Metastable States of 2D-Material-on-Metal-Islands Structures Revealed by Thermal Cycling
Abstract
1. Introduction
2. Materials and Methods
2.1. Preamble: Choice of the Structures Design
2.2. Sample Fabrication
2.3. Characterization
2.4. Low-Temperature Measurements
3. Results
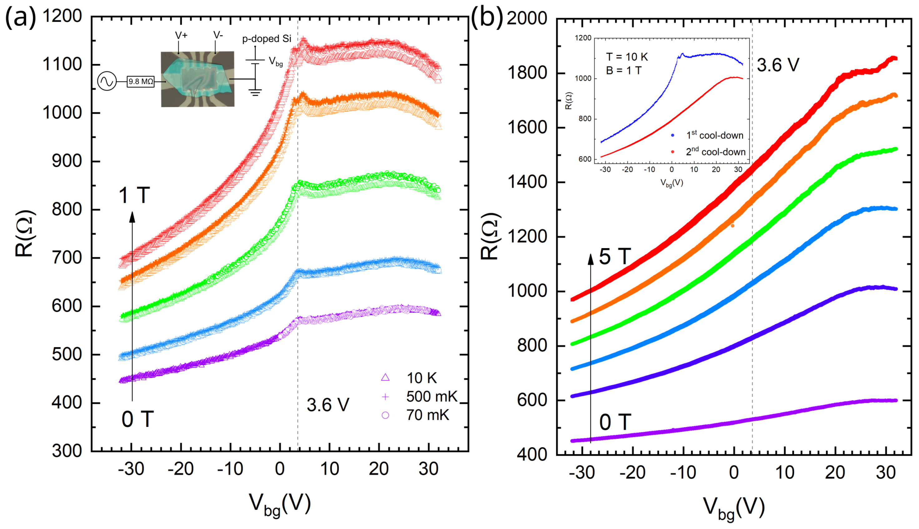
3.1. First Sample
3.2. Second Sample
3.3. AFM Signatures of the Metastable State
3.4. Raman Spectroscopy Detection of the Mechanical Tensions
3.5. Restoration of Electrical Contact by Thermal Cycling
4. Discussion
4.1. Wetting Transition
4.2. Possible Mechanism of Delamination
4.3. Further Development
5. Conclusions
Author Contributions
Funding
Data Availability Statement
Acknowledgments
Conflicts of Interest
Abbreviations
| PMMA | poly methyl methacrylate, e-beam resist |
| MMA | methyl methacrylate, e-beam resist underlayer |
| NA | numerical aperture |
| PDMS | polydimethylsilaxane |
| PPC | polypropylencarbonate |
| 2D | two-dimensional |
| VdWH | van der Waals heterostructures |
| hBN | hexagonal boron nitride |
| CNP | charge neutrality point |
| CFMS | Cryogen free measurement system by Cryogenic Co. |
| AFM | atomic force microscopy |
| TE | thermal expansion |
| FWHM | full width at half maximum (spectral characteristic) |
References
- Mak, K.F.; Shan, J. Photonics and optoelectronics of 2D semiconductor transition metal dichalcogenides. Nat. Photon. 2016, 10, 216–226. [Google Scholar] [CrossRef]
- Liu, Y.; Duan, X.; Shin, H.J.; Park, S.; Huang, Y.; Duan, X. Promises and prospects of two-dimensional transistors. Nature 2021, 591, 43–53. [Google Scholar] [CrossRef]
- Yankowitz, M.; Ma, Q.; Jarillo-Herrero, P.; LeRoy, B.J. van der Waals heterostructures combining graphene and hexagonal boron nitride. Nat. Rev. Phys. 2019, 1, 112–125. [Google Scholar] [CrossRef]
- Zhang, G.; Wu, H.; Zhang, L.; Yang, L.; Xie, Y.; Guo, F.; Li, H.; Tao, B.; Wang, G.; Zhang, W.; et al. Two-dimensional van der Waals topological materials: Preparation, properties, and device applications. Small 2022, 18, 2204380. [Google Scholar] [CrossRef]
- Zhao, Q.; Xie, Z.; Peng, Y.P.; Wang, K.; Wang, H.; Li, X.; Wang, H.; Chen, J.; Zhang, H.; Yan, X. Current status and prospects of memristors based on novel 2D materials. Mater. Horizons 2020, 7, 1495–1518. [Google Scholar] [CrossRef]
- Qiu, D.; Gong, C.; Wang, S.; Zhang, M.; Yang, C.; Wang, X.; Xiong, J. Recent advances in 2D superconductors. Adv. Mater. 2021, 33, 2006124. [Google Scholar] [CrossRef]
- Gibertini, M.; Koperski, M.; Morpurgo, A.F.; Novoselov, K.S. Magnetic 2D materials and heterostructures. Nat. Nanotechnol. 2019, 14, 408–419. [Google Scholar] [CrossRef] [PubMed]
- Li, Z.Y.; Yang, W.J.; Wu, Y.P.; Wu, S.B.; Cai, Z.B. Role of humidity in reducing the friction of graphene layers on textured surfaces. Appl. Surf. Sci. 2017, 403, 362–370. [Google Scholar] [CrossRef]
