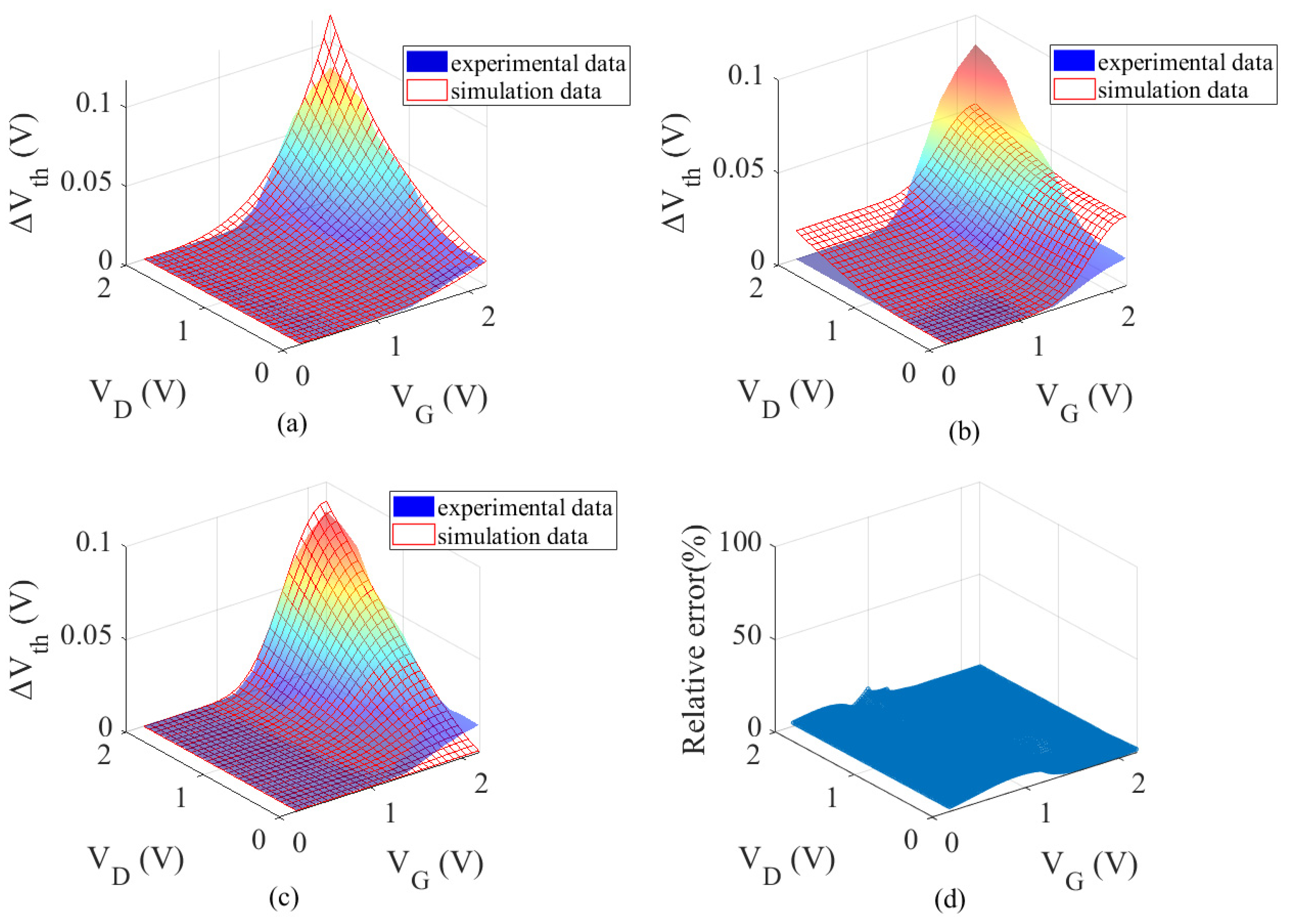
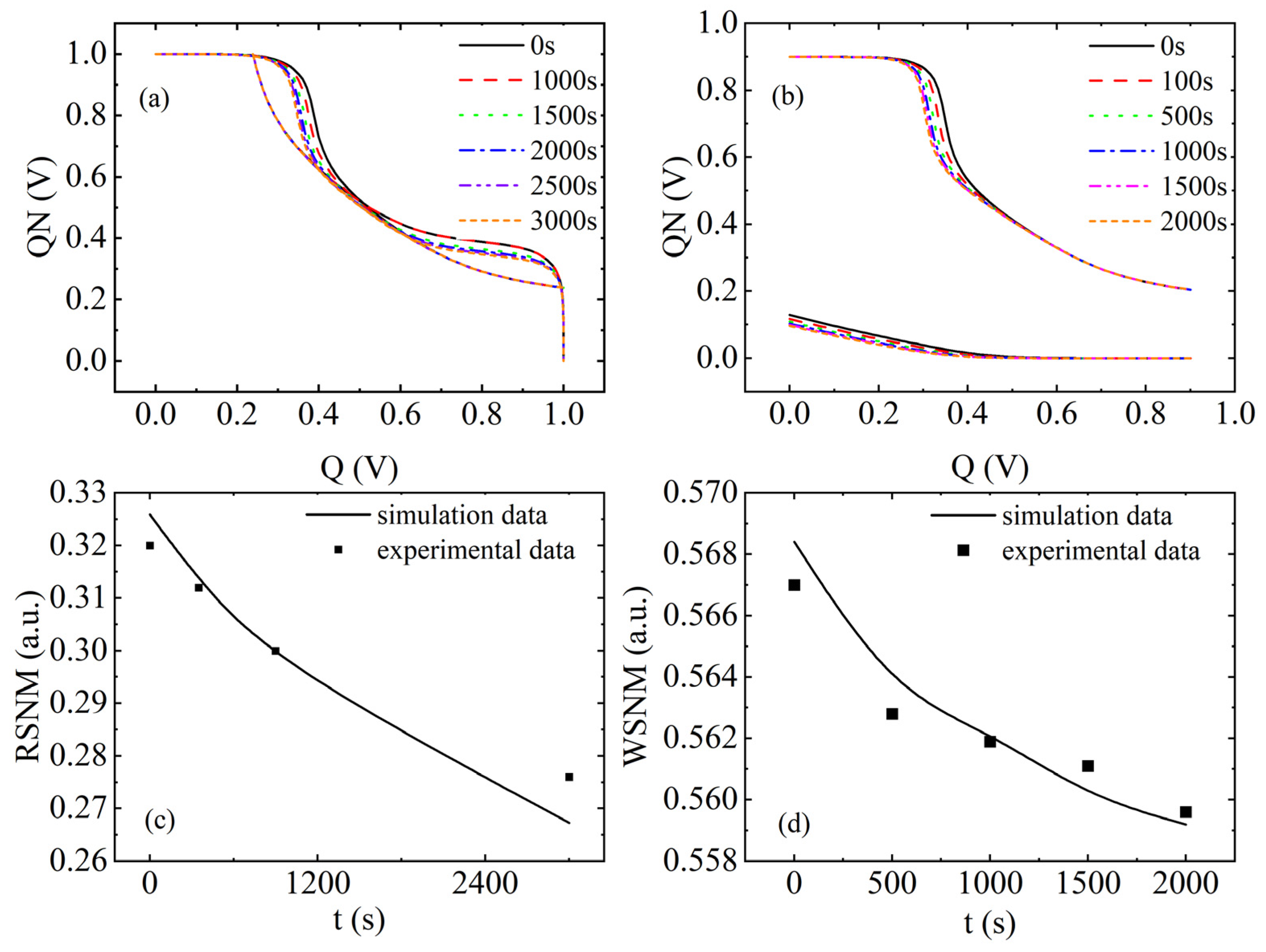
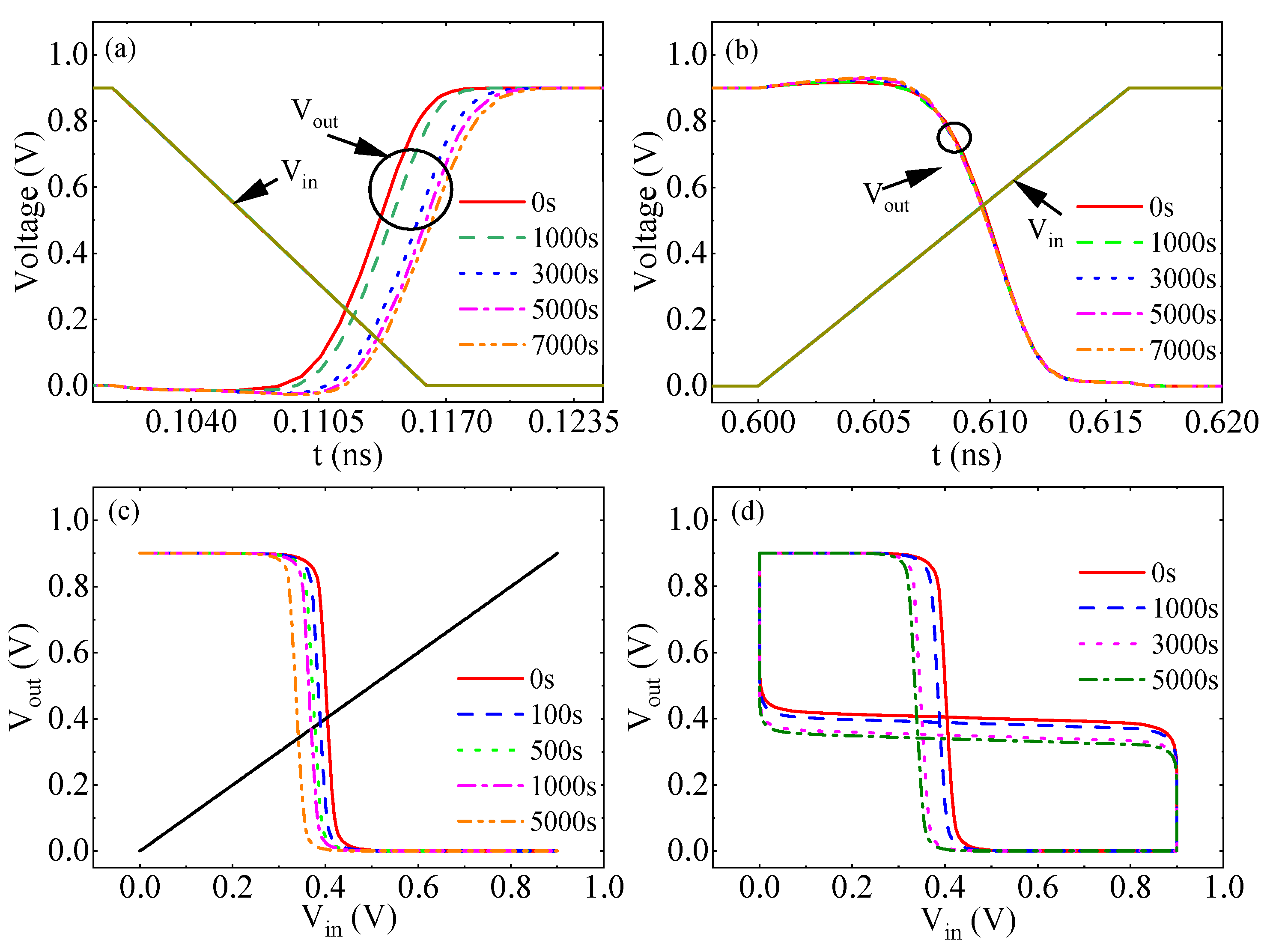
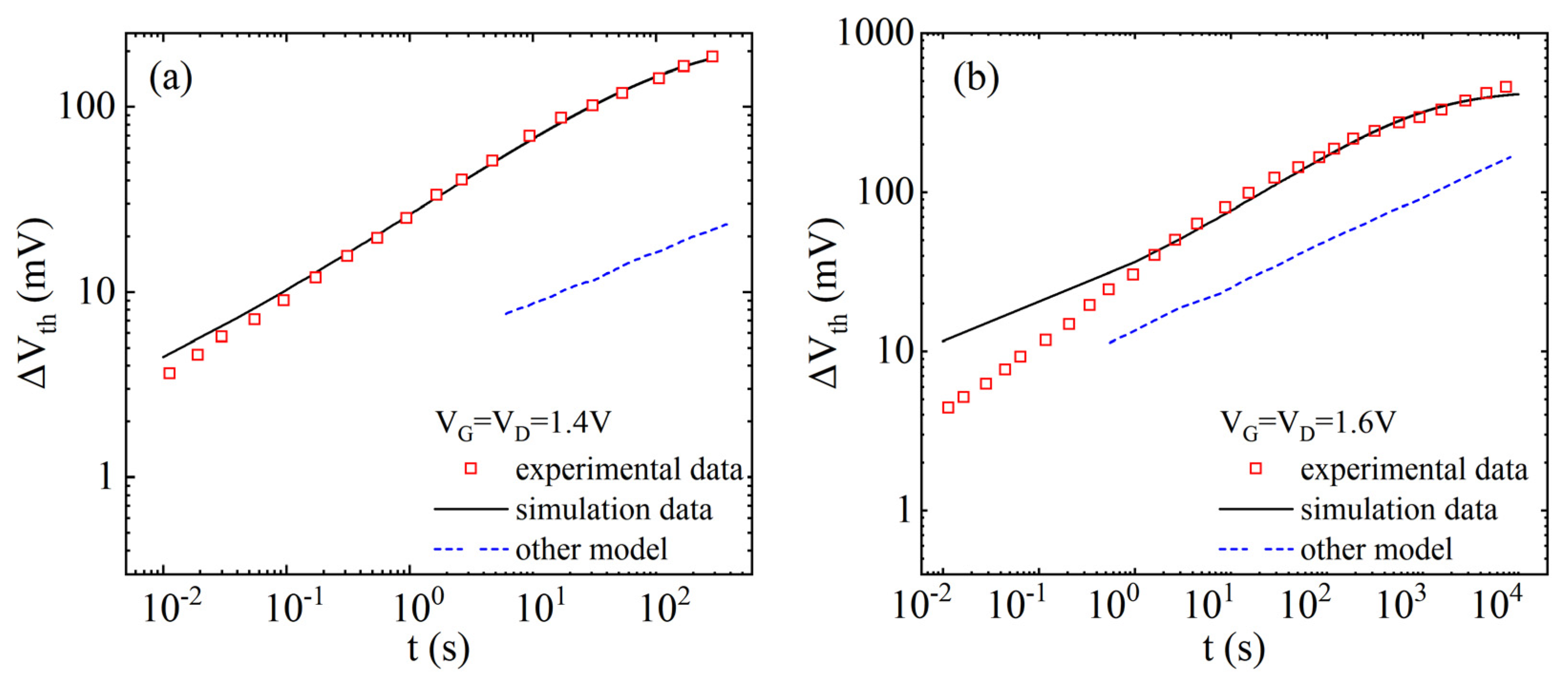
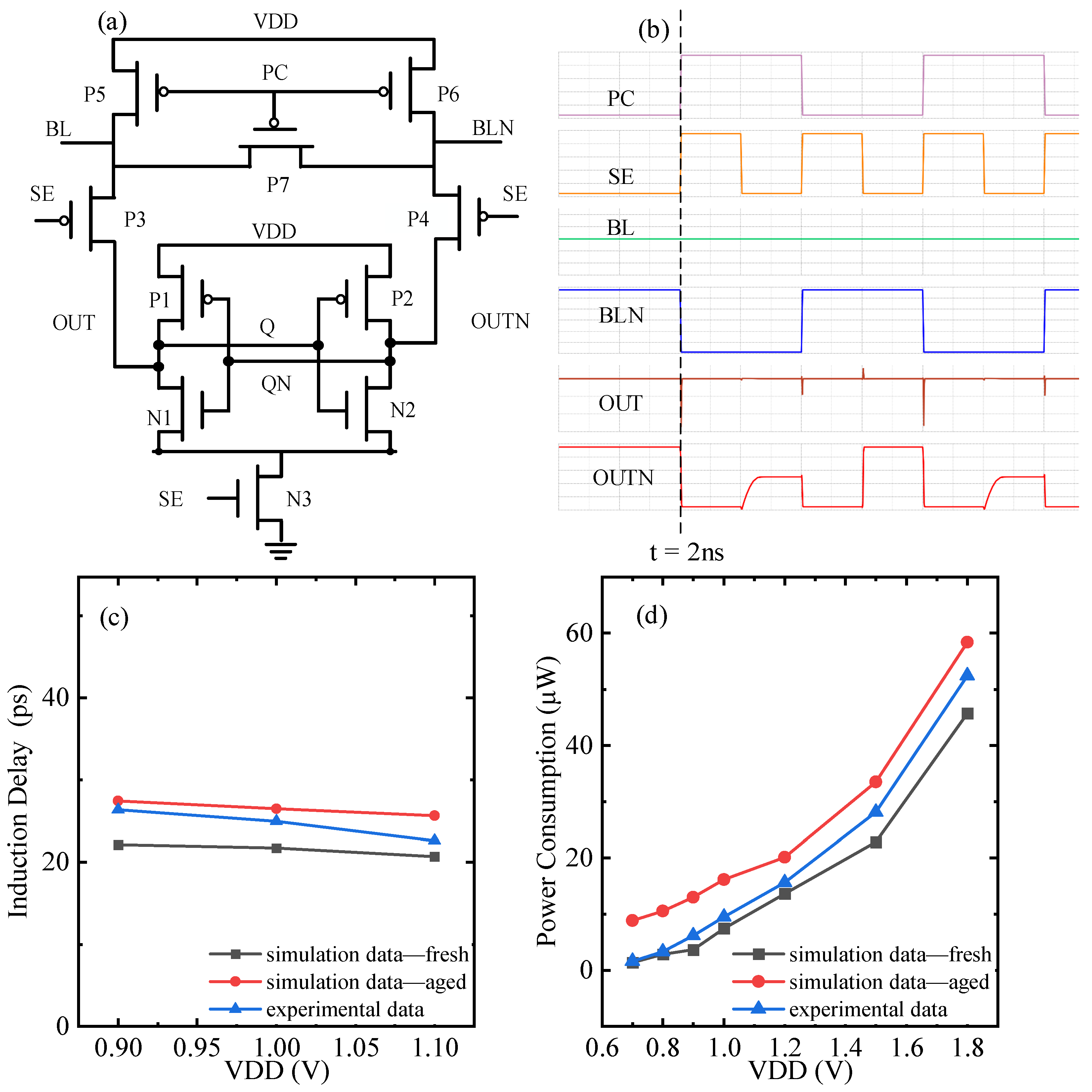
3. Results and Discussion





4. Conclusions
Author Contributions
Funding
Data Availability Statement
Conflicts of Interest
Abbreviations
| NBTI | Negative Bias Temperature Instability |
| HCD | Hot Carrier Degradation |
| RSNM | Read Static Noise Margin |
| WSNM | Write Static Noise Margin |
| R-D | Reaction–Diffusion |
| T-D | Trapping–Detrapping |
| DCM | Defect-Centric Model |
| NMP | Nonradiative Multiphonon |
| EDF | Energy Distribution Function |
| TDDB | Time-Dependent Dielectric Breakdown |
| VCVS | Voltage-Controlled Voltage Source |
References
- Sharma, U.; Parihar, N.; Mahapatra, S. Modeling of HCD Kinetics for Full VG/VD Span in the Presence of NBTI, Electron Trapping, and Self Heating in RMG SiGe p-FinFETs. IEEE Trans. Electron Devices 2019, 66, 2502–2508. [Google Scholar] [CrossRef]
- Mahapatra, S.; Parihar, N. A review of NBTI mechanisms and models. Microelectron. Reliab. 2018, 81, 127–135. [Google Scholar] [CrossRef]
- Mahapatra, S.; Sharma, U. A Review of Hot Carrier Degradation in n-Channel MOSFETs—Part I: Physical Mechanism. IEEE Trans. Electron Devices 2020, 67, 2660–2671. [Google Scholar] [CrossRef]
- Cacho, F.; Mora, P.; Arfaoui, W.; Federspiel, X.; Huard, V. HCI/BTI coupled model: The path for accurate and predictive reliability simulations. In Proceedings of the 2014 IEEE International Reliability Physics Symposium, Waikoloa, HI, USA, 1–5 June 2014. pp. 5D.4.1–5D.4.5. [Google Scholar] [CrossRef]
- Sengupta, D.; Sapatnekar, S.S. Estimating Circuit Aging Due to BTI and HCI Using Ring-Oscillator-Based Sensors. IEEE Trans. Comput. Des. Integr. Circuits Syst. 2017, 36, 1688–1701. [Google Scholar] [CrossRef]
