Insight into the Propagation of Interface Acoustic Waves in Rotated YX-LiNbO3/SU-8/Si Structures
Abstract
1. Introduction
2. Methods
3. Eigenfrequency Domain Analysis
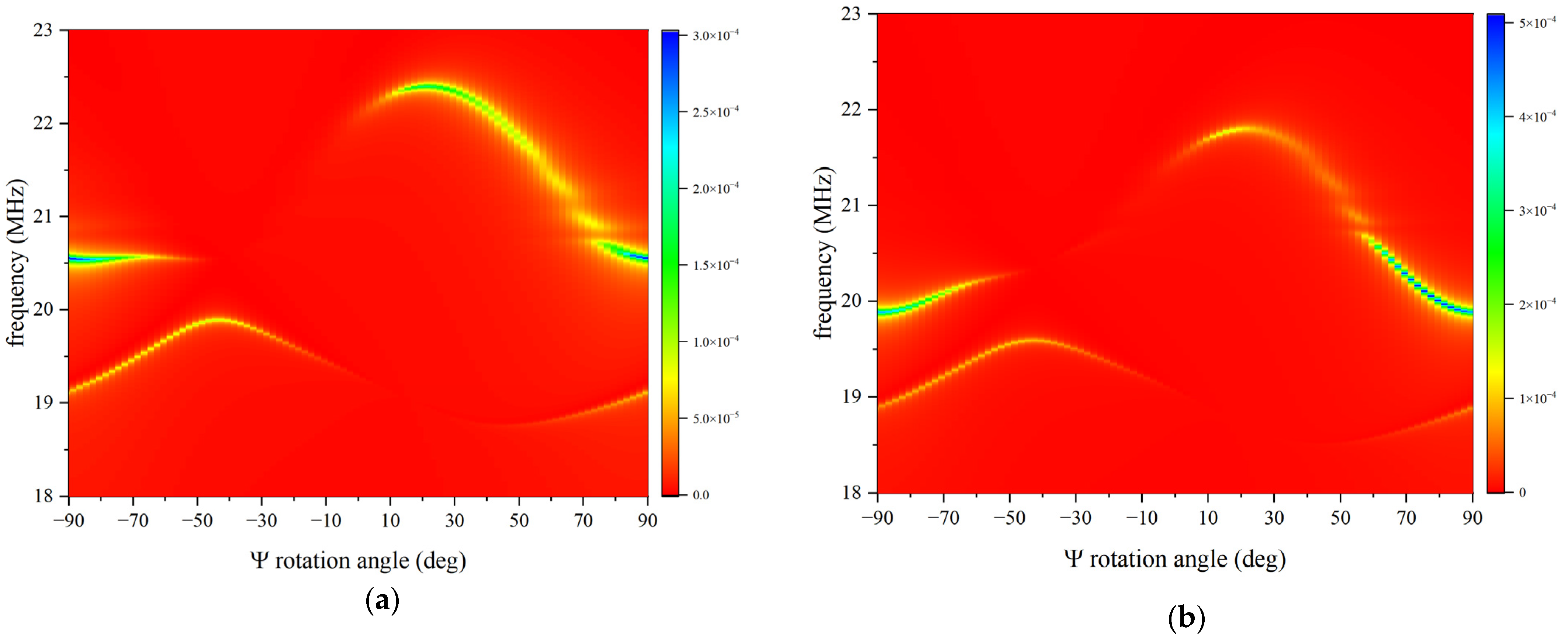
4. IAWs in Rotated YX-Propagation LiNbO3/IDT/SU-8/Si
Frequency Domain Study
5. Experimental Section
5.1. Devices Fabrication
5.2. Devices Test
6. Discussion
- (i)
- The present calculations could be refined by adopting more accurate material constants and damping loss factors. In particular, reliable loss factors for SU-8, LiNbO3, Pt, and silicon are not readily available in the literature. Additionally, the reported material properties of SU-8 exhibit significant variability, with marked discrepancies among different studies. A systematic investigation of the influence of the IDT thickness-to-wavelength ratio and electrode material type would contribute to enhancing the accuracy of the simulations.