- Shi, Z.; Shum, P.; Wasy, A.; Zhou, Z.; Li, L.K.Y. Tribological performance of few layer graphene on textured M2 steel surfaces. Surf. Coatings Technol. 2016, 296, 164–170. [Google Scholar] [CrossRef]
- Yilbas, B.; Ibrahim, A.; Ali, H.; Khaled, M.; Laoui, T. Effect of graphene film on laser textured alumina surface characteristics. Ceram. Int. 2017, 43, 2012–2021. [Google Scholar] [CrossRef]
- Calleja, F.; Ochoa, H.; Garnica, M.; Barja, S.; Navarro, J.J.; Black, A.; Otrokov, M.M.; Chulkov, E.V.; Arnau, A.; Vazquez de Parga, A.L.; et al. Spatial variation of a giant spin–orbit effect induces electron confinement in graphene on Pb islands. Nat. Phys. 2015, 11, 43–47. [Google Scholar] [CrossRef]
- Gao, M.; Han, X.; Liu, W.; Tian, Z.; Mei, Y.; Zhang, M.; Chu, P.K.; Kan, E.; Hu, T.; Du, Y.; et al. Graphene-mediated ferromagnetic coupling in the nickel nano-islands/graphene hybrid. Sci. Adv. 2021, 7, eabg7054. [Google Scholar] [CrossRef]
- Ho, Y.L.; Fong, C.F.; Wu, Y.J.; Konishi, K.; Deng, C.Z.; Fu, J.H.; Kato, Y.K.; Tsukagoshi, K.; Tung, V.; Chen, C.W. Finite-Area Membrane Metasurfaces for Enhancing Light-Matter Coupling in Monolayer Transition Metal Dichalcogenides. ACS Nano 2024, 18, 24173–24181. [Google Scholar] [CrossRef]
- Zhang, C.; Lin, K.; Huang, Y.; Zhang, J. Graphene-Ag hybrids on laser-textured Si surface for SERS detection. Sensors 2017, 17, 1462. [Google Scholar] [CrossRef]
- Pawlak, R.; Lebioda, M.; Rymaszewski, J.; Szymanski, W.; Kolodziejczyk, L.; Kula, P. A fully transparent flexible sensor for cryogenic temperatures based on high strength metallurgical graphene. Sensors 2016, 17, 51. [Google Scholar] [CrossRef]
- Zhu, S.; Sun, H.; Liu, X.; Zhuang, J.; Zhao, L. Room-temperature NH3 sensing of graphene oxide film and its enhanced response on the laser-textured silicon. Sci. Rep. 2017, 7, 14773. [Google Scholar] [CrossRef]
- Holicky, M.; Fenech-Salerno, B.; Cass, A.; Torrisi, F. Fabrication of graphene field effect transistors on complex non-planar surfaces. Appl. Phys. Lett. 2024, 125, 113301. [Google Scholar] [CrossRef]
- Wang, L.; Ren, Z.F.; Wang, K.Y.; He, S.J.; Luo, L.B. Graphene-pyramid textured silicon heterojunction for sensitive near-infrared light photodiode. Mater. Res. Express 2017, 4, 045022. [Google Scholar] [CrossRef]
- Khan, A.; Kumar, R.R.; Cong, J.; Imran, M.; Yang, D.; Yu, X. CVD graphene on textured silicon: An emerging technologically versatile heterostructure for energy and detection applications. Adv. Mater. Interfaces 2022, 9, 2100977. [Google Scholar] [CrossRef]
- Silva, A.; Claerbout, V.E.; Polcar, T.; Kramer, D.; Nicolini, P. Exploring the stability of twisted van der Waals heterostructures. ACS Appl. Mater. Interfaces 2020, 12, 45214–45221. [Google Scholar] [CrossRef] [PubMed]
- Liu, C.; Li, W.; Xue, L.; Hao, Y. Twisted graphene stabilized by organic linkers pillaring. Nanotechnology 2022, 33, 26LT01. [Google Scholar] [CrossRef]
