Design and Performance Analysis of Capacitive Micromachined Ultrasonic Transducer Linear Array
Abstract
:1. Introduction
2. MEMS Capacitive Ultrasonic Transducer and Linear Array Design


3. CMUT Array Element and Linear Array Directivity Analysis
3.1. CMUT Array Element Directivity Analysis


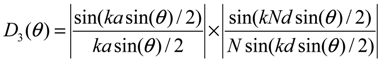
3.2. CMUT Linear Array Directivity Analysis


4. CMUT Linear Array Sidelobe Reduction Method and Implementation

5. Conclusions
Acknowledgments
Author Contributions
Conflicts of Interests
References
- Jia, B.X.; Bian, W.F.; Zhao, W.S.; Wang, Z.L. Application and development of piezoelectric ultrasonic transducers. Piezoelectrics Acoustooptics 2004, 27, 131–135. (In Chinese) [Google Scholar]
- Wen, J.Q.; Liu, M.L. PZT thick film and high frequency ultrasonic transducer. Tech. Acoust. 2010, 29, 74–80. (In Chinese) [Google Scholar]
- Wang, C.; Wang, Z.; Ren, T.L.; Zhu, Y.; Yang, Y.; Wu, X.; Liu, L. A micromachined piezoelectric ultrasonic transducer operating in d33 mode using square interdigital electrodes. IEEE Sens. J. 2007, 7, 967–976. [Google Scholar]
- Wang, Z.; Wang, C.; Liu, L. Design and analysis of a PZT-based micromachined acoustic transducer with increased sensitivity. IEEE Trans. Ultrason. Ferroelectr. Freq. Control 2005, 52, 1840–1850. [Google Scholar] [CrossRef]
- Muralt, P.; Ledermann, N.; Baborowski, J.; Barzegar, A.; Gentil, S.; Belgacem, B.; Petitgrand, S.; Bosseboeuf, A.; Setter, N. Piezoelectric micromachined transducers based on PZT thin films. IEEE Trans. Ultrason. Ferroelectr. Freq. Control 2005, 52, 2276–2288. [Google Scholar] [CrossRef]
- Muralt, P.; Baborowski, J. Micromachined ultrasonic transducers and acoustic transducers based on piezoelectric thin films. J. Electroceramics 2004, 12, 101–108. [Google Scholar] [CrossRef]
- Wang, Z.; Zhu, W.; Zhu, H.; Miao, J.; Chao, C.; Zhao, C.; Tan, O.K. Fabrication and characterization of piezoelectric micromachined ultrasonic transducers with thick composite PZT films. IEEE Trans. Ultrason. Ferroelectr. Freq. Control 2005, 52, 2289–2297. [Google Scholar] [CrossRef]
- Wang, Z.H.; Zhu, W.G.; Miao, J.M.; Zhu, H.; Chao, C.; Tan, O.K. Micromachined Thick Film Piezoelectric Ultrasonic Transducer Array. In Proceedings of the 13th Intemational Conference on Solid-State Sensors, Actuators and Microsystems, Seoul, Korea, 5–9 June 2005; pp. 883–886.
- Eccardt, P.C.; Niederer, K.; Scheiter, T.; Hierold, C. Surface Micromachined Ultrasound Transducers in CMOS Technology. In Proceedings of the 1996 IEEE Ultrasonic Symposium, San Antonio, TE, USA, 3–6 November 1996; pp. 959–962.
- Eccardt, P.C.; Niederer, K.; Fischer, B. Micromachined Transducers for Ultrasonic Applications. In Proceedings of the 1997 IEEE Ultrasonic Symposium, Toronto, Canada, 5–8 October 1997; pp. 1609–1618.
- Mills, D.M.; Smith, L.S. Real Time in-vivo Imaging with Capacitive Micromachined Ultrasonic Transducer (cMUT) Linear Arrays. In Proceedings of the 2003 IEEE Ultrasonic Symposium, Honolulu, HA, USA, 5–8 October 2003; pp. 568–571.
