A Broadband Millimeter-Wave Circularly Polarized Folded Reflectarray Antenna Based on Transmissive Linear-to-Circular Polarization Converter
Abstract
1. Introduction
2. The Principle and Element Design of the CPFRA
2.1. The Principle of the Proposed CPFRA
2.2. Geometry and Performance of the Metasurface-Based Element on the Primary Reflector Surface
2.2.1. Geometry of the Metasurface-Based Element
2.2.2. Performance of the Metasurface-Based Element
2.3. Design and Analysis of the Transmissive Linear-to-Circular Polarization Converter on the Sub-Reflector Surface
2.3.1. Design of the Transmissive Linear-to-Circular Polarization Converter
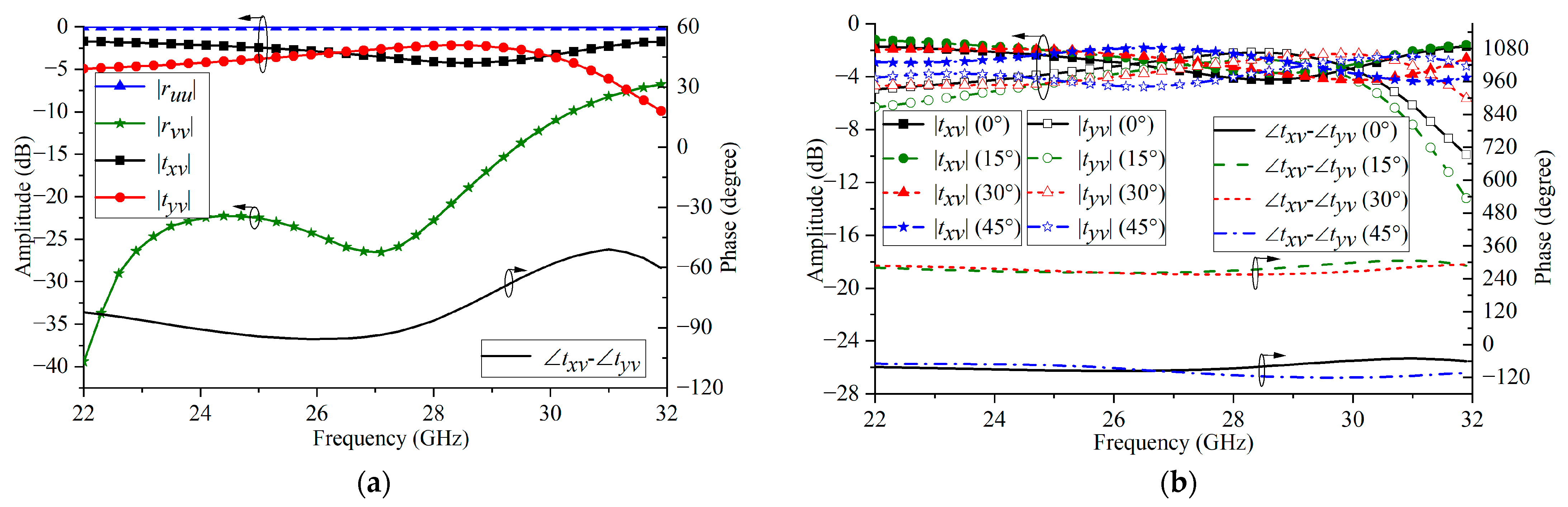
2.3.2. Analysis of the Transmissive Linear-to-Circular Polarization Converter
3. Experimental Results and Analysis
3.1. Design of the LP Horn Antenna
3.2. Layout of the CPFRA
3.3. Fabrication and Assembly of the CPFRA
3.4. Experimental Results
4. Conclusions
Author Contributions
Funding
Data Availability Statement
Conflicts of Interest
References
- Park, J.; Cho, J.; Lee, B.; Kim, Y.; Cheun, K.; Seol, J.-Y.; Roh, W.; Lee, J.; Aryanfar, F. Millimeter-wave beamforming as an enabling technology for 5G cellular communications: Theoretical feasibility and prototype results. IEEE Commun. Mag. 2014, 52, 106–113. [Google Scholar]
- Hum, S.V.; Perruisseau-Carrier, J. Reconfigurable reflectarrays and array lenses for dynamic antenna beam control: A review. IEEE Trans. Antennas Propag. 2014, 62, 183–198. [Google Scholar] [CrossRef]
- Huang, J.; Encinar, J.A. Reflectarray Antennas; Wiley: Hoboken, NJ, USA, 2007. [Google Scholar]
- Pilz, D.; Menzel, W. Folded reflectarray antenna. Electron. Lett. 1998, 34, 832–833. [Google Scholar] [CrossRef]
- Menzel, W.; Pilz, D.; Al-Tikriti, M. Millimeter-wave folded reflector antennas with high gain, low loss, and low profile. IEEE Antennas Propag. Mag. 2002, 44, 24–29. [Google Scholar] [CrossRef]
- Hu, Y.; Hong, W.; Jiang, Z.H. A Multibeam folded reflectarray antenna with wide coverage and integrated primary sources for millimeter-wave massive MIMO applications. IEEE Trans. Antennas Propag. 2018, 66, 6875–6882. [Google Scholar] [CrossRef]
- Qin, N.; Guo, L. On the use of metallic polarization conversion element with continuous 360° phase for high- efficiency all-metal planar folded reflectarrays. IEEE Antennas Wirel. Propag. Lett. 2024, 23, 1859–1863. [Google Scholar] [CrossRef]
- Ren, J.; Menzel, W. Dual-frequency folded reflectarray antenna. IEEE Antennas Wirel. Propag. Lett. 2013, 12, 1216–1219. [Google Scholar] [CrossRef]
