Numerical Analysis and Design of an Ultra-Thin Flexible Transparent Metasurface for Broadband Radar-Infrared Compatible Stealth
Abstract
1. Introduction
2. Absorber Structure and Simulation Setup
2.1. Absorber Structure
2.2. Simulation Settings
3. Results and Discussion
3.1. Design of the Infrared Stealth Layer
3.2. Design of the Radar Absorption Layer
3.3. Infrared and Radar Stealth Performance
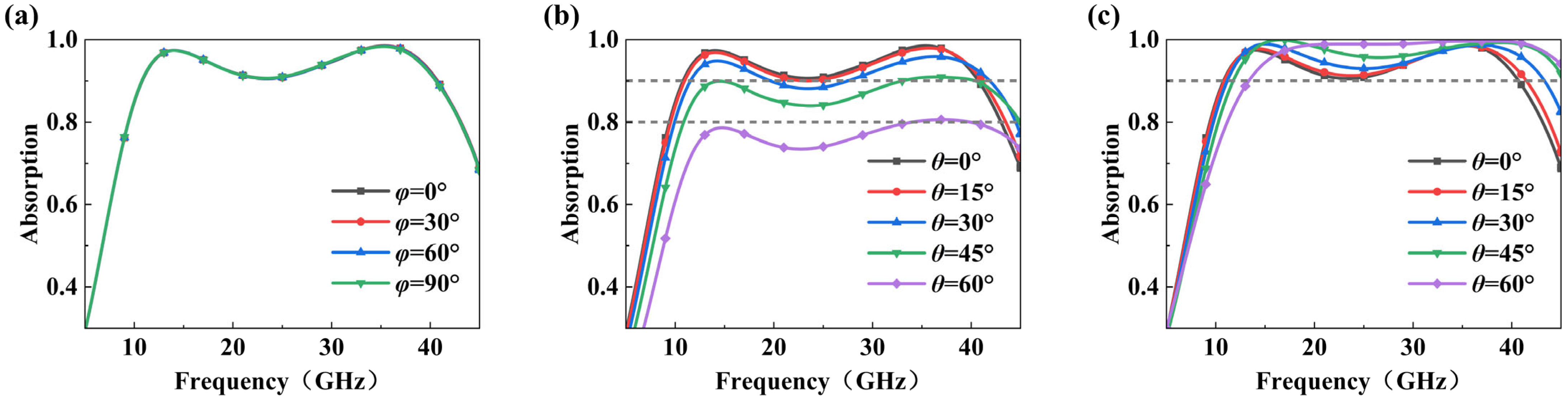
3.4. Polarization, Angle of Incidence, and Bending Performance
4. Conclusions
Supplementary Materials
Author Contributions
Funding
Data Availability Statement
Conflicts of Interest
References
- Cao, F.; Liu, L.; Li, L. Short-Wave Infrared Photodetector. Mater. Today 2023, 62, 327–349. [Google Scholar] [CrossRef]
- Rihan, M.; Grossi, E.; Venturino, L.; Buzzi, S. Spatial Diversity in Radar Detection via Active Reconfigurable Intelligent Surfaces. IEEE Signal Process. Lett. 2022, 29, 1242–1246. [Google Scholar] [CrossRef]
- Wang, B.; Zheng, Z.; Guo, Y.-X. Millimeter-Wave Frequency Modulated Continuous Wave Radar-Based Soft Fall Detection Using Pattern Contour-Confined Doppler-Time Maps. IEEE Sens. J. 2022, 22, 9824–9831. [Google Scholar] [CrossRef]
- Huang, L.; Duan, Y.; Liu, J.; Zeng, Y.; Ma, G.; Pang, H.; Zhang, W. Bionic Composite Metamaterials for Harvesting of Microwave and Integration of Multifunctionality. Compos. Sci. Technol. 2021, 204, 108640. [Google Scholar] [CrossRef]
- Lee, N.; Lim, J.-S.; Chang, I.; Bae, H.M.; Nam, J.; Cho, H.H. Flexible Assembled Metamaterials for Infrared and Microwave Camouflage. Adv. Opt. Mater. 2022, 10, 2200448. [Google Scholar] [CrossRef]
- Ye, L.; Liu, L.-X.; Yin, G.; Liu, Y.; Deng, Z.; Qi, C.-Z.; Zhang, H.-B.; Yu, Z.-Z. Highly Conductive, Hydrophobic, and Acid/Alkali-Resistant MXene@PVDF Hollow Core-Shell Fibers for Efficient Electromagnetic Interference Shielding and Joule Heating. Mater. Today Phys. 2023, 35, 101100. [Google Scholar] [CrossRef]
- Martinez, F.; Maldovan, M. Metamaterials: Optical, Acoustic, Elastic, Heat, Mass, Electric, Magnetic, and Hydrodynamic Cloaking. Mater. Today Phys. 2022, 27, 100819. [Google Scholar] [CrossRef]
- Zhang, Y.; Wang, X.; Yang, S.; Zhang, J.; Gao, Y.; Li, Z. Ultrabroadband Microwave Metamaterial Absorber with Dielectric Lossy Layer. Sci. Rep. 2025, 15, 12547. [Google Scholar] [CrossRef]
- Chen, S.; Liu, W.; Li, Z.; Cheng, H.; Tian, J. Metasurface-Empowered Optical Multiplexing and Multifunction. Adv. Mater. 2020, 32, 1805912. [Google Scholar] [CrossRef]