- Dienwiebel, M.; Verhoeven, G.S.; Pradeep, N.; Frenken, J.W.; Heimberg, J.A.; Zandbergen, H.W. Superlubricity of graphite. Phys. Rev. Lett. 2004, 92, 126101. [Google Scholar] [CrossRef] [PubMed]
- Zheng, Q.; Jiang, B.; Liu, S.; Weng, Y.; Lu, L.; Xue, Q.; Zhu, J.; Jiang, Q.; Wang, S.; Peng, L. Self-retracting motion of graphite microflakes. Phys. Rev. Lett. 2008, 100, 067205. [Google Scholar] [CrossRef]
- Li, H.; Wang, J.; Gao, S.; Chen, Q.; Peng, L.; Liu, K.; Wei, X. Superlubricity between MoS2 monolayers. Adv. Mater. 2017, 29, 1701474. [Google Scholar] [CrossRef]
- Dong, Y.; Duan, Z.; Tao, Y.; Wei, Z.; Gueye, B.; Zhang, Y.; Chen, Y. Friction evolution with transition from commensurate to incommensurate contacts between graphene layers. Tribol. Int. 2019, 136, 259–266. [Google Scholar] [CrossRef]
- Liao, M.; Nicolini, P.; Du, L.; Yuan, J.; Wang, S.; Yu, H.; Tang, J.; Cheng, P.; Watanabe, K.; Taniguchi, T.; et al. UItra-low friction and edge-pinning effect in large-lattice-mismatch van der Waals heterostructures. Nat. Mater. 2022, 21, 47–53. [Google Scholar] [CrossRef]
- Berman, D.; Erdemir, A.; Sumant, A.V. Approaches for achieving superlubricity in two-dimensional materials. ACS Nano 2018, 12, 2122–2137. [Google Scholar] [CrossRef]
- Paolicelli, G.; Tripathi, M.; Corradini, V.; Candini, A.; Valeri, S. Nanoscale frictional behavior of graphene on SiO2 and Ni (111) substrates. Nanotechnology 2015, 26, 055703. [Google Scholar] [CrossRef] [PubMed]
- Wang, W.; Zhang, Y.; Wang, A. Effects of substrate on the nanoscale friction of graphene. Appl. Phys. Lett. 2023, 123, 241602. [Google Scholar] [CrossRef]
- Kamenskaya, T.; Eliseyev, I.; Davydov, V.Y.; Kuntsevich, A.Y. Strain in 2D TMDCs induced by metal-assisted exfoliation from the polyvinyl alcohol-covered substrate. Appl. Phys. Lett. 2024, 125, 153103. [Google Scholar] [CrossRef]
- Yang, S.; Liang, X.; Chen, W.; Wang, Q.; Sa, B.; Guo, Z.; Zheng, J.; Pei, J.; Zhan, H.; Wang, Q. Cooling-induced Strains in 2D Materials and Their Modulation via Interface Engineering. Adv. Mater. 2025, 37, 2417428. [Google Scholar] [CrossRef]
- Zaidi, H.; Richard, C.; Bui, H.S.; Tournis, S.; Aissa, M.; Bouguerra, K. Frictional Behavior of MoS2 Coatings: A Comparative Study of Dynamic and Static Friction in Vacuum and Inert Gases. Coatings 2025, 15, 500. [Google Scholar] [CrossRef]
- Lee, H.; Ko, J.H.; Choi, J.S.; Hwang, J.H.; Kim, Y.H.; Salmeron, M.; Park, J.Y. Enhancement of friction by water intercalated between graphene and mica. J. Phys. Chem. Lett. 2017, 8, 3482–3487. [Google Scholar] [CrossRef]
- Yang, Z.; Bhowmick, S.; Sen, F.G.; Banerji, A.; Alpas, A.T. Roles of sliding-induced defects and dissociated water molecules on low friction of graphene. Sci. Rep. 2018, 8, 121. [Google Scholar] [CrossRef] [PubMed]
- Chen, Z.; Khajeh, A.; Martini, A.; Kim, S.H. Origin of high friction at graphene step edges on graphite. ACS Appl. Mater. Interfaces 2020, 13, 1895–1902. [Google Scholar] [CrossRef] [PubMed]
