Investigation of Poling for Pb(Zr, Ti)O3/Pb(Zr, Ti)O3 Sol–Gel Composite †
Abstract
1. Introduction
2. Materials and Methods
3. Results and Discussion
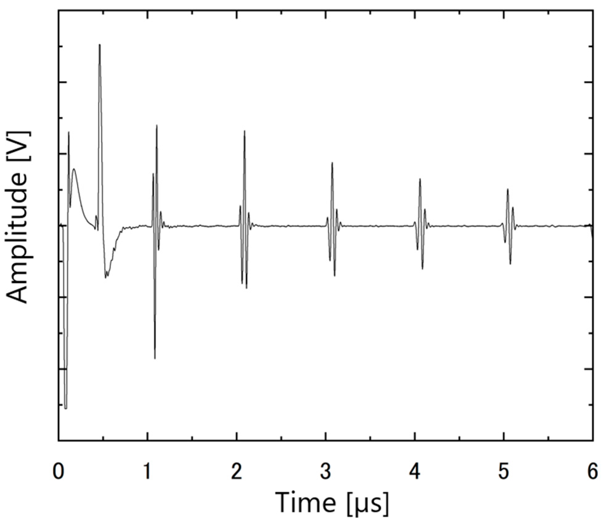
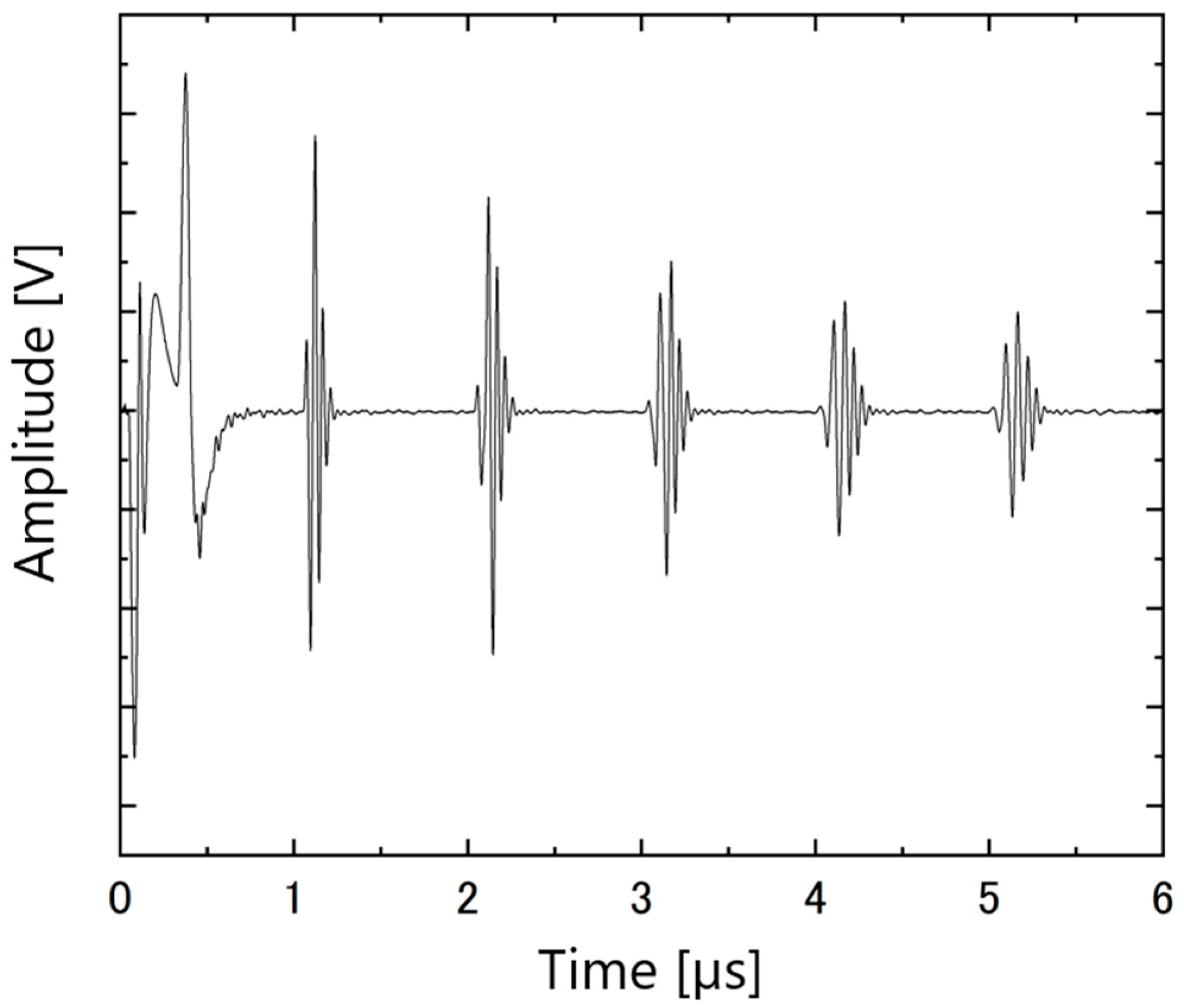
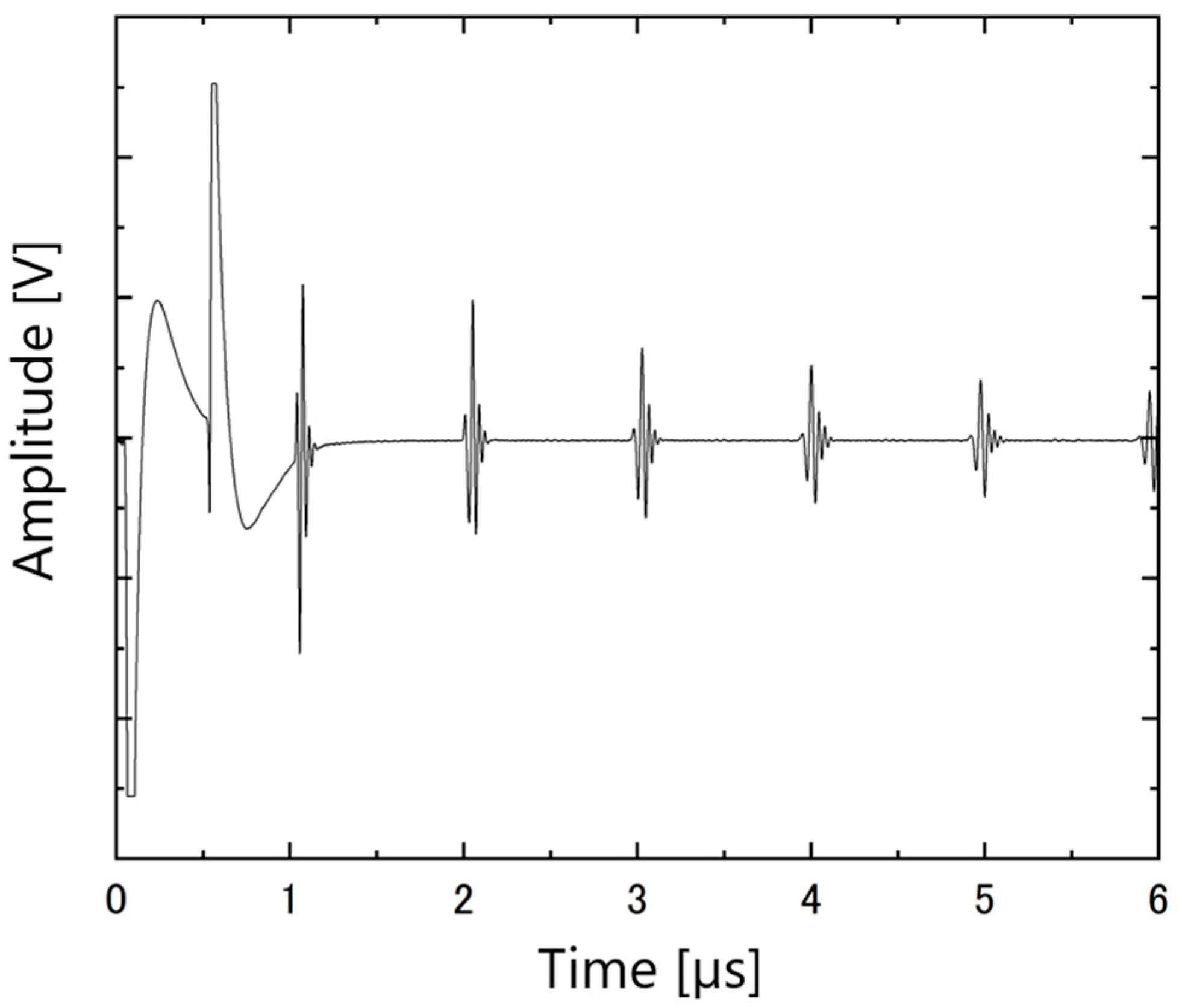
3.1. AC Poling Condition Optimization for PZT/PZT
3.2. Comparison with DC Poling and Corona Discharge Poling
4. Conclusions
Author Contributions
Funding
Data Availability Statement
Acknowledgments
Conflicts of Interest
References
- Chatillon, S.; Cattiaux, G.; Serre, M.; Roy, O. Ultrasonic Non-Destructive Testing of Pieces of Complex Geometry with a Flexible Phased Array Transducer. Ultrasonics 2000, 38, 131–134. [Google Scholar] [CrossRef] [PubMed]
- Fernandes, B.; Miller, G.; Zaid, M.; Gaydecki, P. A Method for Imaging Steel Bars Behind a Ferrous Steel Boundary. AIP Conf. Proc. 2006, 820, 1290–1297. [Google Scholar]
- Zhang, S.; Yu, F. Piezoelectric Materials for High Temperature Sensors. J. Am. Ceram. Soc. 2011, 94, 3153–3170. [Google Scholar] [CrossRef]
- Belanger, P.; Bouchy, S.; Zednik, R. Ultrasonic Transducer for High Temperature for Thickness Monitoring. J. Acoust. Soc. Am. 2023, 154, A151. [Google Scholar] [CrossRef]
- Barrow, D.A.; Petroff, T.E.; Sayer, M. Method for Producing thick Ceramic Films by a Sol Gel Coating Process. U.S. Patent 5585136, 17 December 1996. [Google Scholar]