- Feng, Y.; Liang, M.; Zhao, X.; You, R. Fabrication and Modulation of Flexible Electromagnetic Metamaterials. Microsyst. Nanoeng. 2025, 11, 14. [Google Scholar] [CrossRef] [PubMed]
- Tao, Z.; Gu, W.; Tan, X.; Zhang, H.; Wu, C.; Xia, A.; Ji, G. Carbon Materials: A Crucial Component within the Family of High-Performance Microwave Absorbing Materials. Adv. Funct. Mater. 2025, 35, e10644. [Google Scholar] [CrossRef]
- Min, P.; Song, Z.; Yang, L.; Ralchenko, V.G.; Zhu, J. Multispectral Meta-Film Design: Simultaneous Realization of Wideband Microwave Absorption, Low Infrared Emissivity, and Visible Transparency. Opt. Express 2022, 30, 32317–32332. [Google Scholar] [CrossRef]
- Wang, J.; Shi, H.; Chen, X.; Yi, J.; Chen, J.; Zhang, A.; Liu, H. A Second-Order Cross-Polarization Conversion Metasurface with High Frequency Selectivity. IEEE Antennas Wirel. Propag. Lett. 2023, 22, 3077–3081. [Google Scholar] [CrossRef]
- Chen, M.-H.; Wei, T.-Y.; Chiang, C.-H.; Su, V.-C. Rotational Vortex Metasurface Arrays Enabling Tunable Perfect Petal-Shaped Beam Emissions. Adv. Opt. Mater. 2024, 12, 2303066. [Google Scholar] [CrossRef]
- Yang, J.; Guo, Y.; Li, X.; Qiu, Y.; Wang, X.; Zhou, J.; Li, B.; Zhang, L.; Bian, Y.; Xiao, X. Fabry–Pérot Matching Lossy Metasurface for Coordinated, Adaptive, and Ultra-Broadband Visible-Infrared-Radar Compatible Camouflage. Adv. Mater. 2025, 38, e17422. [Google Scholar] [CrossRef] [PubMed]
- Li, L.; Zhao, H.; Liu, C.; Li, L.; Cui, T.J. Intelligent Metasurfaces: Control, Communication and Computing. eLight 2022, 2, 7. [Google Scholar] [CrossRef]
- Wang, H.L.; Ma, H.F.; Chen, M.; Sun, S.; Cui, T.J. A Reconfigurable Multifunctional Metasurface for Full-Space Control of Electromagnetic Waves. Adv. Funct. Mater. 2021, 31, 2100275. [Google Scholar] [CrossRef]
- Ma, Y.; Shi, L.; Wang, J.; Zhu, L.; Ran, Y.; Liu, Y.; Li, J. A Transparent and Flexible Metasurface with Both Low Infrared Emission and Broadband Microwave Absorption. J. Mater. Sci. Mater. Electron. 2021, 32, 2001–2010. [Google Scholar] [CrossRef]
- Sun, H.; Wang, J.; Zhu, R.; Sui, S.; Liu, Z.; Zhang, J.; Cui, Y.; Qu, S.; Wang, J. Multi-Mechanism-Empowered Single-Functional-Layer Metasurface Simultaneously with Microwave Scattering Reduction, Infrared Digital Camouflage, and Optical Transparency. Photonics Res. 2025, 13, 2520–2530. [Google Scholar] [CrossRef]
- Wang, L.; Xu, C.; Jiang, J.; Yan, M.; Chu, Z.; Sun, H.; Wang, J.; Sui, S.; Wang, J.; Fan, Q. Bispectral Camouflage Metasurfaces Compatible with Microwave Diffuse Emission and Tunable Infrared Emissivity. Photonics Res. 2025, 13, 249–256. [Google Scholar] [CrossRef]