- Wang, G.; Gao, E.; Dai, Z.; Liu, L.; Xu, Z.; Zhang, Z. Degradation and recovery of graphene/polymer interfaces under cyclic mechanical loading. Compos. Sci. Technol. 2017, 149, 220–227. [Google Scholar] [CrossRef]
- Curry, J.F.; Ohta, T.; DelRio, F.W.; Mantos, P.; Jones, M.R.; Babuska, T.F.; Bobbitt, N.S.; Argibay, N.; Krick, B.A.; Dugger, M.T.; et al. Structurally driven environmental degradation of friction in MoS2 films. Tribol. Lett. 2021, 69, 96. [Google Scholar] [CrossRef]
- Li, Q.; Lee, C.; Carpick, R.W.; Hone, J. Substrate effect on thickness-dependent friction on graphene. Phys. Status Solidi (b) 2010, 247, 2909–2914. [Google Scholar] [CrossRef]
- Qu, C.B.; Xiao, H.M.; Huang, G.W.; Li, N.; Li, M.; Li, F.; Li, Y.Q.; Liu, Y.; Fu, S.Y. Effects of cryo-thermal cycling on interlaminar shear strength and thermal expansion coefficient of carbon fiber/graphene oxide-modified epoxy composites. Compos. Commun. 2022, 32, 101180. [Google Scholar] [CrossRef]
- Jefferson Andrew, J.; Ubaid, J.; Cantwell, W.; Khan, K.; Umer, R. The Effect of Cryogenic Thermal Cycling on Impact Performance of Graphene-Enhanced Recyclable Liquid Thermoplastic/Carbon Fiber Composites for Hydrogen Storage Applications. Compos. Part C Open Access 2025, 17, 100601. [Google Scholar] [CrossRef]
- Cha, J.; Son, J.; Hong, J. A Bottom-Electrode Contact: The Most Suitable Structure for Graphene Electronics. Adv. Mater. Interfaces 2022, 9, 2102207. [Google Scholar] [CrossRef]
- Kessler, B.M.; Girit, C.O.; Zettl, A.; Bouchiat, V. Tunable Superconducting Phase Transition in Metal-Decorated Graphene Sheets. Phys. Rev. Lett. 2010, 104, 047001. [Google Scholar] [CrossRef]
- Allain, A.; Han, Z.; Bouchiat, V. Electrical control of the superconducting-to-insulating transition in graphene–metal hybrids. Nat. Mater. 2012, 11, 590–594. [Google Scholar] [CrossRef]
- Han, Z.; Allain, A.; Arjmandi-Tash, H.; Tikhonov, K.; Feigel’man, M.; Sacépé, B.; Bouchiat, V. Collapse of superconductivity in a hybrid tin–graphene Josephson junction array. Nat. Phys. 2014, 10, 380–386. [Google Scholar] [CrossRef]
- Richardson, C.L.; Edkins, S.D.; Berdiyorov, G.R.; Chua, C.J.; Griffiths, J.P.; Jones, G.A.C.; Buitelaar, M.R.; Narayan, V.; Sfigakis, F.; Smith, C.G.; et al. Vortex detection and quantum transport in mesoscopic graphene Josephson-junction arrays. Phys. Rev. B 2015, 91, 245418. [Google Scholar] [CrossRef]
- Sun, Y.; Xiao, H.; Zhang, M.; Xue, Z.; Mei, Y.; Xie, X.; Hu, T.; Di, Z.; Wang, X. Double quantum criticality in superconducting tin arrays-graphene hybrid. Nat. Commun. 2018, 9, 2159. [Google Scholar] [CrossRef]
- Gupta, S.; Jana, S.P.; Pervin, R.; Gupta, A.K. Gate-tunable crossover between vortex-interaction and pinning dominated regimes in Josephson-coupled lead islands on graphene. Phys. Rev. B 2024, 110, 024506. [Google Scholar] [CrossRef]
- Tarkaeva, E.; Ievleva, V.; Prishchepa, A.; Zhukova, E.; Terentiev, A.; Kuntsevich, A.Y. High-performance amorphous superconducting rhenium films by e-beam evaporation. J. Appl. Phys. 2025, 138, 123904. [Google Scholar] [CrossRef]