- Wang, R.; Zhang, Z.; Sun, Z.; Guo, Z.; Lin, Y.; Huang, R. Cross-Layer Design for Reliability in Advanced Technology Nodes: An EDA Perspective. In Proceedings of the 2022 IEEE 16th International Conference on Solid-State & Integrated Circuit Technology (ICSICT), Nangjing, China, 25–28 October 2022; pp. 1–4. [Google Scholar] [CrossRef]
- Naphade, T.; Goel, N.; Nair, P.R.; Mahapatra, S. Investigation of stochastic implementation of reaction diffusion (RD) models for NBTI related interface trap generation. In Proceedings of the 2013 IEEE International Reliability Physics Symposium (IRPS), Monterey, CA, USA, 14–18 April 2013. pp. XT.5.1–XT.5.11. [Google Scholar] [CrossRef]
- Wirth, G.I.; da Silva, R.; Kaczer, B. Statistical Model for MOSFET Bias Temperature Instability Component Due to Charge Trapping. IEEE Trans. Electron Devices 2011, 58, 2743–2751. [Google Scholar] [CrossRef]
- Franco, J.; Kaczer, B.; Mukhopadhyay, S.; Duhan, P.; Weckx, P.; Roussel, P.J.; Chiarella, T.; Ragnarsson, L.-A.; Trojman, L.; Horiguchi, N.; et al. Statistical model of the NBTI-induced threshold voltage, subthreshold swing, and transconductance degradations in advanced p-FinFETs. In Proceedings of the 2016 IEEE International Electron Devices Meeting (IEDM), San Francisco, CA, USA, 3–7 December 2016. pp. 15.3.1–15.3.4. [Google Scholar] [CrossRef]
- Zhao, Y.; Wang, L.; Wu, Z.; Schanovsky, F.; Xu, X.; Yang, H.; Yu, H.; Lai, J.; Liu, D.; Chuai, X.; et al. A Unified Physical BTI Compact Model in Variability-Aware DTCO Flow: Device Characterization and Circuit Evaluation on Reliability of Scaling Technology Nodes. In Proceedings of the 2021 Symposium on VLSI Technology, Kyoto, Japan, 13–19 June 2021; pp. 1–2. [Google Scholar]
- Takeda, E.; Suzuki, N. An empirical model for device degradation due to hot-carrier injection. IEEE Electron Device Lett. 1983, 4, 111–113. [Google Scholar] [CrossRef]
- Bravaix, A.; Guerin, C.; Huard, V.; Roy, D.; Roux, J.M.; Vincent, E. Hot-Carrier acceleration factors for low power management in DC-AC stressed 40nm NMOS node at high temperature. In Proceedings of the 2009 IEEE International Reliability Physics Symposium, Montreal, QC, Canada, 26–30 April 2009; pp. 531–548. [Google Scholar] [CrossRef]
