Photoconductive Gain Behavior of Ni/β-Ga2O3 Schottky Barrier Diode-Based UV Detectors
Abstract
1. Introduction
2. Materials and Methods
3. Results
4. Discussion
5. Conclusions
Author Contributions
Funding
Institutional Review Board Statement
Informed Consent Statement
Data Availability Statement
Conflicts of Interest
References
- Higashiwaki, M. Gallium oxide power electronics: The key semiconductor for realizing an energy sustainable future. IEEE Electron Devices Mag. 2024, 2, 42–C3. [Google Scholar] [CrossRef]
- Fu, B.; Jia, W.; Mu, Y.; Yin, J.; Zhang, X.; Tao, X. A review of β-Ga2O3 single crystal defects, their effects on device performance and their formation mechanism. J. Semicond. 2019, 40, 011804. [Google Scholar] [CrossRef]
- Green, A.J.; Chabak, K.D.; Heller, E.R.; Fitch, R.C.; Baldini, M.; Fiedler, A.; Irmscher, K.; Wagner, G.; Galazka, Z.; Tetlak, S.E.; et al. 3.8-MV/cm Breakdown Strength of MOVPE-Grown Sn-Doped β-Ga2O3MOSFETs. IEEE Electron Device Lett. 2016, 37, 902–905. [Google Scholar] [CrossRef]
- Bennett, S.E. Dislocations and their reduction in GaN. Mater. Sci. Technol. 2010, 5, 1017–1028. [Google Scholar] [CrossRef]
- Kitagawa, S.; Miyake, H.; Hiramatsu, K. High-quality AlN growth on 6H-SiC substrate using three dimensional nucleation by low-pressure hydride vapor phase epitaxy. Jpn. J. Appl. Phys. 2014, 53, 05FL03. [Google Scholar] [CrossRef]
- Galazka, Z. Growth of bulk β-Ga2O3 single crystals by the Czochralski method. J. Appl. Phys. 2022, 131, 031103. [Google Scholar] [CrossRef]
- Galazka, Z.; Ganschow, S.; Seyidov, P.; Irmscher, K.; Pietsch, M.; Chou, T.S.; Anooz, S.B.; Grueneberg, R.; Popp, A.; Dittmar, A.; et al. Two inch diameter, highly conducting bulk β-Ga2O3 single crystals grown by the Czochralski method. Appl. Phys. Lett. 2022, 120, 152101. [Google Scholar] [CrossRef]
- Kuramata, A.; Koshi, K.; Watanabe, S.; Yamaoka, Y.; Masui, T.; Yamakoshi, S. High-quality β-Ga2O3 single crystals grown by edge-defined film-fed growth. Jpn. J. Appl. Phys. 2016, 55, 1202A2. [Google Scholar] [CrossRef]
- Wu, D.; Xia, N.; Ma, K.; Wang, J.; Li, C.; Jin, Z.; Zhang, H.; Yang, D. Numerical Simulation of β-Ga2O3 Single Crystal Growth by Czochralski Method with an Insulation Lid. Crystals 2022, 12, 1715. [Google Scholar] [CrossRef]
- Igarashi, T.; Ueda, Y.; Koshi, K.; Sakaguchi, R.; Watanabe, S.; Yamakoshi, S.; Kuramata, A. Growth of 6 Inch Diameter β-Ga2O3 Crystal by the Vertical Bridgman Method. Phys. Status Solidi B 2025, 262, 2400444. [Google Scholar] [CrossRef]