- Ergun, A.S.; Johnson, J.A.; Karaman, M.; Demirci, U.; Kaviani, K.; Khuri-Yakub, B.T. Capacitive micromachined ultrasonic transducers: Next-generation arrays for acoustic imaging? IEEE Trans. Ultrason. Ferroelectr. Freq. Control 2002, 49, 1596–1610. [Google Scholar] [CrossRef]
- Ladabaum, I.; Jin, X.; Soh, H.T.; Atalar, A.; Khuri-Yakub, B.T. Surface micromachined capacitive ultrasonic transducers. IEEE Trans. Ultrason. Ferroelectr. Freq. Control 1998, 45, 678–690. [Google Scholar] [CrossRef]
- Ergun, A.S.; Yaralioslu, G.G.; Khuri-Yakub, B.T. Capacitive micromachined ultrasonic Transducers: Theory and technology. J. Aerosp. Eng. 2003, 16, 76–84. [Google Scholar] [CrossRef]
- Suzuki, K.; Higuchi, K.; Tanigawa, H. A silicon electrostatic ultrasonic transducer. IEEE Trans. Ultrason. Ferroelectr. Freq. Control 1989, 36, 620–627. [Google Scholar] [CrossRef]
- Haller, M.I.; Khuri-Yakub, B.T. A surface micromachined electrostatic ultrasonic air transducer. IEEE Trans. Ultrason. Ferroelectr. Freq. Control 1996, 43, 1–6. [Google Scholar] [CrossRef]
- Hansen, S.T.; Mossawir, B.J.; Sanli Ergun, A.; Degertekin, F.; Khuri-Yakub, B.T. Air-Coupled Nondestructive Evaluation Using Micromachined Ultrasonic Transducers. In Proceedings of the 1999 IEEE Ultrasonics Symposium, Lake Tahoe, NV, USA, 17–20 October 1999; pp. 1037–1040.
- Johnson, J.; Oralkan, Ö.; Demirci, U.; Ergun, S.; Karaman, M.; Khuri-Yakub, P. Medical imaging using capacitive micromachined ultrasonic transducer arrays. Ultrason. 2002, 40, 471–476. [Google Scholar] [CrossRef]
- Oralkan, O.; Ergun, A.S.; Cheng, C.H.; Johnson, J.A.; Karaman, M.; Lee, T.H.; Khuri-Yakub, B.T. Volumetric Imaging Using 2D Capacitive Micromachined Ultrasonic Transducer Arrays (CMUTs): Initial results. In Proceedings of the 2002 IEEE Ultrasonics Symposium, Munich, Germany, 8–11 October 2002; pp. 1083–1086.
- Zhuang, X.; Ergun, A.S.; Huang, Y.; Wygant, I.O.; Oralkan, O.; Khuri-Yakub, B.T. Integration of trench-isolated through-wafer interconnects with 2D capacitive micromachined ultrasonic transducer arrays. Sens. Actuators A Phys. 2007, 138, 221–229. [Google Scholar] [CrossRef]
- Zhuang, X.; Lin, D.S.; Oralkan, Ö.; Khuri-Yakub, B.T. Fabrication of flexible transducer arrays with through-wafer electrical interconnects based on trench refilling with PDMS. J. Microelectromech. Syst. 2008, 17, 446–452. [Google Scholar] [CrossRef]
- Wygant, I.O.; Jamal, N.; Lee, H.; Nikoozadeh, A.; Oralkan, O.; Karaman, M.; Khuri-Yakub, B. An integrated circuit with transmit beam forming flip-chip bonded to a 2-D CMUT array for 3-D ultrasound imaging. IEEE Trans. Ultrason. Ferroelectr. Freq. Control 2009, 56, 2145–2156. [Google Scholar] [CrossRef]
- Choe, J.W.; Oralkan, O.; Nikoozadeh, A.; Bhuyan, A.; Lee, B.C.; Gence, M.; Khuri-Yakub, B.T. Real-Time Volumetric Imaging System for CMUT Arrays. In Proceedings of the 2011 IEEE Ultrasonics Symposium, Orlando, FL, USA, 18–21 October 2011.
- Bhuyan, A.; Choe, J.W.; Lee, B.C.; Wygant, I.; Nikoozadeh, A.; Oralkan, O.; Khuri-Yakub, B.T. 3D Volumetric Ultrasound Imaging with a 32 × 32 CMUT Array Integrated with Front-End ICs Using Flip-Chip Bonding Technology. In Proceedings of the Solid-State Circuits Conference Digest of Technical Papers (ISSCC)2013 IEEE International, San Francisco, CA, USA, 17–21 February 2013; pp. 396–397.
- Kaviani, K.; Oralkan, O.; Khuri-Yakub, P.; Wooley, B.A. A multichannel pipeline analog-to-digital converter for an integrated 3-D ultrasound imaging system. IEEE J. Solid State Circuits 2003, 38, 1266–1270. [Google Scholar] [CrossRef]
- Wygant, I.O.; Karaman, M.; Oralkan, Ö.; Khuri-Yakub, B.T. Beamforming and Hardware Design for a Multichannel Front-End Integrated Circuit for Real-Time 3-D Catheter-Based Ultrasonic Imaging. In Proceedings of the SPIE 6147, Medical Imaging 2006: Ultrasonic Imaging and Signal, San Diego, CA, USA, 11 February 2006.