- (ii)
- Simulations performed on a complete delay-line structure (accounting for both finite IDTs aperture and optimized number of finger pairs) would aid in optimizing the device design.
- (iii)
- The tested delay lines were not optimized, but rather fabricated as prototype devices intended to validate the simulation results and not optimized for wave characteristics. Future work will involve fabricating delay lines with different numbers of finger pairs and propagation paths to experimentally measure the mode propagation loss and estimate the associated damping factors.
7. Conclusions
Author Contributions
Funding
Data Availability Statement
Conflicts of Interest
References
- Boes, A.; Chang, L.; Langrock, C.; Yu, M.; Zhang, M.; Lin, Q.; Lončar, M.; Fejer, M.; Bowers, J.; Mitchell, A. Lithium niobate photonics: Unlocking the electromagnetic spectrum. Science 2023, 379, eabj4396. [Google Scholar] [CrossRef]
- Mei, J.; Zhang, N.; Friend, J. Fabrication of Surface Acoustic Wave Devices on Lithium Niobate. J. Vis. Exp. 2020, 160, e61013. [Google Scholar] [CrossRef]
- Naumenko, N.; Abbott, B. Optimal orientations of lithium niobate for resonator SAW filters. IEEE Symp. Ultrason. 2003, 2, 2110–2113. [Google Scholar] [CrossRef]
- Naumenko, N.; Abbott, B. 6E-1 Analysis of Highly Piezoelectric Non-Leaky SAW Propagating in Rotated Y-Cuts of Lithium Niobate with Thick Metal Films or Gratings. In Proceedings of the IEEE Ultrasonics Symposium, Vancouver, Canada, 3–6 October 2006; pp. 493–496. [Google Scholar] [CrossRef]
- Stoneley, R. Propagation of elastic waves along the boundary of two solids. R. Soc. Lond. 1924, 106, 416–428. [Google Scholar]
- Shimizu, Y.; Irino, T. Stoneley waves propagating along an interface between piezoelectric material and isotropic material. Ultrasonics Symposium. In Proceedings of the 1983 Ultrasonics Symposium, Atlanta, GA, USA, 31 October–2 November 1983; pp. 373–376. [Google Scholar]
- Irino, T.; Shimizu, Y. Optimized stoneley wave device by proper choice of glass overcoat. IEEE Trans. Ultrason. Ferroelectr. Freq. Control. 1989, 36, 159–167. [Google Scholar] [CrossRef]
- Chadwick, P.; Currie, P.K. Stoneley waves at an interface between elastic crystals. Q. J. Mech. Appl. Math. 1974, 27, 497–503. [Google Scholar] [CrossRef]
- Lim, T.C.; Musgrave, M.J.P. Stoneley Waves in Anisotropic Media. Nature 1970, 225, 372. [Google Scholar] [CrossRef]
- Bhattacharjee, K.; Shvetsov, A.; Zhgoon, S. Packageless SAW Devices with Isolated Layer Acoustic Waves (ILAW) and Waveguiding Layer Acoustic Waves (WLAW). In Proceedings of the 2007 IEEE International Frequency Control Symposium Joint with the 21st European Frequency and Time Forum, Geneva, Switzerland, 29 May–1 June 2007; pp. 135–140. [Google Scholar]
- Legrani, O.; Elmazria, O.; Zhgoon, S.; Pigeat, P.; Bartasyte, A. Packageless AlN/ZnO/Si Structure for SAW Devices Applications. IEEE Sens. J. 2013, 13, 487–491. [Google Scholar] [CrossRef]
- Yantchev, V.; Enlund, J.; Katardjiev, I.; Johansson, S.; Johansson, L. Interface acoustic wave based manipulation of sub-micrometer particles in microfluidic channels. In Proceedings of the 2009 IEEE International Ultrasonics Symposium, Rome, Italy, 20–23 September 2009; pp. 617–620. [Google Scholar] [CrossRef]
- Du, X.Y.; Swanwick, M.E.; Fu, Y.Q.; Luo, J.K.; Flewitt, A.J.; Lee, D.S.; Maeng, S.; Milne, W.I. Surface acoustic wave induced streaming and pumping in 128° Y-cut LiNbO3 for microfluidic applications. J. Micromech. Microeng. 2009, 19, 035016. [Google Scholar] [CrossRef]
