Experimental Characterization and Calibration of a MEMS Electric Field Sensor Under DC Ionized Field Conditions
Abstract
1. Introduction
- (1)
- The output characteristics of a MEMS electric field sensor under ionized DC field conditions are experimentally analyzed, with particular attention to ion flow density and surface charge effects.
- (2)
- The influence of ion current density on sensor offset and sensitivity is quantitatively clarified.
- (3)
- A joint calibration method considering nominal electric field, ion flow density, is proposed and experimentally validated.
2. MEMS Electric Field Sensor and Experimental Setup
2.1. DC Ionized Field Description
2.2. MEMS Electric Field Sensor
2.3. DC Ionized Field Generation System
3. Output Characteristics of the MEMS Sensor
3.1. Standard Calibration Under Electrostatic Field
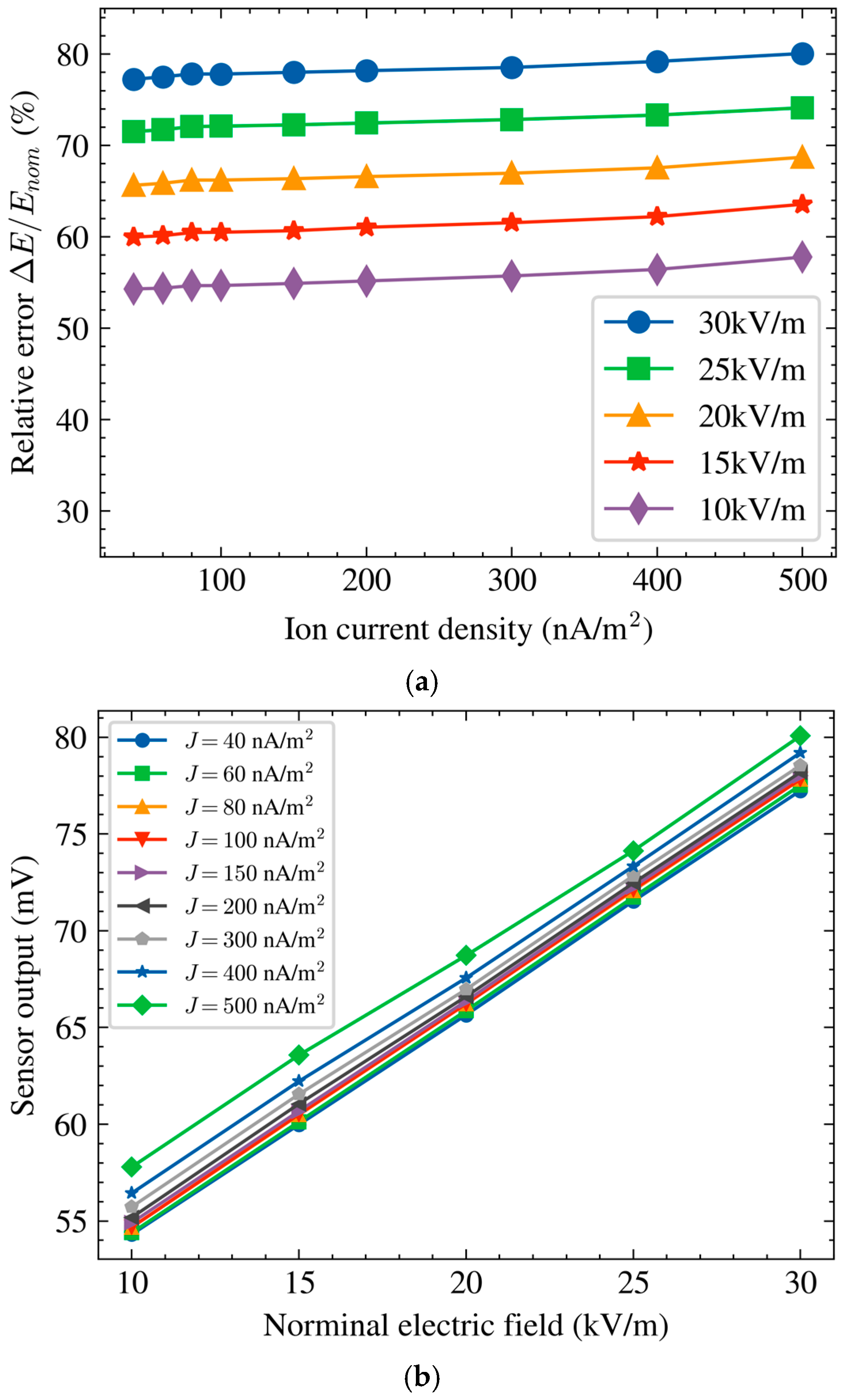
3.2. Influence of Ion Current Density
4. Calibration Method Incorporating Ion Current Density
5. Experiment Results and Discussion
6. Conclusions
Author Contributions
Funding
Institutional Review Board Statement
Informed Consent Statement
Data Availability Statement
Conflicts of Interest
References
- Zhang, X.; Zhang, E.; Yang, D.; Xin, G.; Han, G. Experiment Study on the Source Identification and Dust Forecast Based on the Atmospheric Electric Field during Urban Dust Pollution. Environ. Pollut. 2025, 368, 125783. [Google Scholar] [CrossRef]
- Yaniv, R.; Yair, Y.; Hochman, A. Understanding Heavy Precipitation Events in Southern Israel through Atmospheric Electric Field Observations. Atmos. Res. 2025, 313, 107757. [Google Scholar] [CrossRef]
- Anisimov, S.V.; Galichenko, S.V.; Prokhorchuk, A.A.; Klimanova, E.V.; Kozmina, A.S.; Aphinogenov, K.V. Estimation of Autocorrelation Functions of Atmospheric Electric Field Variations Using a Golomb Array of Sensors. Atmos. Res. 2025, 315, 107847. [Google Scholar] [CrossRef]
- Wu, J.; Zou, Z.; Li, Y.; Xie, F. The Possibility of Rainfall Nowcasting Using Atmospheric Electric Field. Atmos. Res. 2024, 298, 107118. [Google Scholar] [CrossRef]
- Zhang, D.; Xu, H.; Huang, X.; Zhang, Z.; Jiang, X. Space Electric Field Characteristics of Silicone Rubber Insulator Pollution Flashover and Its Application in Flashover Prewarning. IEEE Trans. Dielectr. Electr. Insul. 2023, 30, 439–448. [Google Scholar] [CrossRef]