- Zeng, K.; Vaydai, A.; Singisetti, U. 1.85 kV Breakdown Voltage in Lateral Field-Plated Ga2O3 MOSFETs. IEEE Electron Device Lett. 2018, 39, 1385–1388. [Google Scholar] [CrossRef]
- Orita, M.; Ohta, H.; Hirano, M.; Hosono, H. Deep-ultraviolet transparent conductive β-Ga2O3 thin films. Appl. Phys. Lett. 2000, 77, 4166–4168. [Google Scholar] [CrossRef]
- He, H.; Orlando, R.; Blanco, M.A.; Pandey, R.; Amzallag, E.; Baraille, I.; Rerat, M. First-principles study of the structural, electronic, and optical properties of Ga2O3 in its monoclinic and hexagonal phases. Phys. Rev. B 2006, 74, 195123. [Google Scholar] [CrossRef]
- Onuma, T.; Saito, S.; Sasaki, K.; Masui, T.; Yamaguchi, T.; Honda, T.; Higashiwaki, M. Valence band ordering in β-Ga2O3 studied by polarized transmittance and reflectance spectroscopy. Jpn. J. Appl. Phys. 2015, 54, 112601. [Google Scholar] [CrossRef]
- Sun, X.; Zhang, Z.; Chaaban, A.; Ng, T.K.; Shen, C.; Chen, R.; Yan, J.; Sun, H.; Li, X.; Wang, J.; et al. 71-Mbit/s ultraviolet-B LED communication link based on 8-QAM-OFDM modulation. Opt. Express 2017, 25, 23267–23274. [Google Scholar] [CrossRef] [PubMed]
- Guo, L.; Guo, Y.; Wang, J.; Wei, T. Ultraviolet communication technique and its application. J. Semicond. 2021, 42, 081801. [Google Scholar] [CrossRef]
- Almaev, A.; Nikolaev, V.; Kopyev, V.; Shapenkov, S.; Yakovlev, N.; Kushnarev, B.; Pechnikov, A.; Deng, J.; Izaak, T.; Chikiryaka, A.; et al. Solar-Blind Ultraviolet Detectors Based on High-Quality HVPE α-Ga2O3 Films With Giant Responsivity. IEEE Sens. J. 2023, 23, 19245–19255. [Google Scholar] [CrossRef]
- Almaev, A.; Yakovlev, N.; Kopyev, V.; Nikolaev, V.; Butenko, P.; Deng, J.; Pechnikov, A.; Korusenko, P.A.; Koroleva, E.; Zhizhin, E. High Sensitivity Low-Temperature Hydrogen Sensors Based on SnO2/κ(ε)-Ga2O3:Sn Heterostructure. Chemosensors 2023, 11, 325. [Google Scholar] [CrossRef]
- Xie, C.; Lu, X.; Liang, Y.; Chen, H.; Wang, L.; Wu, C.; Wu, D.; Yang, W.; Luo, L. Patterned Growth of β-Ga2O3 Thin Films for Solar-Blind Deep-UV Photodetector Arrays and Optical Imaging Applications. J. Mater. Sci. Technol. 2021, 72, 189–196. [Google Scholar] [CrossRef]
- Tak, B.R.; Yang, M.-M.; Lai, Y.-H.; Chu, Y.-H.; Alexe, M.; Singh, R. Photovoltaic and Flexible Deep Ultraviolet Wavelength Detector Based on Novel β-Ga2O3/Muscovite Heteroepitaxy. Sci. Rep. 2020, 10, 16098. [Google Scholar] [CrossRef]