- Martanov, S.G.; Zhurbina, N.K.; Pugachev, M.V.; Duleba, A.I.; Akmaev, M.A.; Belykh, V.V.; Kuntsevich, A.Y. Making van der Waals heterostructures assembly accessible to everyone. Nanomaterials 2020, 10, 2305. [Google Scholar] [CrossRef]
- Bolotin, K.I.; Sikes, K.; Jiang, Z.; Klima, M.; Fudenberg, G.; Hone, J.; Kim, P.; Stormer, H.L. Ultrahigh electron mobility in suspended graphene. Solid State Commun. 2008, 146, 351–355. [Google Scholar] [CrossRef]
- Dai, Y.; Xue, T.; Han, X.; Huang, X.; Zhang, D.; Huang, M.; Yan, J.; Zhao, J.; Laxmi, V.; Liu, L.; et al. Suspended 2d materials: A short review. Crystals 2023, 13, 1337. [Google Scholar] [CrossRef]
- Friedman, A.L.; Tedesco, J.L.; Campbell, P.M.; Culbertson, J.C.; Aifer, E.; Perkins, F.K.; Myers-Ward, R.L.; Hite, J.K.; Eddy, C.R., Jr.; Jernigan, G.G.; et al. Quantum linear magnetoresistance in multilayer epitaxial graphene. Nano Lett. 2010, 10, 3962–3965. [Google Scholar] [CrossRef] [PubMed]
- Gopinadhan, K.; Shin, Y.J.; Jalil, R.; Venkatesan, T.; Geim, A.K.; Neto, A.H.C.; Yang, H. Extremely large magnetoresistance in few-layer graphene/boron–nitride heterostructures. Nat. Commun. 2015, 6, 8337. [Google Scholar] [CrossRef]
- Cho, S.; Fuhrer, M.S. Charge transport and inhomogeneity near the minimum conductivity point in graphene. Phys. Rev. B 2008, 77, 081402. [Google Scholar] [CrossRef]
- Kuntsevich, A.Y.; Shupletsov, A.V.; Rakhmanov, A.L. Simple mechanism that breaks the Hall-effect linearity at low temperatures. Phys. Rev. B 2020, 102, 155426. [Google Scholar] [CrossRef]
- Neumann, C.; Reichardt, S.; Venezuela, P.; Drögeler, M.; Banszerus, L.; Schmitz, M.; Watanabe, K.; Taniguchi, T.; Mauri, F.; Beschoten, B.; et al. Raman spectroscopy as probe of nanometre-scale strain variations in graphene. Nat. Commun. 2015, 6, 8429. [Google Scholar] [CrossRef]
- Bruna, M.; Ott, A.K.; Ijäs, M.; Yoon, D.; Sassi, U.; Ferrari, A.C. Doping Dependence of the Raman Spectrum of Defected Graphene. ACS Nano 2014, 8, 7432–7441. [Google Scholar] [CrossRef]
- Egginger, M.; Bauer, S.; Schwödiauer, R.; Neugebauer, H.; Sariciftci, N.S. Current versus gate voltage hysteresis in organic field effect transistors. Monatsh. Chem. 2009, 140, 735–750. [Google Scholar] [CrossRef]
- Hong, G.; Han, Y.; Schutzius, T.M.; Wang, Y.; Pan, Y.; Hu, M.; Jie, J.; Sharma, C.S.; Muller, U.; Poulikakos, D. On the mechanism of hydrophilicity of graphene. Nano Lett. 2016, 16, 4447–4453. [Google Scholar] [CrossRef]
- Zhong, M.; Li, S.; Zou, Y.; Fan, H.; Jiang, Y.; Qiu, C.; Luo, J.; Yang, L. Hydrophobic Surface Array Structure Based on Laser-Induced Graphene for Deicing and Anti-Icing Applications. Micromachines 2024, 15, 285. [Google Scholar] [CrossRef]