- Vaillancourt, G.H.; Carignan, S.; Jean, C. Experience with the Detection of Faulty Composite Insulators on High-Voltage Power Lines by the Electric Field Measurement Method. IEEE Trans. Power Deliv. 1998, 13, 661–666. [Google Scholar] [CrossRef]
- Ramnarine, V.; Peesapati, V.; Djurović, S. Electrodeless Piezoelectric-Based Sensor for Electric Field Measurement in High-Voltage Applications. IEEE Trans. Instrum. Meas. 2025, 74, 1–10. [Google Scholar] [CrossRef]
- Li, Z.; Zheng, Z.; Wu, Y.; Du, B. Space Charge and Electric Field Dependent on Polarity Reversal of HVDC Cable Insulation. IEEE Trans. Dielectr. Electr. Insul. 2024, 31, 58–65. [Google Scholar] [CrossRef]
- Kim, M.; Lee, S.-H. Numerical Analysis of Ion Flow in One-Bipole HVDC Transmission Line Using Revised Charge Injection Methods. IEEE Access 2024, 12, 22573–22581. [Google Scholar] [CrossRef]
- Xie, H.; Zhang, J.; Yao, W.; Zhang, Y.; Xu, J.; Gan, Z. Statistical Analysis of Long-Term Measured Electric Field of the Operating ±800 kV HVDC Bipolar Transmission Lines. IEEE Trans. Power Deliv. 2024, 39, 1040–1050. [Google Scholar] [CrossRef]
- Zhou, F.; Chai, Z.; Diao, Y.; Long, Z. Research on Measurement Techniques for Integrated Optical Waveguide-Based Electric Field Sensors. IEEE Access 2025, 13, 90983–90990. [Google Scholar] [CrossRef]
- Cui, Y.; Yuan, H.; Song, X.; Zhao, L.; Liu, Y.; Lin, L. Model, Design, and Testing of Field Mill Sensors for Measuring Electric Fields Under High-Voltage Direct-Current Power Lines. IEEE Trans. Ind. Electron. 2018, 65, 608–615. [Google Scholar] [CrossRef]
- Li, J.; Xu, S.; Tang, Z.; Wang, H.; Zhang, B.; Xu, C. Electrostatic Coupled Capacitance Sensor for Gas Solid Flow Measurement. IEEE Sens. J. 2020, 20, 12807–12816. [Google Scholar] [CrossRef]
- Zhang, J.; Chen, F. An Electro-Optic Sensor for Measurement of Intensive DC Electric Field. IEEE Photonics J. 2022, 14, 1–7. [Google Scholar] [CrossRef]
- IEEE Std 1227-1990; IEEE Guide for the Measurement of DC Electric-Field Strength and Ion Related Quantities. IEEE: New York, NY, USA, 1990; pp. 1–54. [CrossRef]
- Yang, P.; Wen, X.; Li, X.; Chu, Z.; Peng, C.; Wu, S. A 3D DC Electric Field Meter Based on Sensor Chips Packaged Using a Highly Sensitive Scheme. Micromachines 2025, 16, 484. [Google Scholar] [CrossRef]
- Li, X.; Gu, Y.; Li, Z.; He, Z.; Yang, P.; Peng, C. A Review of Three-Dimensional Electric Field Sensors. Micromachines 2025, 16, 737. [Google Scholar] [CrossRef] [PubMed]