- Oralkan, Ö.S.; Hansen, T.; Bayram, B.; Yaralioglu, G.G.; Ergun, A.S.; Khuri-Yakub, B.T. High-Frequency CMUT Arrays for High-Resolution Medical Imaging. In Proceedings of the 2007 IEEE Ultrasonics Symposium, Montréal, Canada, 24–27 August 2004; pp. 399–402.
- Zhuang, X.; Wygant, I.O.; Lin, D.S.; Kupnik, M.; Oralkan, Ö.; Khuri-Yakub, B.T. Trench-Isolated CMUT Arrays with a Supporting Frame: Characterization and Imaging Results. In Proceedings of the 2007 IEEE Ultrasonics Symposium, New York, NY, USA, 28–31 October 2007; pp. 507–510.
- Caronti, A.; Caliano, G.; Carotenuto, R.; Savoia, A.; Pappalardo, M.; Cianci, E.; Foglietti, V. Capacitive micromachined ultrasonic transducer (CMUT) arrays for medical imaging. Microelectron. J. 2006, 37, 770–777. [Google Scholar] [CrossRef]
- Song, G.D.; Liu, J.; Li, D.C. Structure design and simulation of capacitive microfabricated ultrasonic transducer. Nanotechnol. Precis. Eng. 2006, 5, 156–159. (In Chinese) [Google Scholar]
- Tian, J.; Wang, C.H.; Xu, L.; Qiao, D.H.; Ma, J.; Hao, Z.H.; Wei, J.H. Silicon condenser microphone with round membranes. Chin. J. Sens. Actuators 2006, 12, 2297–2299. (In Chinese) [Google Scholar]
- Hao, Z.H.; Tang, L.; Qiao, D.H. Analysis of the resonant frequency of capacitive micro-machined ultrasonic transducer (cMUT) with Finite Element Method. Tech. Acoust. 2009, 28, 133–134. (In Chinese) [Google Scholar]
- Miao, J.; He, C.D.; Lian, D.Q.; Zhang, H.; Yu, J.Q.; Wan, K.J.; Xue, C.Y.; Zhang, W.D. Design of MEMS capacitiVe ultrasonic transducer based on wafer bonding technology. Chin. J. Sens. Actuators 2012, 25, 1653–1658. (In Chinese) [Google Scholar]
- Luan, G.D.; Zhang, J.D.; Wang, R.Q. Piezoelectric Transducer and Transducer Array; (In Chinese). Peking University Press: Beijing, China, 2005; pp. 326–435. [Google Scholar]
- Kino, G.S. Acoustic Waves: Devices, Imaging, and Analog Signal Processing; Prentice-Hall: Englewood Cliffs, NJ, USA, 1987. [Google Scholar]
- Kinsler, L.E.; Frey, A.R.; Coppens, A.B.; Sanders, J.V. Fundamentals of Acoustics, 4th ed.; Wiley: New York, NY, USA, 2000. [Google Scholar]
- Angelsen, B.A.J. Ultrasound Imaging: Waves, Signals, and Signal Processing; Emantec: Trondhejm, Norway, 2000. [Google Scholar]
- Du, G.H.; Zhu, Z.M.; Gong, X.F. Acoustics Foundation(In Chinese), 3rd ed.; Nanjing University Press: Nanjing, China, 2012; pp. 222–223. [Google Scholar]
- Van Trees, H.L. Optimum Array Processing; Wiley: New York, NY, USA, 2002. [Google Scholar]
© 2014 by the authors; licensee MDPI, Basel, Switzerland. This article is an open access article distributed under the terms and conditions of the Creative Commons Attribution license (http://creativecommons.org/licenses/by/3.0/).
Share and Cite
Wang, H.; Wang, X.; He, C.; Xue, C. Design and Performance Analysis of Capacitive Micromachined Ultrasonic Transducer Linear Array. Micromachines 2014, 5, 420-431. https://doi.org/10.3390/mi5030420
Wang H, Wang X, He C, Xue C. Design and Performance Analysis of Capacitive Micromachined Ultrasonic Transducer Linear Array. Micromachines. 2014; 5(3):420-431. https://doi.org/10.3390/mi5030420
Chicago/Turabian StyleWang, Hongliang, Xiangjun Wang, Changde He, and Chenyang Xue. 2014. "Design and Performance Analysis of Capacitive Micromachined Ultrasonic Transducer Linear Array" Micromachines 5, no. 3: 420-431. https://doi.org/10.3390/mi5030420
APA StyleWang, H., Wang, X., He, C., & Xue, C. (2014). Design and Performance Analysis of Capacitive Micromachined Ultrasonic Transducer Linear Array. Micromachines, 5(3), 420-431. https://doi.org/10.3390/mi5030420
