Analysis of Key Factors Affecting the Sensitivity of Dual-Backplate Capacitive MEMS Microphones
Abstract
1. Introduction
2. Device and LPM Modeling
2.1. Dual-Backplate Microphone Structure
2.2. Membrane Model
2.3. Lumped Parameter Modeling
3. Finite Element Simulation and Experiment
3.1. Finite Element Simulation
3.2. Experiment
3.3. Sensitivity Determinant Characterization
3.3.1. Backplate Perforation Density
3.3.2. Membrane Tension
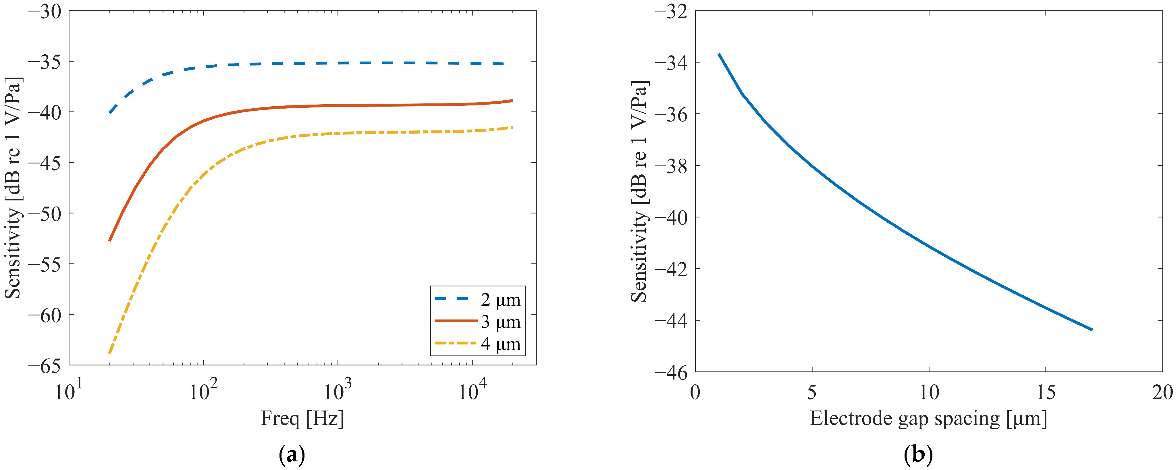
3.3.3. Electrode Gap Spacing
4. Conclusions
Author Contributions
Funding
Data Availability Statement
Conflicts of Interest
Abbreviations
| pd | Sound pressure acting on the membrane |
| aa | The radius of membrane |
| D | The membrane’s flexural rigidity |
| E | Young’s modulus |
| ν | Poisson’s ratio |
| hm | The membrane thickness |
| pin | Equivalent voltage (Incident Sound Pressure) |
| qd | Volume velocity |
| Ra,h | The acoustic resistance of the vent |
| Ma,h | The acoustic mass |
| Ca,fv | The acoustic compliance of the front cavity |
| Ca,bv | The acoustic compliance of the rear cavity |
| Ra,bh | The backplate hole resistance |
| Ra,g | The squeeze-film damping |
| Ma,m | The membrane’s equivalent acoustic mass |
| Ca,m | The membrane’s equivalent acoustic compliance |
| n | Electro-acoustic conversion coefficient |
| Vout | The output voltage of the microphone |
| w | Angular frequency |
| ρ0 | The density of air |
| c0 | The speed of sound in air |
| aa,h | The radius of the vent |
| μ | The kinematic viscosity of air |
| La,h | The length of the vent |
| hbp | The thickness of the backplate |
| nh | The number of backplate holes |
| rh | The radius of the backplate holes |
| x0 | The initial distance between the membrane and the backplate |
| Ar | The perforation ratio of the backplate |
| Va,fv | The volume of the front cavity |
| Va,bv | The volume of the rear cavity |
| S | The effective area of the membrane |
| Mm,m | The effective mass of the membrane |
| VB | The bias voltage |
| C1 | Capacitors 1 |
| C2 | Capacitors 2 |
| Vout1 | The voltage outputs of the top capacitors in FEM |
| Vout2 | The voltage outputs of the bottom capacitors in FEM |
| dh | Diameter of the vent |
| rfv | Diameter of the front cavity |
| hfv | Length of the front cavity |
| av | Length of the rear cavity |
| bv | Width of the rear cavity |
| hv | Height of the rear cavity |
References
- Gabrielson, T.B. Mechanical-thermal noise in micromachined acoustic and vibration sensors. IEEE Trans. Electron. Devices 1993, 40, 903–909. [Google Scholar] [CrossRef]
- Senturia, S.D. Microsystem Design; Springer: Greer, SC, USA, 2002. [Google Scholar]
- Esteves, J.; Rufer, L.; Ekeom, D.; Basrour, S. Lumped-parameters equivalent circuit for condenser microphones modeling. J. Acoust. Soc. Am. 2017, 142, 2121–2132. [Google Scholar] [CrossRef] [PubMed]
