Vibration Identification of Folded-MEMS Comb Drive Resonators
Abstract
1. Introduction
2. Equation of Motion
3. Primary Frequency Response
3.1. Solution Procedure
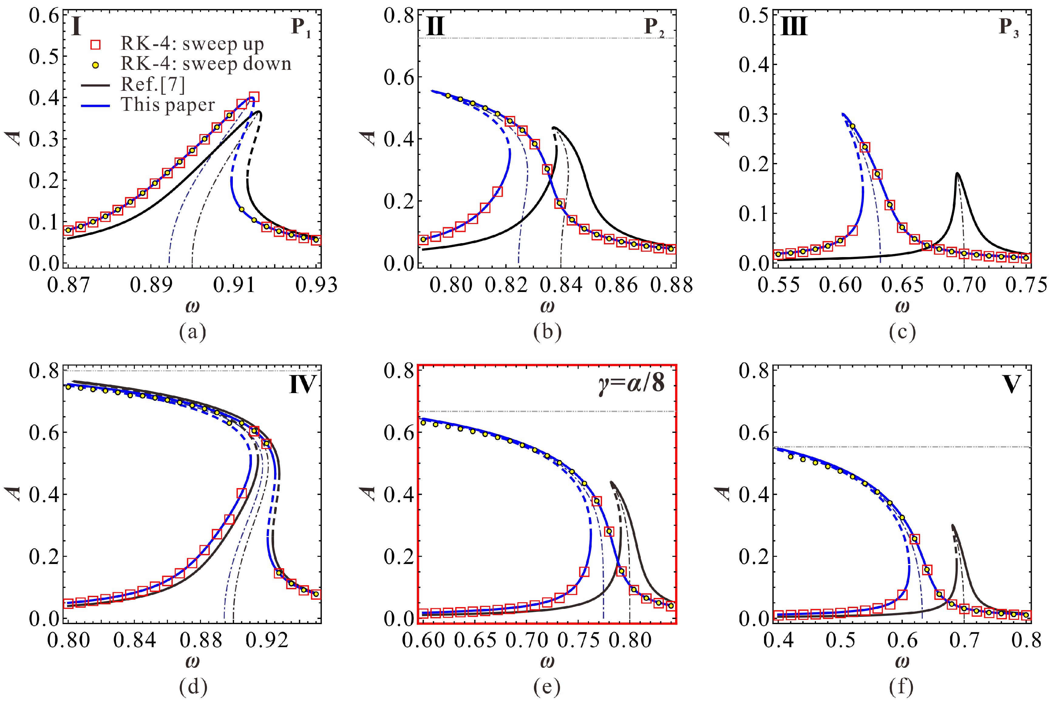