- Chang, Q.; Ji, J.; Chen, K.; Wu, W.; Ma, Y. Transparent and Ultra-Thin Flexible Checkerboard Metasurface for Radar–Infrared Bi-Stealth. Sensors 2024, 24, 1531. [Google Scholar] [CrossRef]
- Feng, X.; Pu, M.; Zhang, F.; Pan, R.; Wang, S.; Gong, J.; Zhang, R.; Guo, Y.; Li, X.; Ma, X. Large-Area Low-Cost Multiscale-Hierarchical Metasurfaces for Multispectral Compatible Camouflage of Dual-Band Lasers, Infrared and Microwave. Adv. Funct. Mater. 2022, 32, 2205547. [Google Scholar] [CrossRef]
- Feng, X.; Xie, X.; Pu, M.; Ma, X.; Guo, Y.; Li, X.; Luo, X. Hierarchical Metamaterials for Laser-Infrared-Microwave Compatible Camouflage. Opt. Express 2020, 28, 9445–9453. [Google Scholar] [CrossRef] [PubMed]
- Luo, Y.; Huang, L.; Ding, J.; Liu, W.; Sun, B.; Xie, C.; Yang, H.; Wu, J. Flexible and Transparent Broadband Microwave Metasurface Absorber Based on Multipolar Interference Engineering. Opt. Express 2022, 30, 7694–7707. [Google Scholar] [CrossRef]
- Zheng, J.; Zheng, H.; Pang, Y.; Qu, B.; Xu, Z. Transparent Broadband Absorber Based on a Multilayer ITO Conductive Film. Opt. Express 2023, 31, 3731. [Google Scholar] [CrossRef] [PubMed]
- Yang, J.; Zhao, J.; Li, X.; Guo, Y.; Wang, X.; Qiu, Y.; Li, B.; Wang, Z.; Li, W.; Yu, Y. Multifunctional-Hierarchical Flexible Metasurface with Simultaneous Low Infrared Emissivity, Broadband Microwave Absorption, and Dynamic Visible Camouflage. Opt. Express 2024, 32, 38477–38489. [Google Scholar] [CrossRef]
- Ge, J.; Wang, X.; Li, B.; Xue, H.; Zhang, C.; Song, C.; Lin, W.; Zhang, Y.; Wang, Y.; Chen, K. Optically Transparent Metasurface with Multispectral-Compatible Camouflage and Millimeter-Wave Transmission Window. IEEE Trans. Microw. Theory Tech. 2025, 73, 5686–5695. [Google Scholar] [CrossRef]
- Duan, Y.; Wang, M.; Chen, W.; Huang, L.; Jia, H.; Liu, J.; Pang, H.; Shi, Y.; Gong, J.; Wang, J. Layered Metamaterials with Sierpinski Triangular Fractal Metasurface: Compatible Stealth for S-Band Radar and Infrared. Mater. Today Phys. 2023, 38, 101210. [Google Scholar] [CrossRef]
- Duan, Y.; Lei, H.; Huang, L.; Ma, X.; Yang, X.; Sun, X.; Ma, B. Metasurface-Based Hierarchical Structures: Excellent Electromagnetic Wave Absorbers with Low-Infrared Emissivity Layer. Adv. Eng. Mater. 2022, 24, 2200127. [Google Scholar] [CrossRef]
- Akram, M.R.; Ding, G.; Chen, K.; Feng, Y.; Zhu, W. Ultrathin Single Layer Metasurfaces with Ultra-Wideband Operation for Both Transmission and Reflection. Adv. Mater. 2020, 32, 1907308. [Google Scholar] [CrossRef]
- Wang, Y.; Wu, G.; Wang, Y.; Jia, Q.; Liu, J. Single-Layer Metasurface: Optical Transparency, Microwave Scattering Reduction and Infrared Emissivity Decrease. Opt. Mater. 2023, 135, 113380. [Google Scholar] [CrossRef]