- Arfaoui, W.; Federspiel, X.; Mora, P.; Monsieur, F.; Cacho, F.; Roy, D.; Bravaix, A. Energy-driven Hot-Carrier model in advanced nodes. In Proceedings of the 2014 IEEE International Reliability Physics Symposium, Waikoloa, HI, USA, 1–5 June 2014. pp. XT.12.1–XT.12.5. [Google Scholar] [CrossRef]
- Varghese, D.; Alam, M.A.; Weir, B. A generalized, IB-independent, physical HCI lifetime projection methodology based on universality of hot-carrier degradation. In Proceedings of the 2010 IEEE International Reliability Physics Symposium, Anaheim, CA, USA, 2–6 May 2010; pp. 1091–1094. [Google Scholar] [CrossRef]
- Qu, Y.; Lin, X.; Li, J.; Cheng, R.; Yu, X.; Zheng, Z.; Lu, J.; Chen, B.; Zhao, Y. Ultra fast (<1 ns) electrical characterization of self-heating effect and its impact on hot carrier injection in 14nm FinFETs. In Proceedings of the 2017 IEEE International Electron Devices Meeting (IEDM), San Francisco, CA, USA, 2–6 December 2017. pp. 39.2.1–39.2.4. [Google Scholar] [CrossRef]
- Jech, M.; Tyaginov, S.; Kaczer, B.; Franco, J.; Jabs, D.; Jungemann, C.; Waltl, M.; Grasser, T. First–Principles Parameter–Free Modeling of n– and p–FET Hot–Carrier Degradation. In Proceedings of the 2019 IEEE International Electron Devices Meeting (IEDM), San Francisco, CA, USA, 7–11 December 2019. pp. 24.1.1–24.1.4. [Google Scholar] [CrossRef]
- Bury, E.; Chasin, A.; Vandemaele, M.; Van Beek, S.; Franco, J.; Kaczer, B.; Linten, D. Array-Based Statistical Characterization of CMOS Degradation Modes and Modeling of the Time-Dependent Variability Induced by Different Stress Patterns in the {VG, VD} bias space. In Proceedings of the 2019 IEEE International Reliability Physics Symposium (IRPS), Monterey, CA, USA, 31 March–4 April 2019; pp. 1–6. [Google Scholar] [CrossRef]
- Kumar, N.; Pali, S.; Gupta, A.; Singh, P. Self-Heating Mapping of the Experimental Device and Its Optimization in Advance Sub-5 nm Node Junctionless Multi-Nanowire FETs. IEEE Trans. Device Mater. Reliab. 2024, 24, 33–40. [Google Scholar] [CrossRef]