- Wu, C.; Wu, F.; Hu, H.; Wang, S.; Liu, A.; Guo, D. Review of Self-Powered Solar-Blind Photodetectors Based on Ga2O3. Mater. Today Phys. 2022, 28, 100883. [Google Scholar] [CrossRef]
- Ji, X.; Yin, X.; Yuan, Y.; Yan, S.; Li, X.; Ding, Z.; Zhou, X.; Zhang, J.; Xin, Q.; Song, A. Amorphous Ga2O3 Schottky Photodiodes with High Responsivity and Photo-to-Dark Current Ratio. J. Alloys Compd. 2023, 933, 167735. [Google Scholar] [CrossRef]
- Qiang, A.; Ye, B.; Qian, L.; Sun, H.; Zhang, X.; Liu, Y.; Parkhomenko, I.N.; Komarov, F.F.; Shan, X.; Liu, Y.; et al. Solar-Blind Ultraviolet β-Ga2O3 Phototransistor for Logic and Secure Optical Communication Applications. Appl. Phys. Lett. 2025, 127, 033302. [Google Scholar] [CrossRef]
- Almaev, A.; Nikolaev, V.; Yakovlev, N.; Butenko, P.; Tsymbalov, A.; Boiko, M.; Kopyev, V.; Krymov, V.; Kushnarev, B.; Shapenkov, S.; et al. Electroconductive and Photoelectric Properties of Pt/(100) β-Ga2O3 Schottky Barrier Diode Based on Czochralski Grown Crystal. J. Vac. Sci. Technol. A 2024, 42, 042802. [Google Scholar] [CrossRef]
- Ji, X.; Yuan, Y.; Yin, X.; Yan, S.; Ding, Z.; Zhang, J. Amorphous Ga2O3 Thin-Film Phototransistors for Imaging and Logic Illustration. IEEE Electron Device Lett. 2023, 44, 436–439. [Google Scholar] [CrossRef]
- Xu, Y.; Chen, X.; Zhang, Y.; Ren, F.; Gu, S.; Ye, J. Fast Speed Ga2O3 Solar-Blind Schottky Photodiodes With Large Sensitive Area. IEEE Electron Device Lett. 2020, 41, 997–1000. [Google Scholar] [CrossRef]
- Liu, Z.; Huang, Y.; Zhang, C.; Wang, J.; Li, H.; Wu, Z.; Li, P.; Tang, W. Fabrication of ε-Ga2O3 Solar-Blind Photodetector with Symmetric Interdigital Schottky Contacts Responding to Low Intensity Light Signal. J. Phys. D: Appl. Phys. 2020, 53, 295109. [Google Scholar] [CrossRef]
- Pratiyush, A.S.; Krishnamoorthy, S.; Kumar, S.; Xia, Z.; Muralidharan, R.; Rajan, S.; Nath, D.N. Demonstration of Zero Bias Responsivity in MBE Grown β-Ga2O3 Lateral Deep-UV Photodetector. Jpn. J. Appl. Phys. 2018, 57, 060313. [Google Scholar] [CrossRef]
- Qin, Y.; Li, L.; Zhao, X.; Tompa, G.S.; Dong, H.; Jian, G.; He, Q.; Tan, P.; Hou, X.; Zhang, Z.; et al. Metal–Semiconductor–Metal ε-Ga2O3 Solar-Blind Photodetectors with a Record-High Responsivity Rejection Ratio and Their Gain Mechanism. ACS Photonics 2020, 7, 812–820. [Google Scholar] [CrossRef]