- Tseng, W.-K.; Lin, J.-L.; Sung, W.-C.; Chen, S.-H.; Lee, G.-B. Active micro-mixers using surface acoustic waves on Y-cut 128° LiNbO3. J. Micromech. Microeng. 2006, 16, 539–548. [Google Scholar] [CrossRef]
- Guo, Y.J.; Lv, H.B.; Li, Y.F.; He, X.L.; Zhou, J.; Luo, J.K.; Zu, X.T.; Walton, A.J.; Fu, Y.Q. High frequency microfluidic performance of LiNbO3 and ZnO surface acoustic wave devices. J. Appl. Phys. 2014, 116, 024501. [Google Scholar] [CrossRef]
- Manosalva; Nova, O.A.N. Manosalva; Nova, O.A.N. Contribution to Finite-Difference Time-Domain Procedures for Simulation of Surface Acoustic Wave RFID Tags. Ph.D. Thesis, Université de Bretagne Occidentale, Brest, France, 2015. [Google Scholar]
- Hoang Van, N. Design and Simulation of Surface Acoustic Wave Resonators Using Multiple Models. Master’s Thesis, University of South-Eastern Norway, Notodden, Norway, 2024. [Google Scholar]
- Caliendo, C.; Cannatà, D.; Benetti, M.; Buzzin, A. UV sensors based on the propagation of the fundamental and third harmonic Rayleigh waves in ZnO/fused silica. In Proceedings of the 2023 9th International Workshop on Advances in Sensors and Interfaces (IWASI), Bari, Italy, 8–9 June 2023; pp. 261–266. [Google Scholar]
- Caliendo, C.; Benetti, M.; Cannatà, D.; Laidoudi, F.; Petrone, G. Experimental and Theoretical Analysis of Rayleigh and Leaky-Sezawa Waves Propagating in ZnO/Fused Silica Substrates. Micromachines 2024, 15, 974. [Google Scholar] [CrossRef]
- Caliendo, C.; Benetti, M.; Cannatà, D.; Laidoudi, F.; Petrone, G. Interface Acoustic Waves in 128° YX-LiNbO3/SU-8/Overcoat Structures. Micromachines 2025, 16, 99. [Google Scholar] [CrossRef]
- Yamanouchi, K.; Iwahashi, K.; Shibayama, K. Piezoelectric acoustic boundary waves propagating along the interface between SiO2 and LiTaO3. IEEE Trans. Sonics Ultrason. 1978, 25, 384–389. [Google Scholar] [CrossRef]
- Staples, E.J.; Barnett, D.M. Higher Order Acoustic Rayleigh Modes for Sensor Application; US Air Force: Washington, DC, USA, 1985; report 90-0785. [Google Scholar]
- Yamanouchi, K.; Satoh, Y. Piezoelectric acoustic boundary waves in the structure of multilayer thin films/electrode/piezoelectric substrates. J. Appl. Phys. 2008, 103, 114105. [Google Scholar] [CrossRef]
- Majjad, H.; Laude, V.; Ballandras, S. Low Temperature Bonding of Interface Acoustic Waves Resonators on Silicon Wafers. IEEE Ultrason. Symp. 2005, 2, 1307–1310. [Google Scholar]
- Floer, C.; Elmazria, O.; Naumenko, N.; Bartoli, F.; Ghanbaja, J.; Aubert, T.; Hage-Ali, S. AlN/Pt/LN-Y128 packageless acoustic wave temperature sensor. IEEE Trans. Ultrason. Ferroelectr. Freq. Control. 2021, 68, 2315–2318. [Google Scholar] [CrossRef]
- Gachon, D.; Majjad, H.; Daniau, W.; Laude, V.; Ballandras, S. Excitation of acoustic waves at the interface between lithium niobate and silicon plates. In Proceedings of the 2007 IEEE International Frequency Control Symposium Joint with the 21st European Frequency and Time Forum, Geneva, Switzerland, 29 May–1 June 2007; pp. 733–736. [Google Scholar] [CrossRef]
- Sfregola, F.A.; De Palo, R.; Gaudiuso, C.; Mezzapesa, F.P.; Patimisco, P.; Ancona, A.; Volpe, A. Influence of working parameters on multi-shot femtosecond laser surface ablation of lithium niobate. Opt. Laser Technol. 2024, 177, 111067. [Google Scholar] [CrossRef]