- Li, J.; Wang, J.; Peng, C.; Liu, W.; Luo, J.; Wu, Z.; Ren, R.; Lv, Y. Spatial Decoupling Method for a Novel Dual-Orthogonal Induction MEMS Three-Dimensional Electric Field Sensor. Micromachines 2025, 16, 381. [Google Scholar] [CrossRef]
- Wang, G.; Yang, P.; Chu, Z.; Ran, L.; Li, J.; Zhang, B. A Review on Resonant MEMS Electric Field Sensors. Micromachines 2024, 15, 1333. [Google Scholar] [CrossRef]
- Gao, Y.; Peng, S.; Liu, X.; Liu, Y.; Zhang, W.; Peng, C.; Xia, S. A Sensitivity-Enhanced Vertical-Resonant MEMS Electric Field Sensor Based on TGV Technology. Micromachines 2024, 15, 356. [Google Scholar] [CrossRef]
- Qiao, J.; Zhang, P.; Zhang, J.; Lu, Y.; Zou, J.; Yuan, J.; Huang, S. An Iterative Flux Tracing Method Without Deutsch Assumption for Ion-Flow Field of AC/DC Hybrid Transmission Lines. IEEE Trans. Magn. 2018, 54, 1–4. [Google Scholar] [CrossRef]
- Ma, X.; Xie, L.; He, K.; Lu, J. Research on 3-D Total Electric Field of Crossing High Voltage Direct Current Transmission Lines Based on Upstream Finite Element Method. High Volt. 2021, 6, 160–170. [Google Scholar] [CrossRef]
- Lu, T.; Chen, B.; Zou, Z.; Wang, D. Hybrid Method of FEM and Divergence Theorem to Analyze Ion Flow Field Including Dielectric Film’s Accumulation Charges. IEEE Trans. Magn. 2021, 57, 1–4. [Google Scholar] [CrossRef]
- Chen, B.; Lu, T.; Wang, D. Analysis of Ion Flow Field Considering Dielectric Film Under HVDC Overhead Transmission Lines. IEEE Trans. Magn. 2020, 56, 1–4. [Google Scholar] [CrossRef]
- Deng, Y.; Yuan, H.; Yuan, H.; Lv, J.; Liu, A.; Wang, Z. Dual-Electrode Sensor for AC and DC Electric Fields in Hybrid HVdc/HVac Systems. IEEE Sens. J. 2025, 25, 18145–18154. [Google Scholar] [CrossRef]
- Liu, C.; Yuan, H.; Lv, J.; Zhao, P.; Li, J.; Xu, H. A Sensor for 3-D Component Measurement of Synthetic Electric Field Vector in HVDC Transmission Lines Using Unidirectional Motion. IEEE Trans. Instrum. Meas. 2023, 72, 1–10. [Google Scholar] [CrossRef]
- Zhang, B.; Xiao, F.; Xu, P.; Liu, Z.; He, J. Measurement of Space Potential Distribution Around Overhead HVDC Transmission Lines Based on Potential Compensation on Suspended Conductor. IEEE Trans. Power Deliv. 2020, 35, 523–530. [Google Scholar] [CrossRef]