- Huang, L.; Feng, Q.; Han, G.; Li, F.; Li, X.; Fang, L.; Xing, X.; Zhang, J.; Hao, Y. Comparison Study of β-Ga2O3 Photodetectors Grown on Sapphire at Different Oxygen Pressures. IEEE Photonics J. 2017, 9, 1–8. [Google Scholar] [CrossRef]
- Xue, H.W.; He, Q.M.; Jian, G.Z.; Long, S.B.; Pang, T.; Liu, M. An Overview of the Ultrawide Bandgap Ga2O3 Semiconductor-Based Schottky Barrier Diode for Power Electronics Applications. Nanoscale Res. Lett. 2018, 13, 290. [Google Scholar] [CrossRef] [PubMed]
- Lyle, L.A.M.; Jiang, K.; Favela, E.V.; Das, K.; Popp, A.; Galazka, Z.; Wagner, G.; Porter, L.M. Effect of Metal Contacts on (100) β-Ga2O3 Schottky Barriers. J. Vac. Sci. Technol. A 2021, 39, 033202. [Google Scholar] [CrossRef]
- Yang, J.; Ahn, S.; Ren, F.; Pearton, S.J.; Jang, S.; Kuramata, A. High Breakdown Voltage (−201) β-Ga2O3 Schottky Rectifiers. IEEE Electron Device Lett. 2017, 38, 906–909. [Google Scholar] [CrossRef]
- Qin, Y.; Li, L.-H.; Yu, Z.; Wu, F.; Dong, D.; Guo, W.; Zhang, Z.; Yuan, J.-H.; Xue, K.-H.; Miao, X.; et al. Ultra-High Performance Amorphous Ga2O3 Photodetector Arrays for Solar-Blind Imaging. Adv. Sci. 2021, 8, 2101106. [Google Scholar] [CrossRef]
- Bereznaya, S.A.; Redkin, R.A.; Brudnyi, V.N.; Sarkisov, Y.S.; Su, X.; Sarkisov, S.Y. Optical Absorption, Photocarrier Recombination Dynamics and Terahertz Dielectric Properties of Electron-Irradiated GaSe Crystals. Crystals 2023, 13, 1562. [Google Scholar] [CrossRef]
- Zhang, M.; Liu, Z.; Yang, L.; Yao, J.; Chen, J.; Zhang, J.; Wei, W.; Guo, Y.; Tang, W. β-Ga2O3-Based Power Devices: A Concise Review. Crystals 2022, 12, 406. [Google Scholar] [CrossRef]
- Sheoran, H.; Kumar, V.; Singh, R. A Comprehensive Review on Recent Developments in Ohmic and Schottky Contacts on Ga2O3 for Device Applications. ACS Appl. Electron. Mater. 2022, 4, 2589–2628. [Google Scholar] [CrossRef]
- Borelli, C.; Bosio, A.; Parisini, A.; Pavesi, M.; Vantaggio, S.; Fornari, R. Electronic Properties and Photo-Gain of UV-C Photodetectors Based on High-Resistivity Orthorhombic κ-Ga2O3 Epilayers. Mater. Sci. Eng. B 2022, 286, 116056. [Google Scholar] [CrossRef]
- Hao, S.; Hetzl, M.; Kunzelmann, V.F.; Matich, S.; Sai, Q.; Xia, C.; Sharp, I.D.; Stutzmann, M. Sub-Bandgap Optical Spectroscopy of Epitaxial β-Ga2O3 Thin Films. Appl. Phys. Lett. 2020, 116, 092102. [Google Scholar] [CrossRef]
