Design and Analysis of a Silicon-Based Pattern Reconfigurable Antenna Employing an Active Element Pattern Method
Abstract
:1. Introduction
2. Design of the Pattern Reconfigurable Antenna
2.1. Antenna Design
2.2. RF MEMS Switch Design
3. Theory Analysis of Pattern Reconfigurations
4. Fabrication, Measurement, and Results
4.1. Fabrication
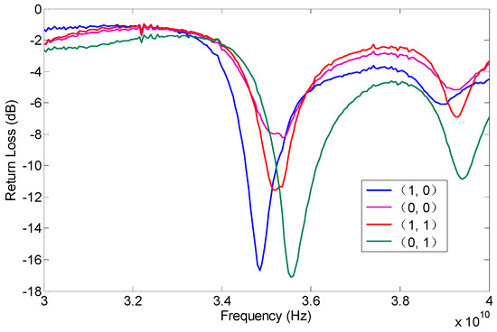
4.2. Measurement and Results
5. Conclusions
Acknowledgments
Author Contributions
Conflicts of Interest
References
- Park, Z.; Lin, J. A beam-steering broadband microstrip antenna for noncontact vital sign detection. IEEE Antennas Wirel. Propag. Lett. 2011, 10, 235–238. [Google Scholar] [CrossRef]
- Palma, L.D.; Clemente, A.; Dussopt, L.; Sauleau, R.; Potier, P.; Pouliguen, P. 1-bit reconfigurable unit cell for Ka-band transmitarrays. IEEE Antennas Wirel. Propag. Lett. 2016, 15, 560–563. [Google Scholar] [CrossRef]
- Ayoub, F.N.; Tawk, Y.; Woehrle, C.; Costantine, J.; Christodoulou, C.G. Reconfigurable cyclical patch antenna. In Proceedings of the 2015 IEEE International Symposium on Antennas and Propagation & USNC/URSI National Radio Science Meeting, Vancouver, BC, Canada, 19–24 July 2015; pp. 2249–2250.
- Ratajczak, P.; Brachat, P.; Fargeas, J.M.; Baracco, J.M.; Toso, G. C-band and Ka-band reconfigurable planar reflectors. In Proceedings of the 2012 6th European Conference on Antennas and Propagation (EUCAP), Prague, Czech Republic, 26–30 March 2012; pp. 2618–2622.
- Sánchez-Escuderos, D.; Ferrando-Bataller, M.; Baquero-Escudero, M.; Herranz-Herruzo, J.I. Pattern reconfigurable Ka-band slot-array antenna using RF-MEMS. In Proceedings of the 2010 IEEE Antennas and Propagation Society International Symposium, Toronto, ON, Canada, 11–17 July 2010; pp. 1–4.
- Luther, J.J.; Ebadi, S.; Gong, X. Single-layer design of microstrip patch Electrically-Steerable Parasitic Array Radiator (ESPAR) with integrated DC isolation. In Proceedings of the 2012 IEEE MTT-S International Conference on Microwave Symposium Digest (MTT), Montreal, QC, Canada, 17–22 June 2012; pp. 1–3.
- Luther, J.J.; Ebadi, S.; Gong, X. A low-cost 2 2 planar array of three-element microstrip Electrically Steerable Parasitic Array Radiator (ESPAR) subcells. IEEE Trans. Microw. Theory Tech. 2014, 62, 2325–2336. [Google Scholar] [CrossRef]
- Rebeiz, G.M. RF MEMS: Theory, Design, and Technology; John Wiley & Sons: Hoboken, NJ, USA, 2004. [Google Scholar]
- Zhou, L.; Sharma, S.K.; Kassegne, S.K. Reconfigurable microstrip rectangular loop antennas using RF MEMS switches. Microw. Opt. Technol. Lett. 2008, 50, 252–256. [Google Scholar] [CrossRef]
- Al-alaa, M.A.; Elsadek, H.A.; Abdallah, E.A.; Hashish, E.A. Pattern and frequency reconfigurable monopole disc antenna using PIN diodes and MEMS switches. Microw. Opt. Technol. Lett. 2014, 56, 187–195. [Google Scholar] [CrossRef]
- Rajagopalan, H.; Kovitz, J.M.; Rahmat-Samii, Y. MEMS reconfigurable optimized e-shaped patch antenna design for cognitive radio. IEEE Trans. Antennas Propag. 2014, 62, 1056–1064. [Google Scholar] [CrossRef]
- Kovitz, J.M.; Rajagopalan, H.; Rahmat-Samii, Y. Design and implementation of broadband MEMS RHCP/LHCP reconfigurable arrays using rotated E-shaped patch elements. IEEE Trans. Antennas Propag. 2015, 63, 2497–2507. [Google Scholar] [CrossRef]
- Balakumaran, T.; Sasidharan, D. Design of Microstrip Patch Antenna Array Using Parasitic Coupling. Available online: http://research.ijcaonline.org/ncict2015/number1/ncict1540.pdf (accessed on 20 December 2016).