- Jech, M.; Rott, G.; Reisinger, H.; Tyaginov, S.; Rzepa, G.; Grill, A.; Jabs, D.; Jungemann, C.; Waltl, M.; Grasser, T. Mixed hot-carrier/bias temperature instability degradation regimes in full {VG, VD} bias space: Implications and peculiarities. IEEE Trans. Electron Devices 2020, 67, 3315–3322. [Google Scholar] [CrossRef]
- Bernstein, J.B.; Gabbay, M.; Delly, O. Reliability matrix solution to multiple mechanism prediction. Microelectron. Reliab. 2014, 54, 2951–2955. [Google Scholar] [CrossRef]
- Federspiel, X.; Rafik, M.; Angot, D.; Cacho, F.; Roy, D. Interaction between BTI and HCI degradation in high-k devices. In Proceedings of the IEEE International Reliability Physics Symposium (IRPS), Monterey, CA, USA, 14–18 April 2013; pp. 1–6. [Google Scholar] [CrossRef]
- Amrouch, H.; van Santen, V.M.; Henkel, J. Interdependencies of Degradation Effects and Their Impact on Computing. IEEE Des. Test 2017, 34, 59–67. [Google Scholar] [CrossRef]
- Wang, R.; Sun, Z.; Li, Y.; Xue, Y.; Wang, Z.; Ren, P.; Ji, Z.; Zhang, L.; Huang, R. Advanced Compact Modeling for Transistor Aging: Trap-based Approaches and Mixed-mode Coupling. In Proceedings of the 2023 7th IEEE Electron Devices Technology & Manufacturing Conference (EDTM), Seoul, Republic of Korea, 7–10 March 2023; pp. 1–3. [Google Scholar] [CrossRef]
- Sutaria, K.B.; Ren, P.; Mohanty, A.; Feng, X.; Wang, R.; Huang, R.; Cao, Y. Duty cycle shift under static/dynamic aging in 28nm HK-MG technology. In Proceedings of the 2015 IEEE International Reliability Physics Symposium, Monterey, CA, USA, 19–23 April 2015. pp. CA.7.1–CA.7.5. [Google Scholar] [CrossRef]
- Yu, Z.; Zhang, J.; Wang, R.; Guo, S.; Liu, C.; Huang, R. New insights into the hot carrier degradation (HCD) in FinFET: New observations, unified compact model, and impacts on circuit reliability. In Proceedings of the 2017 IEEE International Electron Devices Meeting (IEDM), San Francisco, CA, USA, 2–6 December 2017. pp. 7.2.1–7.2.4. [Google Scholar] [CrossRef]