- Min, S.; Cho, S. Sol–Gel Composites-Based Flexible and Transparent Amorphous Indium Gallium Zinc Oxide Thin-Film Synaptic Transistors. Molecules 2021, 26, 7233. [Google Scholar] [CrossRef]
- Fujimoto, S.; Namihira, T.; Iwata, K.; Kobayashi, M. Curie Temperature and High Temperature Behavior of Pb(Zr, Ti)O3/Pb(Zr, Ti)O3 Sol–Gel Composites. Jpn. J. Appl. Phys. 2015, 54, 07HB04. [Google Scholar] [CrossRef]
- Morton, E.; Lockwood, G.R. Evaluation of Kerfless Linear Arrays. In Proceedings of the 2002 IEEE Ultrasonics Symposium, Munich, Germany, 8–11 October 2002; Volume 2, pp. 1257–1260. [Google Scholar] [CrossRef]
- Yang, H.C.; Siu, C.T.; Choi, H.; Zheng, F.; Liu, C.; Qiu, W.; Kim, H.H.; Shung, K.K. Low Cross-Talk Kerfless Annular Array Ultrasound Transducers Using 1-3 Piezocomposites with Pseudo-Random Pillars. In Proceedings of the 2012 IEEE International Ultrasonics Symposium, Dresden, Germany, 7–10 October 2012; pp. 1560–1563. [Google Scholar] [CrossRef]
- Zawada, T.; Bierregaard, L.M.; Ringgaard, E.; Xu, R.; Guizzetti, M.; Levassort, F.; Certon, D. Characterization of Kerfless Linear Arrays Based on PZT Thick Film. IEEE Trans. Ultrason. Ferroelectr. Freq. Control 2017, 64, 1409–1416. [Google Scholar] [CrossRef]
- Tanabe, M.; Sato, K.; Uda, T.; Kobayashi, M. Thin, Flexible, and Biocompatible Medical Ultrasound Array Transducer Using a Sol–Gel Composite Spray Technique. Jpn. J. Appl. Phys. 2023, 62, SJ1034. [Google Scholar] [CrossRef]