- Tong, Y.; Cao, W.; Wang, C.; Bo, X.-Z.; Yang, Y.; Liu, Z.-G. Low-profile dual-band dual-circularly-polarized antenna hybridizing folded transmitarray and multi-feed transmitarray. IEEE Antennas Wirel. Propag. Lett. 2024, 24, 798–802. [Google Scholar] [CrossRef]
- Qu, K.; Dong, S.; Yang, W.; Wu, L.; Jiang, T.; Chen, K.; Feng, Y.; Zhao, J. Full-space dual-helicity decoupled metasurface for a high-efficiency multi-folded reflective antenna. Opt. Exp. 2022, 30, 33613–33626. [Google Scholar]
- Jiang, M.; Hong, W.; Zhang, Y.; Yu, S.H.; Zhou, H. A folded reflectarray antenna with a planar SIW slot array antenna as the primary source. IEEE Trans. Antennas Propag. 2014, 62, 3575–3583. [Google Scholar] [CrossRef]
- Pozar, D.M. Microwave Engineering, 3rd ed.; Wiley: Hoboken, NJ, USA, 2005. [Google Scholar]
- Huang, H.; Ye, J.; Xue, C.; Li, T. Circular polarization selective metasurface for folded reflectarray antenna at Ka-band. IEEE Antennas Wirel. Propag. Lett. 2025, 24, 1278–1282. [Google Scholar] [CrossRef]
- Chen, G.-T.; Jiao, Y.-C.; Zhao, G.; Luo, C.-W. Design of wideband high-efficiency circularly polarized folded reflectarray antenna. IEEE Trans. Antennas Propag. 2021, 69, 6988–6993. [Google Scholar] [CrossRef]
- Li, J.; Wang, Y.; Zhu, F.; Gao, S.; Wu, C.; Wei, G.; Liu, H.; Zhang, C. A planar integrated folded reflectarray antenna with circular polarization. IEEE Trans. Antennas Propag. 2017, 65, 385–390. [Google Scholar]
- Zhang, P.-P.; Zhu, X.-C.; Hu, Y.; Hao, Z.-C.; Luo, G.-Q. A wideband circularly polarized folded reflectarray antenna with linearly polarized feed. IEEE Antennas Wirel. Propag. Lett. 2022, 21, 913–917. [Google Scholar] [CrossRef]
- Shi, X.; Hou, J.; Xu, H.-X.; Chen, L.; Shi, Y.; Li, W.; Wang, H.; Zhong, X. Metasurface-assisted broadband circularly polarized folded reflectarray antenna. IEEE Trans. Antennas Propag. 2022, 70, 10465–10474. [Google Scholar]
- Cao, Y.; Che, W.; Yang, W.; Fan, C.; Xue, Q. Novel wideband polarization rotating metasurface element and its application for wideband folded reflectarray. IEEE Trans. Antennas Propag. 2020, 68, 2118–2127. [Google Scholar] [CrossRef]
- Zhao, M.-Y.; Zhang, G.-Q.; Lei, X.; Wu, J.-M.; Shang, J.-Y. Design of new single-layer multiple-resonance broadband circularly polarized reflectarrays. IEEE Antennas Wirel. Propag. Lett. 2013, 12, 356–359. [Google Scholar] [CrossRef]
- Guo, W.-L.; Wang, G.-M.; Liu, K.-Y.; Zhuang, Y.-Q.; Ge, Q.-C. Design of single-layered ultrawideband high-efficiency circularly polarized reflectarray. IEEE Antennas Wirel. Propag. Lett. 2018, 9, 1386–1390. [Google Scholar] [CrossRef]
- Zhao, G.; Jiao, Y.-C.; Zhang, F.; Zhang, F.-S. A subwavelength element for broadband circularly polarized reflectarrays. IEEE Antennas Wirel. Propag. Lett. 2010, 17, 1386–1390. [Google Scholar] [CrossRef]