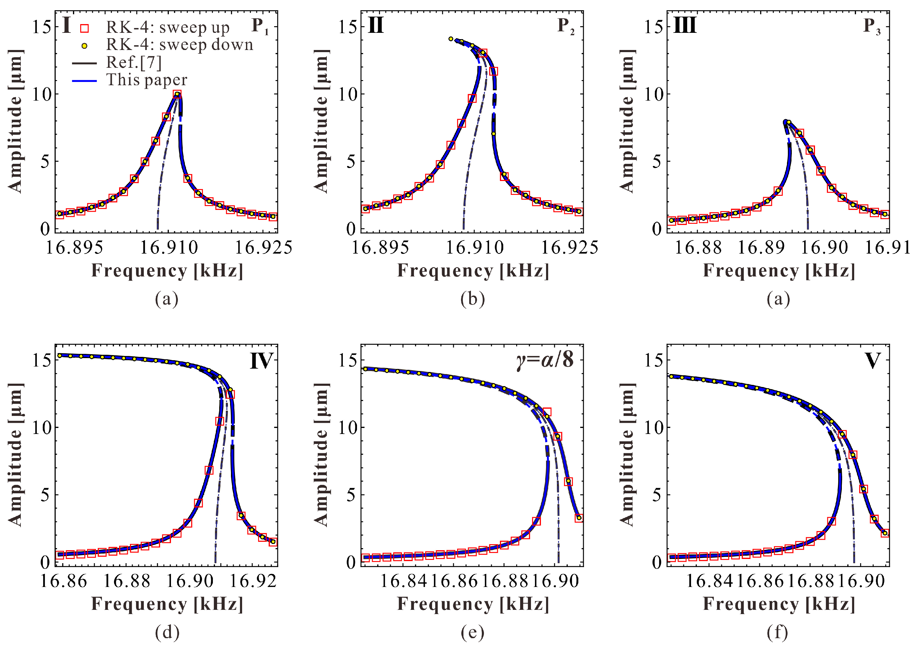
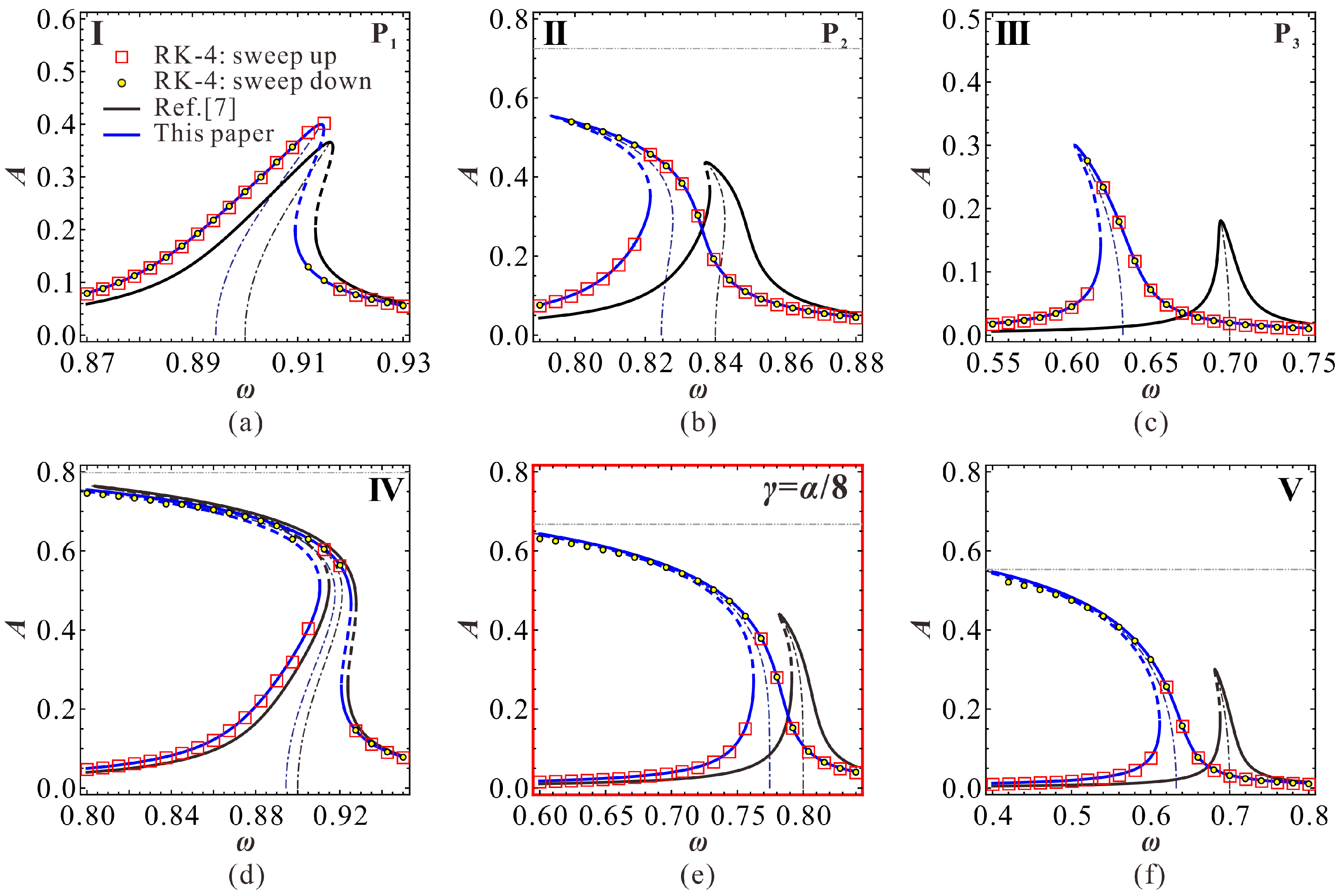
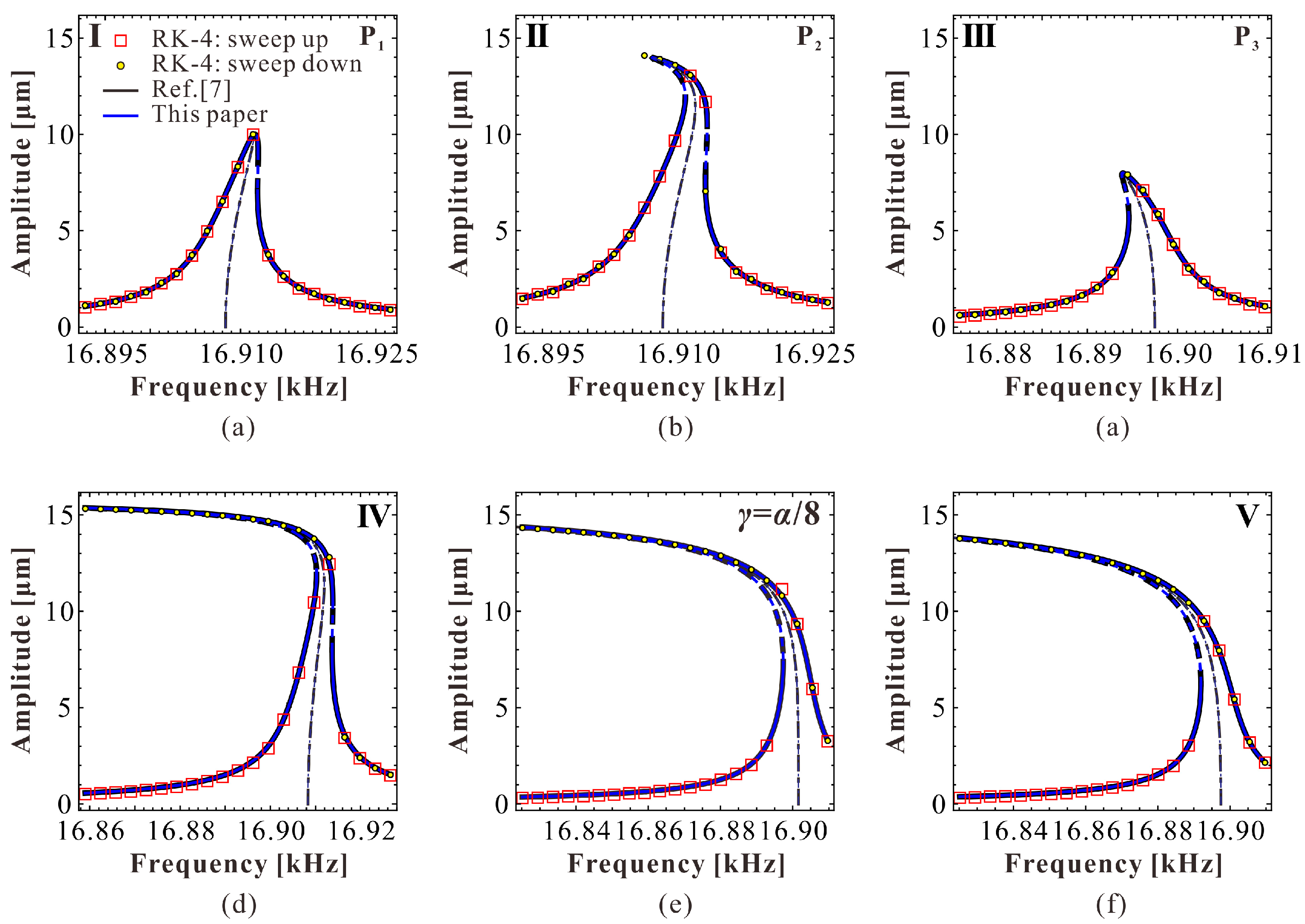
3.2. Theoretical Results
- The number of extreme points in the system and its/their evolution properties;
- The bending property of the backbone curve, such as hardening, softening, or mixed vibration;
- The specific location of the extreme point, which can total reflect the vibration type of the resonator.