- Nallabala, N.K.R.; Vattikuti, S.V.P.; Verma, V.K.; Singh, V.R.; Alhammadi, S.; Kummara, V.K.; Manjunath, V.; Dhanalakshmi, M.; Minnam Reddy, V.R. Highly Sensitive and Cost-Effective Metal–Semiconductor–Metal Asymmetric Type Schottky Metallization Based Ultraviolet Photodetecting Sensors Fabricated on n-Type GaN. Mater. Sci. Semicond. Process. 2022, 138, 106297. [Google Scholar] [CrossRef]
- Guo, D.; Liu, H.; Li, P.; Wu, Z.; Wang, S.; Cui, C.; Tang, W. Zero-Power-Consumption Solar-Blind Photodetector Based on β-Ga2O3/Nb:SrTiO3 Heterojunction. ACS Appl. Mater. Interfaces 2017, 9, 1619–1628. [Google Scholar] [CrossRef]
- Bozhkov, V.G.; Torkhov, N.A.; Shmargunov, A.V. About the Determination of the Schottky Barrier Height with the C–V Method. J. Appl. Phys. 2011, 109, 073714. [Google Scholar] [CrossRef]
- Asubay, S.; Turut, A. A Useful Model to Interpret the Experimental I–V–T and C–V–T Data of Spatially Inhomogeneous Metal–Semiconductor Rectifying Contacts. Aust. J. Electr. Electron. Eng. 2020, 17, 1–8. [Google Scholar] [CrossRef]
- Kalygina, V.M.; Tsymbalov, A.V.; Korusenko, P.M.; Koroleva, A.V.; Zhizhin, E.V. Effect of Traps on the UV Sensitivity of Gallium Oxide-Based Structures. Crystals 2024, 14, 268. [Google Scholar] [CrossRef]
- Chen, X.; Ren, F.; Gu, S.; Ye, J. Review of Gallium-Oxide-Based Solar-Blind Ultraviolet Photodetectors. Photon. Res. 2019, 7, 381–415. [Google Scholar] [CrossRef]
- Pearton, S.J.; Yang, J.; Cary, P.H.; Ren, F.; Kim, J.; Tadjer, M.J.; Mastro, M.A. A Review of Ga2O3 Materials, Processing, and Devices. Appl. Phys. Rev. 2018, 5, 011301. [Google Scholar] [CrossRef]
- Yakimov, E.B.; Polyakov, A.Y.; Smirnov, N.B.; Shchemerov, I.V.; Yang, J.; Ren, F.; Yang, G.; Kim, J.; Pearton, S.J. Diffusion Length of Non-Equilibrium Minority Charge Carriers in β-Ga2O3 Measured by Electron Beam Induced Current. J. Appl. Phys. 2018, 123, 185704. [Google Scholar] [CrossRef]
- Tak, B.R.; Singh, R. Ultra-Low Noise and Self-Powered β-Ga2O3 Deep Ultraviolet Photodetector Array with Large Linear Dynamic Range. ACS Appl. Electron. Mater. 2021, 3, 2145–2151. [Google Scholar] [CrossRef]
- Liang, J.; Li, F.; Tang, G.; Liu, Y.; Zhang, D.; Zheng, W. Reproducible High-Performance Deep-UV Photovoltaic Photodetectors Based on Solution-Processed Ga2O3 Films. IEEE Electron Device Lett. 2023, 44, 1947–1950. [Google Scholar] [CrossRef]