- Samadder, T.; Choudhury, N.; Kumar, S.; Kochar, D.; Parihar, N.; Mahapatra, S. A Physical Model for Bulk Gate Insulator Trap Generation During Bias- Temperature Stress in Differently Processed p-Channel FETs. IEEE Trans. Electron Devices 2021, 68, 485–490. [Google Scholar] [CrossRef]
- Wang, W.; Reddy, V.; Krishnan, A.T.; Vattikonda, R.; Krishnan, S.; Cao, Y. Compact modeling and simulation of circuit reliability for 65-nm CMOS technology. IEEE Trans. Device Mater. Reliab. 2007, 7, 509–517. [Google Scholar] [CrossRef]
- Alam, M.A.; Mahapatra, S. A comprehensive model of PMOS NBTI degradation. Microelectron. Reliab. 2005, 45, 71–81. [Google Scholar] [CrossRef]
- Chen, C.L.; Lin, Y.M.; Wang, C.; Wu, K. A new finding on NBTI lifetime model and an investigation on NBTI degradation characteristic for 1.2nm ultra thin oxide [MOSFETs]. In Proceedings of the 2005 IEEE International Reliability Physics Symposium, 2005. Proceedings. 43rd Annual., San Jose, CA, USA, 17–21 April 2005; pp. 704–705. [Google Scholar] [CrossRef]
- Mahapatra, S.; Ahmed, K.; Varghese, D.; Islam, A.E.; Gupta, G.; Madhav, L.; Saha, D.; Alam, M.A. On the Physical Mechanism of NBTI in Silicon Oxynitride p-MOSFETs: Can Differences in Insulator Processing Conditions Resolve the Interface Trap Generation versus Hole Trapping Controversy? In Proceedings of the 2007 IEEE International Reliability Physics Symposium Proceedings. 45th Annual, Phoenix, AZ, USA, 15–19 April 2007; pp. 1–9. [Google Scholar] [CrossRef]
- Liu, X. Transistor/Gate Level Reliability Modeling. Ph.D. Dissertation, Nanyang Technological University, Singapore, 2018. [Google Scholar]
- Chen, G.; Li, M.F.; Ang, C.H.; Zheng, J.Z.; Kwong, D.L. Dynamic NBTI of p-MOS transistors and its impact on MOSFET scaling. IEEE Electron Device Lett. 2002, 23, 734–736. [Google Scholar] [CrossRef]
- Grasser, T.; Kaczer, B.; Goes, W. An energy-level perspective of bias temperature instability. In Proceedings of the IEEE International Reliability Physics Symposium (IRPS), Phoenix, AZ, USA, 27 April–1 May 2008; pp. 1–6. [Google Scholar] [CrossRef]