- Timoshenko, S.; Woinowsky-Krieger, S. Theory of Plates and Shells; McGraw-Hill: Columbus, OH, USA, 1959. [Google Scholar]
- Du, H.; Bogue, R. MEMS sensors: Past, present and future. Sens. Rev. 2007, 27, 7–13. [Google Scholar] [CrossRef]
- Hopcroft, M.A.; Nix, W.D.; Kenny, T.W. What is the Young’s modulus of silicon? J. Microelectromech. Syst. 2010, 19, 229–238. [Google Scholar] [CrossRef]
- Somà, A.; Ballestra, A. Residual stress measurement method in MEMS microbeams using frequency shift data. J. Micromech. Microeng. 2009, 19, 095023. [Google Scholar] [CrossRef]
- Sheplak, M. Large deflections of clamped circular plates under initial tension and transitions to membrane behavior. J. Appl. Mech. 1997, 64, 861–869. [Google Scholar] [CrossRef]
- Kressmann, R.; Klaiber, M.; Hess, G. Silicon condenser microphones with corrugated silicon oxide/nitride electret membranes. Sens. Actuators A Phys. 2002, 100, 301–309. [Google Scholar] [CrossRef]
- Zheng, Z.; Wang, C.; Wang, L.; Ji, Z.; Song, X.; Mak, P.-I.; Liu, H.; Wang, Y. Micro-Electro-Mechanical Systems Microphones: A Brief Review Emphasizing Recent Advances in Audible Spectrum Applications. Micromachines 2024, 15, 352. [Google Scholar] [CrossRef] [PubMed]
- Czarny, J.; Walther, A.; Desloges, B.; Robert, P.; Redon, E.; Verdot, T.; Ege, K.; Guianvarc’h, C.; Guyader, J.L. New architecture of MEMS microphone for enhanced performances. In Proceedings of the International Semiconductor Conference Dresden—Grenoble (ISCDG), Dresden, Germany, 26–27 September 2013; pp. 1–4. [Google Scholar] [CrossRef]
- Dengiz, N. Improved MEMS microphone frequency response through design-optimization. J. Smart Syst. Res. 2023, 4, 119–126. [Google Scholar] [CrossRef]
- Nademi, N.; Karamdel, J.; Ganji, B.A. A new method to increase MEMS microphone sensitivity using small circular diaphragm with fixed center. Microsyst. Technol. 2017, 24, 1425–1431. [Google Scholar] [CrossRef]
- Martin, D.T.; Liu, J.; Kadirvel, K.; Fox, R.M.; Sheplak, M.; Nishida, T. A micromachined dual-backplate capacitive microphone for aeroacoustic measurements. J. Microelectromech. Syst. 2007, 16, 1289–1302. [Google Scholar] [CrossRef]
- Sun, C.; Sang, J.; Duanmu, Z.; Liu, B.; Li, X. Sensitivity analysis for dual-membrane capacitive MEMS microphone. IEEE Sens. J. 2024, 24, 24. [Google Scholar] [CrossRef]
- Cho, C.-H. Characterization of young’s modulus of silicon versus temperature using a ‘beam deflection’ method with a four-point bending fixture. Curr. Appl. Phys. 2009, 9, 538–545. [Google Scholar] [CrossRef]











| Symbol | Description | Value | Unit |
|---|---|---|---|
| Ra,h | Acoustic resistance of the vent | 0.6 × 106~19 × 106 (20 Hz–20 kHz) | N·s/m5 |
| Ma,h | Acoustic mass of the vent | 2.87 × 103 | kg/m4 |