- Petit, L.; Dussopt, L.; Laheurte, J.M. MEMS-switched parasitic-antenna array for radiation pattern diversity. IEEE Trans. Antennas Propag. 2006, 54, 2624–2631. [Google Scholar] [CrossRef]
- Pozar, D.M. A relation between the active input impedance and the active element pattern of a phased array. IEEE Trans. Antennas Propag. 2003, 51, 2486–2489. [Google Scholar] [CrossRef]
- Pozar, D.M. The active element pattern. IEEE Trans. Antennas Propag. 1994, 42, 1176–1178. [Google Scholar] [CrossRef]
- Poussot, B.; Kannappan, K.; Lissorgues, G.; Laheurte, J.M.; Picon, O. MEMS-based reconfigurable antenna for Ka band applications. In Proceedings of the Second European Conference on Antennas and Propagation, Edinburgh, UK, 11–16 November 2007; pp. 1–4.
- Zhang, Z.L.; Wu, B. Radiation pattern reconfigurable antenna using double layer tunable graphene superstrate. In Proceedings of the 2015 Asia-Pacific Microwave Conference (APMC), Nanjing, China, 6–9 December 2015; pp. 1–3.









| Symbol | Value (μm) | Symbol | Value (μm) | Symbol | Value (μm) |
|---|---|---|---|---|---|
| 2460 | 383 | 500 | |||
| 1000 | 400 | 300 | |||
| 2100 | 580 | 600 | |||
| 130 | 900 | 300 | |||
| 1300 | 518 | - | - |
| Mode | Description | Main Lobe Direction (φ = 90°) | Reconfigurable Radiating Pattern |
|---|---|---|---|
| (1,0) | Only left switch in the up state | θ = −20.2 | left |
| (0,0) | Double switches in the up state | θ = −0.2 | middle |
| (1,1) | Double switches in the down state | θ = −0.2 | middle |
| (0,1) | Only right switch in the up state | θ = 20.5 | right |
| Symbol | Value | Symbol | Value | Symbol | Value | Symbol | Value |
|---|---|---|---|---|---|---|---|
| 90 μm | 340 μm | 8 μm | 46° |
| Switch State | (0,0) | (0,1) | (1,0) | (1,1) |
|---|---|---|---|---|
| (Z2, Z3) Ω | (j98, j98) | (j97.5, j30.7) | (j30.7, j97.5) | (j30.7, j30.7) |
| Available Literatures | [4] | [5] | [2] | [18] | This Study |
|---|---|---|---|---|---|
| Reconfigurable means | MEMS switches | MEMS switches | PIN diodes | Tunable Graphene Superstrate | MEMS switches |
| Antenna type | patch | slot-array | Double Layer patch | Double Layer | patch |
| Operating frequency (GHz) | 34.8 | 30 | 27.5 | 30 | 35 |
| Reconfigurable angles (°) | 60 | 13 | 45 | About 30 | 40 |
| Block volume (mm3) | About 500 × 500 × 2 | About 7.112 × 3.556 × 40 | 5.1 × 5.1 × 1.274 | 16 × 16 × 10.3 | 3.7 × 4.4 × 0.4 |
© 2017 by the authors. Licensee MDPI, Basel, Switzerland. This article is an open access article distributed under the terms and conditions of the Creative Commons Attribution (CC-BY) license ( http://creativecommons.org/licenses/by/4.0/).
Share and Cite
Han, K.; Deng, Z.; Guo, X. Design and Analysis of a Silicon-Based Pattern Reconfigurable Antenna Employing an Active Element Pattern Method. Micromachines 2017, 8, 11. https://doi.org/10.3390/mi8010011
Han K, Deng Z, Guo X. Design and Analysis of a Silicon-Based Pattern Reconfigurable Antenna Employing an Active Element Pattern Method. Micromachines. 2017; 8(1):11. https://doi.org/10.3390/mi8010011
Chicago/Turabian StyleHan, Ke, Zhongliang Deng, and Xubing Guo. 2017. "Design and Analysis of a Silicon-Based Pattern Reconfigurable Antenna Employing an Active Element Pattern Method" Micromachines 8, no. 1: 11. https://doi.org/10.3390/mi8010011
APA StyleHan, K., Deng, Z., & Guo, X. (2017). Design and Analysis of a Silicon-Based Pattern Reconfigurable Antenna Employing an Active Element Pattern Method. Micromachines, 8(1), 11. https://doi.org/10.3390/mi8010011