- Maricau, E.; Gielen, G. Analog IC Reliability in Nanometer CMOS; Springer: New York, NY, USA, 2013. [Google Scholar] [CrossRef]
- Tyaginov, S.E.; Starkov, I.; Enichlmair, H.; Park, J.M.; Jungemann, C.; Grasser, T. Physics-based hot-carrier degradation modeling. ECS Trans. 2011, 35, 321–352. [Google Scholar] [CrossRef]
- Randriamihaja, Y.M.; Huard, V.; Federspiel, X.; Zaka, A.; Palestri, P.; Rideau, D.; Roy, D.; Bravaix, A. Microscopic scale characterization and modeling of transistor degradation under HC stress. Microelectron. Reliab. 2012, 52, 2513–2520. [Google Scholar] [CrossRef]
- Bender, E.; Bernstein, J.B.; Bensoussan, A. Reliability prediction of FinFET FPGAs by MTOL. Microelectron. Reliab. 2020, 114, 113809. [Google Scholar] [CrossRef]
- Tan, S.; Tahoori, M.; Kim, T.; Wang, S.; Sun, Z.; Kiamehr, S. Long-Term Reliability of Nanometer VLSI Systems. In Modeling. Analysis and Optimization; Springer: Berlin/Heidelberg, Germany, 2019. [Google Scholar] [CrossRef]
- Naouss, M.; Marc, F. FPGA LUT delay degradation due to HCI: Experiment and simulation results. Microelectron. Reliab. 2016, 64, 31–35. [Google Scholar] [CrossRef]
- Anandkrishnan, R.; Bhagdikar, S.; Choudhury, N.; Rao, R.; Fernandez, B.; Chaudhury, A.; Parihar, N.; Mahapatra, S. A Stochastic Modeling Framework for NBTI and TDDS in Small Area p-MOSFETs. In Proceedings of the 2018 International Conference on Simulation of Semiconductor Processes and Devices (SISPAD), Austin, TX, USA, 24–26 September 2018; pp. 181–185. [Google Scholar] [CrossRef]
- Bina, M.; Tyaginov, S.; Franco, J.; Rupp, K.; Wimmer, Y.; Osintsev, D.; Kaczer, B.; Grasser, T. Predictive Hot-Carrier Modeling of n-Channel MOSFETs. IEEE Trans. Electron Devices 2014, 61, 3103–3110. [Google Scholar] [CrossRef]