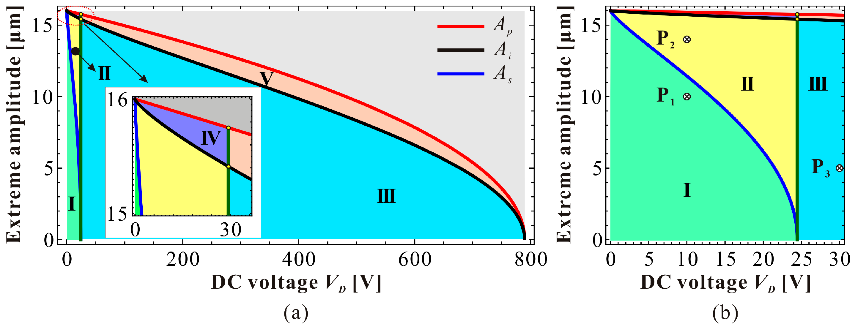
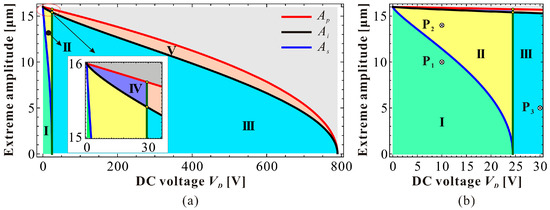
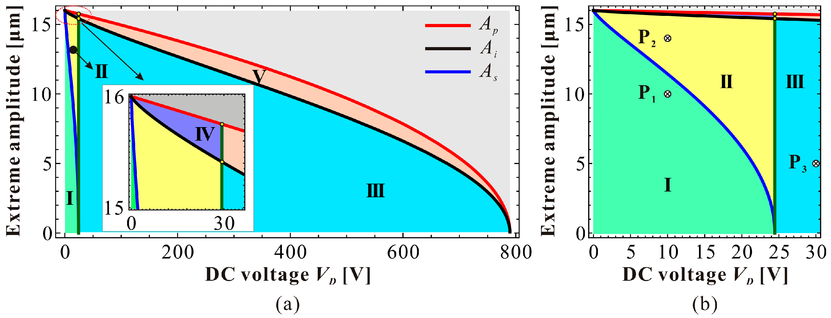
4. Vibration Identification
4.1. Nondimensional Analysis
4.2. Dimensional Analysis
5. Discussions and Conclusions
5.1. Discussions
5.2. Conclusions
Author Contributions
Funding
Acknowledgments
Conflicts of Interest
Appendix A
References
- Younis, M.I. MEMS Linear and Nonlinear Statics and Dynamics; Springer: New York, NY, USA, 2011. [Google Scholar]
- Khirallah, K. Parametric excitation, amplification, and tuning of MEMS folded-beam comb drive oscillator. J. Microelectromech. Syst. 2013, 22, 318–330. [Google Scholar] [CrossRef]
- Nayfeh, A.H.; Younis, M.I.; Abdel-Rahman, E.M. Dynamic pull-in phenomenon in MEMS resonators. Nonlinear Dyn. 2007, 48, 153–163. [Google Scholar] [CrossRef]
- Krylov, S.; Harari, I.; Cohen, Y. Stabilization of electrostatically actuated microstructures using parametric excitation. J. Micromech. Microeng. 2005, 15, 1188–1204. [Google Scholar] [CrossRef]
- Zhang, W.; Baskaran, R.; Turner, K. Tuning the dynamic behavior of parametric resonance in a micromechanical oscillator. Appl. Phys. Lett. 2003, 82, 130–132. [Google Scholar] [CrossRef]
- Grade, J.D.; Jerman, H.; Kenny, T.W. Design of large deflection electrostatic actuators. J. Microelectromech. Syst. 2003, 12, 335–343. [Google Scholar] [CrossRef]
- Elshurafa, A.M.; Khirallah, K.; Tawfik, H.H.; Emira, A.; Abdel Aziz, A.K.S.; Sedky, S.M. Nonlinear dynamics of spring softening and hardening in folded-mems comb drive resonators. J. Microelectromech. Syst. 2011, 20, 943–958. [Google Scholar] [CrossRef]
- Shmulevich, S.; Elata, D. Dynamically balanced folded-beam suspensions for resonators. J. Microelectromech. Syst. 2015, 24, 1965–1972. [Google Scholar] [CrossRef]
- Hassanpour, P.A.; Esmailzadeh, E.; Cleghorn, W.L.; Mills, J.K. Nonlinear vibration of micromachined asymmetric resonators. J. Sound Vib. 2010, 329, 2547–2564. [Google Scholar] [CrossRef]
- Wang, Y.C.; Adams, S.G.; Thorp, J.S.; Macdonald, N.C.; Hartwell, P.; Bertsch, F. Chaos in MEMS, parameter estimation and its potential application. IEEE Trans. Circuits Syst. I Fundam. Theory Appl. 1998, 45, 1013–1020. [Google Scholar] [CrossRef]
- Zhang, W.H.; Baskaran, R.; Turner, K.L. Effect of cubic nonlinearity on auto-parametrically amplified resonant MEMS mass sensor. Sens. Actuators A Phys. 2002, 102, 139–150. [Google Scholar] [CrossRef]
- Rhoads, J.F.; Shaw, S.W.; Turner, K.L.; Moehlis, J.; Demartini, B.E.; Zhang, W. Generalized parametric resonance in electrostatically actuated microelectromechanical oscillators. J. Sound Vib. 2006, 296, 797–829. [Google Scholar] [CrossRef]