- Fang, C.; Li, T.; Shao, Y.; Wang, Y.; Hu, H.; Yang, J.; Zeng, X.; Li, X.; Wang, D.; Ding, Y.; et al. High-Performance Solar-Blind Ultraviolet Photodetectors Based on a Ni/β-Ga2O3 Vertical Schottky Barrier Diode. Nano Lett. 2025, 25, 914–921. [Google Scholar] [CrossRef]
- Polyakov, A.Y.; Almaev, A.V.; Nikolaev, V.I.; Pechnikov, A.I.; Shchemerov, V.I.; Vasilev, A.A.; Yakimov, E.B.; Kochkova, A.I.; Kopyev, V.V.; Kushnarev, B.O. Mechanism for Long Photocurrent Time Constants in α-Ga2O3 UV Photodetectors. ECS J. Solid State Sci. Technol. 2023, 12, 045002. [Google Scholar] [CrossRef]







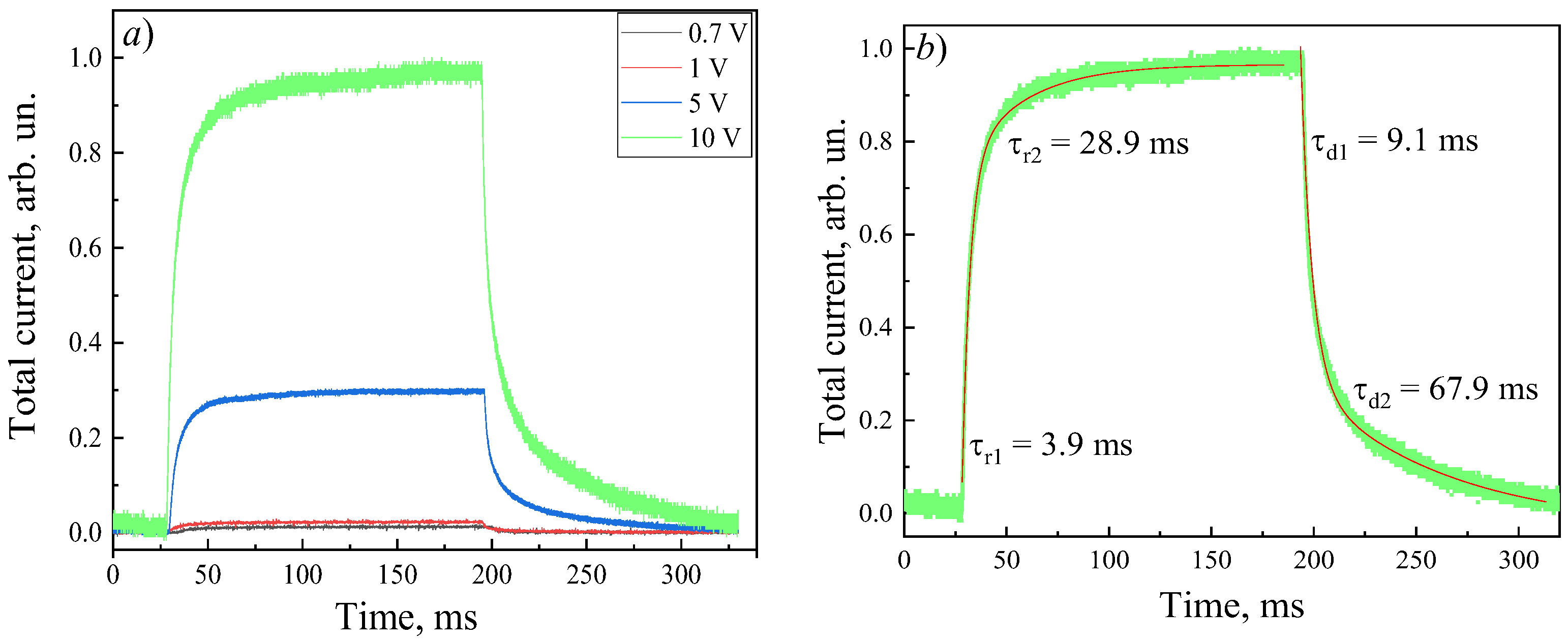
| Applied Reverse Bias, V | Responsivity, mA/W | EQE, % | tr, ms | td, ms | τr1/τr2, ms | τd1/τd2, ms |
|---|---|---|---|---|---|---|
| 0.7 | 25 | 17 | 19 | 29.8 | 4.0/25.5 | 7.1/34.3 |
| 1 | 44 | 24 | 29 | 35 | 4.4/29.7 | 6.8/39.7 |
| 5 | 99 | 48.4 | 18.3 | 47.3 | 4.1/26.2 | 7.8/51.3 |
| 10 | 305 | 149 | 26 | 59.5 | 3.9/28.9 | 9.1/67.9 |
Disclaimer/Publisher’s Note: The statements, opinions and data contained in all publications are solely those of the individual author(s) and contributor(s) and not of MDPI and/or the editor(s). MDPI and/or the editor(s) disclaim responsibility for any injury to people or property resulting from any ideas, methods, instructions or products referred to in the content. |
© 2026 by the authors. Licensee MDPI, Basel, Switzerland. This article is an open access article distributed under the terms and conditions of the Creative Commons Attribution (CC BY) license.
Share and Cite
Kopyev, V.V.; Yakovlev, N.N.; Tsymbalov, A.V.; Almaev, D.A.; Kosmachev, P.V. Photoconductive Gain Behavior of Ni/β-Ga2O3 Schottky Barrier Diode-Based UV Detectors. Micromachines 2026, 17, 100. https://doi.org/10.3390/mi17010100
Kopyev VV, Yakovlev NN, Tsymbalov AV, Almaev DA, Kosmachev PV. Photoconductive Gain Behavior of Ni/β-Ga2O3 Schottky Barrier Diode-Based UV Detectors. Micromachines. 2026; 17(1):100. https://doi.org/10.3390/mi17010100
Chicago/Turabian StyleKopyev, Viktor V., Nikita N. Yakovlev, Alexander V. Tsymbalov, Dmitry A. Almaev, and Pavel V. Kosmachev. 2026. "Photoconductive Gain Behavior of Ni/β-Ga2O3 Schottky Barrier Diode-Based UV Detectors" Micromachines 17, no. 1: 100. https://doi.org/10.3390/mi17010100
APA StyleKopyev, V. V., Yakovlev, N. N., Tsymbalov, A. V., Almaev, D. A., & Kosmachev, P. V. (2026). Photoconductive Gain Behavior of Ni/β-Ga2O3 Schottky Barrier Diode-Based UV Detectors. Micromachines, 17(1), 100. https://doi.org/10.3390/mi17010100