- Sangani, D.; Diaz-Fortuny, J.; Bury, E.; Kaczer, B.; Gielen, G. Assessment of Transistor Aging Models in a 28nm CMOS Technology at a Wide Range of Stress Conditions. In Proceedings of the 2022 IEEE International Integrated Reliability Workshop (IIRW), South Lake Tahoe, CA, USA, 9–14 October 2022; pp. 1–6. [Google Scholar] [CrossRef]
- Mahapatra, S.; Rashmi, S. On the universality of hot carrier degradation: Multiple probes, various operating regimes, and different MOSFET architectures. IEEE Trans. Electron Devices 2018, 65, 3088–3094. [Google Scholar] [CrossRef]
- Patra, D.; Zhang, J.; Wang, R.; Katoozi, M.; Cannon, E.H.; Huang, R.; Cao, Y. Compact modeling and simulation of accelerated circuit aging. In Proceedings of the IEEE Custom Integrated Circuits Conference (CICC), San Diego, CA, USA, 8–11 April 2018; pp. 1–4. [Google Scholar] [CrossRef]
- Garba-Seybou, T.; Bravaix, A.; Federspiel, X.; Cacho, F. Modeling hot carrier damage interaction between on and off modes for 28 nm AC RF applications. Microelectron. Reliab. 2021, 126, 114342. [Google Scholar] [CrossRef]
- Subirats, A.; Garros, X.; Cluzel, J.; El Husseini, J.; Cacho, F.; Federspiel, X.; Huard, V.; Rafik, M.; Reimbold, G.; Faynot, O.; et al. A new gate pattern measurement for evaluating the BTI degradation in circuit conditions. In Proceedings of the IEEE International Reliability Physics Symposium (IRPS), Waikoloa, HI, USA, 1–5 June 2014; pp. 1–6. [Google Scholar] [CrossRef]
- Duan, M.; Zhang, J.F.; Manut, A.; Ji, Z.; Zhang, W.; Asenov, A.; Gerrer, L.; Reid, D.; Razaidi, H.; Vigar, D.; et al. Hot carrier aging and its variation under use-bias: Kinetics, prediction, impact on Vddand SRAM. In Proceedings of the 2015 IEEE International Electron Devices Meeting (IEDM), Washington, DC, USA, 7–9 December 2015. pp. 20.4.1–20.4.4. [Google Scholar] [CrossRef]
- Huard, V.; Parthasarathy, C.; Guerin, C.; Valentin, T.; Pion, E.; Mammasse, M.; Planes, N.; Camus, L. NBTI degradation: From transistor to SRAM arrays. In Proceedings of the 2008 IEEE International Reliability Physics Symposium, Phoenix, AZ, USA, 27 April–1 May 2008; pp. 289–300. [Google Scholar] [CrossRef]