- DeMartini, B.E.; Butterfield, H.E.; Moehlis, J.; Turner, K.L. Chaos for a microelectromechanical oscillator governed by the nonlinear Mathieu equation. J. Microelectromech. Syst. 2007, 16, 1314–1323. [Google Scholar] [CrossRef]
- DeMartini, B.E.; Rhoads, J.F.; Tutner, K.L.; Shaw, S.W.; Moehlis, J. Linear and nonlinear tuning of parametrically excited MEMS oscillators. J. Microelectromech. Syst. 2007, 16, 310–318. [Google Scholar] [CrossRef]
- Braghin, F.; Resta, F.; Leo, E.; Spinola, G. Nonlinear dynamics of vibrating MEMS. Sens. Actuators A Phys. 2007, 134, 98–108. [Google Scholar] [CrossRef]
- Ramanan, A.; Yu, T.; Ma, W.; Ye, W. Characterization of a laterally oscillating microresonator operating in the nonlinear region. Micromachines 2016, 7, 132. [Google Scholar] [CrossRef]
- Li, L.; Zhang, Q.C.; Wang, W.; Han, J.X. Bifurcation control of an electrostatically-actuated MEMS actuator with time-delay feedback. Micromachines 2016, 7, 177. [Google Scholar] [CrossRef]
- Olfatnia, M.; Sood, S.; Gorman, J.J.; Awtar, S. Large stroke electrostatic comb-drive actuators enabled by a novel flexure mechanism. J. Microelectromech. Syst. 2013, 22, 483–494. [Google Scholar] [CrossRef]
- Droogendijk, H.; Boer, M.J.D.; Sanders, R.G.P.; Krijnen, G.J.M. Stochastic resonance in a voltage-controlled micromechanical sider. J. Microelectromech. Syst. 2015, 24, 651–660. [Google Scholar] [CrossRef]
- Zhong, Z.Y.; Zhang, W.M.; Meng, G.; Wu, J. Inclination effects on the frequency tuning of comb-driven resonators. J. Microelectromech. Syst. 2013, 22, 865–875. [Google Scholar] [CrossRef]
- Guo, C.; Fedder, G.K. A quadratic-shaped-finger comb parametric resonator. J. Micromech. Microeng. 2013, 23, 095007. [Google Scholar] [CrossRef]
- Yeh, J.L.A.; Hui, C.Y.; Tien, N.C. Electrostatic model for an asymmetric comb drive. J. Microelectromech. Syst. 2000, 9, 126–135. [Google Scholar] [CrossRef]
- Nguyen, C.T.C.; Howe, R.T. An integrated CMOS micromechanical resonator high-Q oscillator. IEEE J. Solid-State Circuits 1999, 34, 440–455. [Google Scholar] [CrossRef]
- Han, J.X.; Zhang, Q.C.; Wang, W. Static bifurcation and primary resonance analysis of a MEMS resonator actuated by two symmetrical electrodes. Nonlinear Dyn. 2015, 80, 1585–1599. [Google Scholar] [CrossRef]
- Han, J.X.; Jin, G.; Zhang, Q.C.; Wang, W.; Li, B.Z.; Qi, H.J.; Feng, J.J. Dynamic evolution of a primary resonance MEMS resonator under prebuckling pattern. Nonlinear Dyn. 2018, 1–22. [Google Scholar] [CrossRef]