- Wakolbinger, S.; Geisenhof, F.R.; Winterer, F.; Palmer, S.; Crimmann, J.G.; Watanabe, K.; Taniguchi, T.; Trixler, F.; Weitz, R.T. Locally-triggered hydrophobic collapse induces global interface self-cleaning in van-der-Waals heterostructures at room-temperature. 2D Mater. 2020, 7, 035002. [Google Scholar] [CrossRef]
- Haigh, S.J.; Gholinia, A.; Jalil, R.; Romani, S.; Britnell, L.; Elias, D.C.; Novoselov, K.S.; Ponomarenko, L.A.; Geim, A.K.; Gorbachev, R. Cross-sectional imaging of individual layers and buried interfaces of graphene-based heterostructures and superlattices. Nat. Mater. 2012, 11, 764–767. [Google Scholar] [CrossRef]
- Wang, H.J.; Xi, X.K.; Kleinhammes, A.; Wu, Y. Temperature-induced hydrophobic-hydrophilic transition observed by water adsorption. Science 2008, 322, 80–83. [Google Scholar] [CrossRef]
- Zhang, R.S.; Jiang, J.W. Effect of misfit strain on the thermal expansion coefficient of graphene/MoS2 van der Waals heterostructures. Phys. Chem. Chem. Phys. 2022, 24, 156–162. [Google Scholar] [CrossRef]
- Paszkowicz, W.; Pelka, J.; Knapp, M.; Szyszko, T.; Podsiadlo, S. Lattice parameters and anisotropic thermal expansion of hexagonal boron nitride in the 10–297.5 K temperature range. Appl. Phys. A 2002, 75, 431–435. [Google Scholar] [CrossRef]
- Perottoni, C.A.; Zorzi, J.E. Thermal Expansion of Hexagonal Boron Nitride. Phys. Status Solidi (b) 2025, 262, 2400409. [Google Scholar] [CrossRef]
- Bosak, A.; Serrano, J.; Krisch, M.; Watanabe, K.; Taniguchi, T.; Kanda, H. Elasticity of hexagonal boron nitride: Inelastic x-ray scattering measurements. Phys. Rev. B 2006, 73, 041402. [Google Scholar] [CrossRef]
- Read, D.T.; Cheng, Y.W.; Keller, R.R.; McColskey, J.D. Tensile properties of free-standing aluminum thin films. Scr. Mater. 2001, 45, 583–589. [Google Scholar] [CrossRef]
- Fong, K.C.; Wollman, E.E.; Ravi, H.; Chen, W.; Clerk, A.A.; Shaw, M.; Leduc, H.; Schwab, K. Measurement of the Electronic Thermal Conductance Channels and Heat Capacity of Graphene at Low Temperature. Phys. Rev. X 2013, 3, 041008. [Google Scholar] [CrossRef]
- Alexander-Webber, J.; Huang, J.; Maude, D.K.; Janssen, T.; Tzalenchuk, A.; Antonov, V.; Yager, T.; Lara-Avila, S.; Kubatkin, S.; Yakimova, R.; et al. Giant quantum Hall plateaus generated by charge transfer in epitaxial graphene. Sci. Rep. 2016, 6, 30296. [Google Scholar] [CrossRef]
- Balci, O.; Kocabas, C. Rapid thermal annealing of graphene-metal contact. Appl. Phys. Lett. 2012, 101, 243105. [Google Scholar] [CrossRef]
- Dorgan, V.E.; Behnam, A.; Conley, H.J.; Bolotin, K.I.; Pop, E. High-field electrical and thermal transport in suspended graphene. Nano Lett. 2013, 13, 4581–4586. [Google Scholar] [CrossRef]
- Wang, H.; Wu, Y.; Cong, C.; Shang, J.; Yu, T. Hysteresis of Electronic Transport in Graphene Transistors. ACS Nano 2010, 4, 7221–7228. [Google Scholar] [CrossRef]
- Cao, Y.; Mishchenko, A.; Yu, G.; Khestanova, E.; Rooney, A.; Prestat, E.; Kretinin, A.; Blake, P.; Shalom, M.B.; Woods, C.; et al. Quality heterostructures from two-dimensional crystals unstable in air by their assembly in inert atmosphere. Nano Lett. 2015, 15, 4914–4921. [Google Scholar] [CrossRef]