- Yang, P.; Peng, C.; Fang, D.; Wen, X.; Xia, S. Design, Fabrication and Application of an SOI-Based Resonant Electric Field Microsensor with Coplanar Comb-Shaped Electrodes. J. Micromech. Microeng. 2013, 23, 055002. [Google Scholar] [CrossRef]









| J (nA/m2) | Min Error Before (%) | Min Error After (%) | Max Error Before (%) | Max Error After (%) | Mean Error Before (%) | Mean Error After (%) |
|---|---|---|---|---|---|---|
| 40 | 0.6964 | 0.3607 | 1.5033 | 2.3284 | 1.0859 | 1.0887 |
| 60 | 0.0072 | 0.4209 | 0.5557 | 1.5829 | 0.2876 | 0.8508 |
| 80 | 0.6398 | 0.5285 | 2.4049 | 1.4925 | 1.3107 | 0.8852 |
| 100 | 0.6111 | 0.2125 | 2.4910 | 0.6147 | 1.3911 | 0.3613 |
| 150 | 1.1567 | 0.0083 | 4.4724 | 0.1167 | 2.3175 | 0.0483 |
| 200 | 1.6736 | 0.0808 | 6.7983 | 0.5885 | 3.6470 | 0.2687 |
| 300 | 2.6786 | 0.0667 | 11.5364 | 0.2026 | 5.9505 | 0.1524 |
| 400 | 4.5738 | 0.0201 | 17.6527 | 1.6798 | 9.1684 | 0.6169 |
| 500 | 7.0721 | 0.1242 | 29.2825 | 5.0703 | 15.0952 | 1.8475 |
Disclaimer/Publisher’s Note: The statements, opinions and data contained in all publications are solely those of the individual author(s) and contributor(s) and not of MDPI and/or the editor(s). MDPI and/or the editor(s) disclaim responsibility for any injury to people or property resulting from any ideas, methods, instructions or products referred to in the content. |
© 2026 by the authors. Licensee MDPI, Basel, Switzerland. This article is an open access article distributed under the terms and conditions of the Creative Commons Attribution (CC BY) license.
Share and Cite
Ren, R.; Li, B.; Peng, C. Experimental Characterization and Calibration of a MEMS Electric Field Sensor Under DC Ionized Field Conditions. Micromachines 2026, 17, 317. https://doi.org/10.3390/mi17030317
Ren R, Li B, Peng C. Experimental Characterization and Calibration of a MEMS Electric Field Sensor Under DC Ionized Field Conditions. Micromachines. 2026; 17(3):317. https://doi.org/10.3390/mi17030317
Chicago/Turabian StyleRen, Ren, Bing Li, and Chunrong Peng. 2026. "Experimental Characterization and Calibration of a MEMS Electric Field Sensor Under DC Ionized Field Conditions" Micromachines 17, no. 3: 317. https://doi.org/10.3390/mi17030317
APA StyleRen, R., Li, B., & Peng, C. (2026). Experimental Characterization and Calibration of a MEMS Electric Field Sensor Under DC Ionized Field Conditions. Micromachines, 17(3), 317. https://doi.org/10.3390/mi17030317