- Chou, H.-H.; Ke, G.-J.; Lin, C.-C.; Lin, G.-S. Reconfigurable Design of mmWave Liquid-Crystal Frequency Selective Surface at Ka-Band. IEEE Trans. Electromagn. Compat. 2022, 64, 1734–1741. [Google Scholar] [CrossRef]
- Luo, H.; Xiong, Y.; Cheng, Y.; Chen, F.; Li, X. Optical Transparent Metamaterial Structure for Microwave–Infrared-Compatible Camouflage Based on Indium Tin Oxide. Sci. China Technol. Sci. 2023, 66, 2850–2861. [Google Scholar] [CrossRef]
- Jing, H.; Wei, Y.; Kang, J.; Song, C.; Deng, H.; Duan, J.; Qu, Z.; Wang, J.; Zhang, B. An Optically Transparent Flexible Metasurface Absorber with Broadband Radar Absorption and Low Infrared Emissivity. J. Phys. D Appl. Phys. 2023, 56, 115103. [Google Scholar] [CrossRef]
- Liu, L.; Chen, Z.; Li, Z.; Chang, Y.; Li, P.; Liu, X.; Deng, X.; Feng, Y. Design of a Low-Infrared-Emission and Wideband-Microwave-Absorption Lightweight Metasurface. Nanomaterials 2025, 15, 399. [Google Scholar] [CrossRef] [PubMed]
- Liu, H.; Bi, K.; Yin, G.; Huang, D.; Zhou, X.; Hu, L.; Zhang, Y.; Mei, L.; Chou, X. Microwave-Stealth Metasurface with Infrared Camouflage and Visible-Light Transparency. Infrared Phys. Technol. 2025, 151, 106146. [Google Scholar] [CrossRef]
- Monti, A.; Vellucci, S.; Barbuto, M.; Stefanini, L.; Ramaccia, D.; Toscano, A.; Bilotti, F. Design of Reconfigurable Huygens Metasurfaces Based on Drude-like Scatterers Operating in the Epsilon-Negative Regime. Opt. Express 2024, 32, 28429. [Google Scholar] [CrossRef]
- Meng, Z.; Tian, C.; Xu, C.; Wang, J.; Huang, S.; Li, X.; Yang, B.; Fan, Q.; Qu, S. Multi-Spectral Functional Metasurface Simultaneously with Visible Transparency, Low Infrared Emissivity and Wideband Microwave Absorption. Infrared Phys. Technol. 2020, 110, 103469. [Google Scholar] [CrossRef]
- Chen, Q.; Gong, T.; Chen, W.; Fang, F.; Feng, Y.; Chen, S.; Liu, D.; Liu, T. Rapid Annealing Obtained ITO Films with Both Extremely Low Infrared Emissivity and High Visible Light Transmission for Energy-Efficient Window Applications. Ceram. Int. 2025, 51, 3163–3169. [Google Scholar] [CrossRef]
- Gao, Y.; Jing, H.; Wang, J.; Kang, J.; Zhao, L.; Chen, L.; Wang, Y.; Duan, J.; Qu, Z.; Zhang, B. A Transparent Broadband Flexible Metamaterial Absorber for Radar Infrared-Compatible Stealth. J. Phys. D Appl. Phys. 2024, 57, 155102. [Google Scholar] [CrossRef]
- Du, Z.; Liang, J.; Cai, T.; Wang, X.; Zhang, Q.; Deng, T.; Wu, B.; Mao, R.; Wang, D. Ultra-Light Planar Meta-Absorber with Wideband and Full-Polarization Properties. Opt. Express 2021, 29, 6434. [Google Scholar] [CrossRef] [PubMed]