- Cacan, M.R.; Leadenham, S.; Leamy, M.J. An enriched multiple scales method for harmonically forced nonlinear systems. Nonlinear Dyn. 2014, 78, 1205–1220. [Google Scholar] [CrossRef]
- Azizi, S.; Ghazavi, M.R.; Khadem, S.E.; Rezazadeh, G.; Cetinkaya, C. Application of piezoelectric actuation to regularize the chaotic response of an electrostatically actuated micro-beam. Nonlinear Dyn. 2013, 73, 853–867. [Google Scholar] [CrossRef]
- Younesian, D.; Sadri, M.; Esmailzadeh, E. Primary and secondary resonance analyses of clamped-clamped micro-beams. Nonlinear Dyn. 2014, 76, 1867–1884. [Google Scholar] [CrossRef]
- Han, J.X.; Qi, H.J.; Jin, G.; Li, B.Z.; Feng, J.J.; Zhang, Q.C. Mechanical behaviors of electrostatic microresonators with initial offset imperfection: Qualitative analysis via time-varying capacitors. Nonlinear Dyn. 2017, 91, 1–27. [Google Scholar] [CrossRef]
- Nayfeh, A.H.; Mook, D.T. Nonlinear Oscillations; John Wiley & Sons: New York, NY, USA, 2008. [Google Scholar]














| Parameters | Values |
|---|---|
| Mass, m | 5.73 × 10−11 |
| Quality factor, Q | 5000 |
| Beam length, L (μm) | 185.3 |
| Beam width, W (μm) | 1.9 |
| Initial overlap, l (μm) | 20 |
| Finger gap spacing, d (μm) | 2 |
| Structure thickness, h (μm) | 2 |
| Finger width, w (μm) | 2 |
| Initial lateral spacing, x0 (μm) | 16 |
| Young’s modulus, E (Gpa) | 150 |
| The dielectric constant, ε0 (F/m) | 8.85 × 10−12 |
| The total number of fingers N | 60 |
© 2018 by the authors. Licensee MDPI, Basel, Switzerland. This article is an open access article distributed under the terms and conditions of the Creative Commons Attribution (CC BY) license (http://creativecommons.org/licenses/by/4.0/).
Share and Cite
Han, J.; Li, L.; Jin, G.; Feng, J.; Li, B.; Jia, H.; Ma, W. Vibration Identification of Folded-MEMS Comb Drive Resonators. Micromachines 2018, 9, 381. https://doi.org/10.3390/mi9080381
Han J, Li L, Jin G, Feng J, Li B, Jia H, Ma W. Vibration Identification of Folded-MEMS Comb Drive Resonators. Micromachines. 2018; 9(8):381. https://doi.org/10.3390/mi9080381
Chicago/Turabian StyleHan, Jianxin, Lei Li, Gang Jin, Jingjing Feng, Baizhou Li, Haili Jia, and Wenkui Ma. 2018. "Vibration Identification of Folded-MEMS Comb Drive Resonators" Micromachines 9, no. 8: 381. https://doi.org/10.3390/mi9080381
APA StyleHan, J., Li, L., Jin, G., Feng, J., Li, B., Jia, H., & Ma, W. (2018). Vibration Identification of Folded-MEMS Comb Drive Resonators. Micromachines, 9(8), 381. https://doi.org/10.3390/mi9080381