- Fan, S.; Vu, Q.A.; Tran, M.D.; Adhikari, S.; Lee, Y.H. Transfer assembly for two-dimensional van der Waals heterostructures. 2D Mater. 2020, 7, 022005. [Google Scholar] [CrossRef]
- Masubuchi, S.; Sakano, M.; Tanaka, Y.; Wakafuji, Y.; Yamamoto, T.; Okazaki, S.; Watanabe, K.; Taniguchi, T.; Li, J.; Ejima, H.; et al. Dry pick-and-flip assembly of van der Waals heterostructures for microfocus angle-resolved photoemission spectroscopy. Sci. Rep. 2022, 12, 10936. [Google Scholar] [CrossRef]
- Duleba, A.; Pugachev, M.; Blumenau, M.; Martanov, S.; Naumov, M.; Shupletsov, A.; Kuntsevich, A. Inert-Atmosphere Microfabrication Technology for 2D Materials and Heterostructures. Micromachines 2024, 15, 94. [Google Scholar] [CrossRef]
- Wang, W.; Clark, N.; Hamer, M.; Carl, A.; Tovari, E.; Sullivan-Allsop, S.; Tillotson, E.; Gao, Y.; de Latour, H.; Selles, F.; et al. Clean assembly of van der Waals heterostructures using silicon nitride membranes. Nat. Electron. 2023, 6, 981–990. [Google Scholar] [CrossRef]
- Xie, L.; Liao, M.; Wang, S.; Yu, H.; Du, L.; Tang, J.; Zhao, J.; Zhang, J.; Chen, P.; Lu, X.; et al. Graphene-contacted ultrashort channel monolayer MoS2 transistors. Adv. Mater. 2017, 29, 1702522. [Google Scholar] [CrossRef] [PubMed]









Disclaimer/Publisher’s Note: The statements, opinions and data contained in all publications are solely those of the individual author(s) and contributor(s) and not of MDPI and/or the editor(s). MDPI and/or the editor(s) disclaim responsibility for any injury to people or property resulting from any ideas, methods, instructions or products referred to in the content. |
© 2025 by the authors. Licensee MDPI, Basel, Switzerland. This article is an open access article distributed under the terms and conditions of the Creative Commons Attribution (CC BY) license (https://creativecommons.org/licenses/by/4.0/).
Share and Cite
Ievleva, V.A.; Prudkoglyad, V.A.; Morgun, L.A.; Kuntsevich, A.Y. Metastable States of 2D-Material-on-Metal-Islands Structures Revealed by Thermal Cycling. Micromachines 2025, 16, 1385. https://doi.org/10.3390/mi16121385
Ievleva VA, Prudkoglyad VA, Morgun LA, Kuntsevich AY. Metastable States of 2D-Material-on-Metal-Islands Structures Revealed by Thermal Cycling. Micromachines. 2025; 16(12):1385. https://doi.org/10.3390/mi16121385
Chicago/Turabian StyleIevleva, Valeriya A., Valery A. Prudkoglyad, Leonid A. Morgun, and Aleksandr Yu. Kuntsevich. 2025. "Metastable States of 2D-Material-on-Metal-Islands Structures Revealed by Thermal Cycling" Micromachines 16, no. 12: 1385. https://doi.org/10.3390/mi16121385
APA StyleIevleva, V. A., Prudkoglyad, V. A., Morgun, L. A., & Kuntsevich, A. Y. (2025). Metastable States of 2D-Material-on-Metal-Islands Structures Revealed by Thermal Cycling. Micromachines, 16(12), 1385. https://doi.org/10.3390/mi16121385