- Abadi, S.M.A.M.H.; Behdad, N. Broadband true-time-delay circularly polarized reflectarray with linearly polarized feed. IEEE Trans. Antennas Propag. 2016, 64, 4891–4896. [Google Scholar] [CrossRef]













| Parameters | h | d1 | d2 | d3 | w1 | w2 | sur_w |
| Value | 0.508 mm | 0.508 mm | 1 mm | 3.3 mm | 2 mm | 1.85 mm | 2.2 mm |
| Parameters | l1 | l2 | l3 | l4 | w | s | sur_s |
| Value | 0.3 mm | 1.46 mm | 0.2 mm | 0.4 mm | 0.2 mm | 0.4 mm | 0.3 mm |
| Ref. | Frequency (GHz) | Polarization of the Source | Profile of RA | Aperture Efficiency (%) | Gain Bandwidth (%) | 3 dB AR Bandwidth (%) |
|---|---|---|---|---|---|---|
| [19] | 10 | CP | F | 59.94 | 30 (−1 dB) | 30 |
| [20] | 15 | CP | F | 60 | 49.7 (−3 dB) | 75 |
| [21] | 10 | LP | F | 39 | 17 (−1 dB) | 11 |
| [22] | 10 | LP | F | / | 40 (−3 dB) | 40 |
| [15] | 5.3 | LP | F/2 | 27 | 9 (−3 dB) | 5 |
| This work | 26 | LP | F/2 | 27.2 | 27.4 (−1 dB) | 23 |
Disclaimer/Publisher’s Note: The statements, opinions and data contained in all publications are solely those of the individual author(s) and contributor(s) and not of MDPI and/or the editor(s). MDPI and/or the editor(s) disclaim responsibility for any injury to people or property resulting from any ideas, methods, instructions or products referred to in the content. |
© 2025 by the authors. Licensee MDPI, Basel, Switzerland. This article is an open access article distributed under the terms and conditions of the Creative Commons Attribution (CC BY) license (https://creativecommons.org/licenses/by/4.0/).
Share and Cite
Cao, Y.; Wang, Z.; Wang, Q.; Du, M.; Zhang, M. A Broadband Millimeter-Wave Circularly Polarized Folded Reflectarray Antenna Based on Transmissive Linear-to-Circular Polarization Converter. Micromachines 2025, 16, 711. https://doi.org/10.3390/mi16060711
Cao Y, Wang Z, Wang Q, Du M, Zhang M. A Broadband Millimeter-Wave Circularly Polarized Folded Reflectarray Antenna Based on Transmissive Linear-to-Circular Polarization Converter. Micromachines. 2025; 16(6):711. https://doi.org/10.3390/mi16060711
Chicago/Turabian StyleCao, Yue, Zhuwei Wang, Qing Wang, Mingzhu Du, and Miaojuan Zhang. 2025. "A Broadband Millimeter-Wave Circularly Polarized Folded Reflectarray Antenna Based on Transmissive Linear-to-Circular Polarization Converter" Micromachines 16, no. 6: 711. https://doi.org/10.3390/mi16060711
APA StyleCao, Y., Wang, Z., Wang, Q., Du, M., & Zhang, M. (2025). A Broadband Millimeter-Wave Circularly Polarized Folded Reflectarray Antenna Based on Transmissive Linear-to-Circular Polarization Converter. Micromachines, 16(6), 711. https://doi.org/10.3390/mi16060711