- Srikantaprasad, G.; Mathew, N.T. Fabrication of microchannels for microfluidic devices using laser micromachining. Mater. Today Proc. 2023. [Google Scholar] [CrossRef]
- Stringer, M.; Zeng, Z.; Zhang, X.; Chai, Y.; Li, W.; Zhang, J.; Ong, H.; Liang, D.; Dong, J.; Li, Y.; et al. Methodologies, technologies, and strategies for acoustic streaming-based acoustofluidics. Appl. Phys. Rev. 2023, 10, 011315. [Google Scholar] [CrossRef]
- Hsu, J.-C. Enhanced Micromixing Using Surface Acoustic Wave Devices: Fundamentals, Designs, and Applications. Micromachines 2025, 16, 619. [Google Scholar] [CrossRef]
- Amorim, D.; Sousa, P.C.; Abreu, C.; Catarino, S.O. A Review of SAW-Based Micro- and Nanoparticle Manipulation in Microfluidics. Sensors 2025, 25, 1577. [Google Scholar] [CrossRef]











| Strategy | Description |
|---|---|
| Optimized IDT design | Design the interdigital transducers (IDTs) by optimizing geometry, directivity, and number of fingers to maximize the electromechanical coupling coefficient (K2) of the propagating acoustic mode. |
| Minimization of wave reflections | Minimize acoustic wave reflections at the substrate edges and the rear surface of the LiNbO3 substrate to reduce energy loss and signal distortion. |
| Adhesive film control | Ensure proper flatness of the adhesive layer and eliminate air bubbles during the bonding process to maintain uniform acoustic coupling. |
| Alternative adhesive materials | Consider alternative adhesives such as PMMA (polymethyl methacrylate) or PI (polyimide) to potentially improve mechanical and acoustic properties. |
| Crystal cut selection | Explore different cuts of the LiNbO3 crystal that support interfacial acoustic wave (IAW) propagation with optimal K2 values. |
| Alternative IDT materials | Investigate the use of different materials (and their thickness) for the IDTs to enhance electrical conductivity, acoustic performance, and fabrication compatibility. |
Disclaimer/Publisher’s Note: The statements, opinions and data contained in all publications are solely those of the individual author(s) and contributor(s) and not of MDPI and/or the editor(s). MDPI and/or the editor(s) disclaim responsibility for any injury to people or property resulting from any ideas, methods, instructions or products referred to in the content. |
© 2025 by the authors. Licensee MDPI, Basel, Switzerland. This article is an open access article distributed under the terms and conditions of the Creative Commons Attribution (CC BY) license (https://creativecommons.org/licenses/by/4.0/).
Share and Cite
Caliendo, C.; Benetti, M.; Cannatà, D.; Laidoudi, F. Insight into the Propagation of Interface Acoustic Waves in Rotated YX-LiNbO3/SU-8/Si Structures. Micromachines 2025, 16, 861. https://doi.org/10.3390/mi16080861
Caliendo C, Benetti M, Cannatà D, Laidoudi F. Insight into the Propagation of Interface Acoustic Waves in Rotated YX-LiNbO3/SU-8/Si Structures. Micromachines. 2025; 16(8):861. https://doi.org/10.3390/mi16080861
Chicago/Turabian StyleCaliendo, Cinzia, Massimiliano Benetti, Domenico Cannatà, and Farouk Laidoudi. 2025. "Insight into the Propagation of Interface Acoustic Waves in Rotated YX-LiNbO3/SU-8/Si Structures" Micromachines 16, no. 8: 861. https://doi.org/10.3390/mi16080861
APA StyleCaliendo, C., Benetti, M., Cannatà, D., & Laidoudi, F. (2025). Insight into the Propagation of Interface Acoustic Waves in Rotated YX-LiNbO3/SU-8/Si Structures. Micromachines, 16(8), 861. https://doi.org/10.3390/mi16080861