- Agbo, I.; Khan, S.; Hamdioui, S. BTI impact on SRAM sense amplifier. In Proceedings of the 2013 8th IEEE Design and Test Symposium, Marrakesh, Morocco, 16–18 December 2013; pp. 1–6. [Google Scholar] [CrossRef]


| VG = VD = 1.4 V | |||
| ANBTI | 0.979 | AHCD | 2.448 |
| α | 0.723 | θ | 5.967 |
| β | 1.645 | λ | 1.710 |
| γ | 1.140 | ρ | 0.114 |
| δ | 263.495 | nNBTI | 0.16 |
| ε | 0.333 | nHCD | 0.5 |
| y1 | 4.129 | y2 | 63.316 |
| VG = VD = 1.6 V | |||
| ANBTI | 1.245 | AHCD | 5.052 |
| α | 1.096 | θ | 7.221 |
| β | 2.068 | λ | 0.483 |
| γ | 1.140 | ρ | 0.048 |
| δ | 263.495 | nNBTI | 0.16 |
| ε | 0.333 | nHCD | 0.5 |
| y1 | 12.632 | y2 | 87.137 |
Disclaimer/Publisher’s Note: The statements, opinions and data contained in all publications are solely those of the individual author(s) and contributor(s) and not of MDPI and/or the editor(s). MDPI and/or the editor(s) disclaim responsibility for any injury to people or property resulting from any ideas, methods, instructions or products referred to in the content. |
© 2026 by the authors. Licensee MDPI, Basel, Switzerland. This article is an open access article distributed under the terms and conditions of the Creative Commons Attribution (CC BY) license.
Share and Cite
Chai, Z.; Wu, Z. A Weighted NBTI/HCD Coupling Model in Full VG/VD Bias Space with Applications to SRAM Aging Simulation. Micromachines 2026, 17, 101. https://doi.org/10.3390/mi17010101
Chai Z, Wu Z. A Weighted NBTI/HCD Coupling Model in Full VG/VD Bias Space with Applications to SRAM Aging Simulation. Micromachines. 2026; 17(1):101. https://doi.org/10.3390/mi17010101
Chicago/Turabian StyleChai, Zhen, and Zhenyu Wu. 2026. "A Weighted NBTI/HCD Coupling Model in Full VG/VD Bias Space with Applications to SRAM Aging Simulation" Micromachines 17, no. 1: 101. https://doi.org/10.3390/mi17010101
APA StyleChai, Z., & Wu, Z. (2026). A Weighted NBTI/HCD Coupling Model in Full VG/VD Bias Space with Applications to SRAM Aging Simulation. Micromachines, 17(1), 101. https://doi.org/10.3390/mi17010101