- Gao, Z.; Xu, C.; Tian, X.; Wang, J.; Tian, C.; Yang, B.; Qu, S.; Fan, Q. Ultra-Wideband Flexible Transparent Metamaterial with Wide-Angle Microwave Absorption and Low Infrared Emissivity. Opt. Express 2021, 29, 22108–22116. [Google Scholar] [CrossRef] [PubMed]
- Meng, Z.; Liu, D.; Xu, C.; Wang, J.; Pang, Y.; Yang, J.; Li, X.; Gui, B.; Cheng, H. Multifunctional Integrated Metamaterials for Radar-Infrared-Visible Compatible Multispectral Stealth. Opt. Express 2024, 32, 17869–17878. [Google Scholar] [CrossRef] [PubMed]
- Zhang, W.; Xu, C.; Cheng, A.; Fan, Q.; Wang, J.; Qu, S. Infrared Stealth and the Flexible Metasurface of Radar Backscattering Suppression. J. Phys. D Appl. Phys. 2022, 55, 465102. [Google Scholar] [CrossRef]








| Parameter | Value (mm) | Parameter | Value (mm) |
|---|---|---|---|
| P | 8 | b | 0.3 |
| t | 0.175 | c | 3 |
| u | 0.95 | e | 2 |
| n | 0.1 | m | 1 |
| q | 0.2 | w | 0.1 |
| a | 2 | l | 7.8 |
Disclaimer/Publisher’s Note: The statements, opinions and data contained in all publications are solely those of the individual author(s) and contributor(s) and not of MDPI and/or the editor(s). MDPI and/or the editor(s) disclaim responsibility for any injury to people or property resulting from any ideas, methods, instructions or products referred to in the content. |
© 2026 by the authors. Licensee MDPI, Basel, Switzerland. This article is an open access article distributed under the terms and conditions of the Creative Commons Attribution (CC BY) license.
Share and Cite
Xu, L.; Li, Y.; Wang, X.; Sun, J.; Yang, Z. Numerical Analysis and Design of an Ultra-Thin Flexible Transparent Metasurface for Broadband Radar-Infrared Compatible Stealth. Micromachines 2026, 17, 277. https://doi.org/10.3390/mi17030277
Xu L, Li Y, Wang X, Sun J, Yang Z. Numerical Analysis and Design of an Ultra-Thin Flexible Transparent Metasurface for Broadband Radar-Infrared Compatible Stealth. Micromachines. 2026; 17(3):277. https://doi.org/10.3390/mi17030277
Chicago/Turabian StyleXu, Liang, Yijia Li, Xingyuan Wang, Jingxuan Sun, and Zhixun Yang. 2026. "Numerical Analysis and Design of an Ultra-Thin Flexible Transparent Metasurface for Broadband Radar-Infrared Compatible Stealth" Micromachines 17, no. 3: 277. https://doi.org/10.3390/mi17030277
APA StyleXu, L., Li, Y., Wang, X., Sun, J., & Yang, Z. (2026). Numerical Analysis and Design of an Ultra-Thin Flexible Transparent Metasurface for Broadband Radar-Infrared Compatible Stealth. Micromachines, 17(3), 277. https://doi.org/10.3390/mi17030277