| Ca,fv | Compliance of the front cavity | 1.28 × 10−15 | m5/N |
| Ra,bh | Acoustic resistance of the backplate holes | 2.79 × 106 | N·s/m5 |
| Ra,g | squeeze-film damping | 2.48 × 109 | N·s/m5 |
| Ma,m | Acoustic mass of the membrane | 1.36 × 104 | kg/m4 |
| Ca,m | Compliance of the membrane | 1.02 × 10−15 | m5/N |
| Ca,bv | Compliance of the rear cavity | 2.75 × 10−14 | m5/N |
| pin | Sound pressure input | 1.00 | Pa |
| D | Flexural rigidity of the membrane | 4.55 × 10−7 | N·m |
| n | Electro-acoustic conversion coefficient | 1.37 × 10−2 |
| Symbol | Description | Value | Unit |
|---|---|---|---|
| aa | Radius of membrane | 1.0 | mm |
| hm | Membrane thickness | 2.0 | µm |
| hbp | Backplate thickness | 2.0 | µm |
| x0 | Electrode gap spacing | 2.4 | µm |
| dh | Diameter of the vent | 0.66 | mm |
| La,h | Length of vent | 0.25 | mm |
| rfv | Diameter of the front cavity | 0.88 | mm |
| hfv | Length of the front cavity | 0.3 | mm |
| rh | Radius of the backplate holes | 45 | µm |
| av | Length of the rear cavity | 3.0 | mm |
| bv | Width of the rear cavity | 2.2 | mm |
| hv | Height of the rear cavity | 0.62 | mm |
| Symbol | Description | Membrane | Backplate | Unit |
|---|---|---|---|---|
| ρ | Density | 2300 | 8300 | kg/m3 |
| E | Young’s modulus | 168 | 221 | GPa |
| ν | Poisson’s ratio | 0.2 | 0.3 |
Disclaimer/Publisher’s Note: The statements, opinions and data contained in all publications are solely those of the individual author(s) and contributor(s) and not of MDPI and/or the editor(s). MDPI and/or the editor(s) disclaim responsibility for any injury to people or property resulting from any ideas, methods, instructions or products referred to in the content. |
© 2025 by the authors. Licensee MDPI, Basel, Switzerland. This article is an open access article distributed under the terms and conditions of the Creative Commons Attribution (CC BY) license (https://creativecommons.org/licenses/by/4.0/).
Share and Cite
Sun, C.; Liu, H.; Kang, L.; Liu, B. Analysis of Key Factors Affecting the Sensitivity of Dual-Backplate Capacitive MEMS Microphones. Micromachines 2025, 16, 1154. https://doi.org/10.3390/mi16101154
Sun C, Liu H, Kang L, Liu B. Analysis of Key Factors Affecting the Sensitivity of Dual-Backplate Capacitive MEMS Microphones. Micromachines. 2025; 16(10):1154. https://doi.org/10.3390/mi16101154
Chicago/Turabian StyleSun, Chengpu, Haosheng Liu, Ludi Kang, and Bilong Liu. 2025. "Analysis of Key Factors Affecting the Sensitivity of Dual-Backplate Capacitive MEMS Microphones" Micromachines 16, no. 10: 1154. https://doi.org/10.3390/mi16101154
APA StyleSun, C., Liu, H., Kang, L., & Liu, B. (2025). Analysis of Key Factors Affecting the Sensitivity of Dual-Backplate Capacitive MEMS Microphones. Micromachines, 16(10), 1154. https://doi.org/10.3390/mi16101154