- Waller, D.; Iqbal, T.; Safari, A. Poling of Lead Zirconate Titanate Ceramics and Flexible Piezoelectric Composites by the Corona Discharge Technique. J. Am. Ceram. Soc. 1989, 72, 322–324. [Google Scholar] [CrossRef]
- Li, Y.; Feng, W.; Meng, L.; Tse, K.M.; Li, Z.; Huang, L.; Su, Z.; Guo, S. Investigation on In-Situ Sprayed, Annealed and Corona Poled PVDF-TrFE Coatings for Guided Wave-Based Structural Health Monitoring: From Crystallization to Piezoelectricity. Mater. Des. 2021, 199, 1094125. [Google Scholar] [CrossRef]
- Nakamura, Y.; Inanaga, Y.; Ota, K. Using Tribocharging to Recharge Electret Filters After Washing. J. Inst. Electrostat. Jpn. 2017, 41, 33–38. [Google Scholar]
- Liaw, C.F.; Chen, I.C. Poling of Multiple PVDF Films by Moving Corona Discharge. Ferroelectrics 1989, 99, 127–132. [Google Scholar] [CrossRef]
- Waller, D.; Safari, A. Corona Poling of PZT Ceramics and Flexible Piezoelectric Composites. Ferroelectrics 1989, 87, 189–195. [Google Scholar] [CrossRef]
- Xu, J.; Deng, H.; Zeng, Z.; Zhang, Z.; Zhao, K.; Chen, J.; Nakamori, N.; Wang, F.; Ma, J.; Li, X.; et al. Piezoelectric Performance Enhancement of Pb(Mg1/3Nb2/3)O3-0.25PbTiO3 Crystals by Alternating Current Polarization for Ultrasonic Transducer. Appl. Phys. Lett. 2018, 112, 182901. [Google Scholar] [CrossRef]
- Luo, C.; Karaki, T.; Yamashita, Y.; Xu, J. High Temperature and Low Voltage AC Poling for 0.24Pb(In1/2Nb1/2)O3-0.46Pb(Mg1/3Nb2/3)O3-0.30PbTiO3 Piezoelectric Single Crystals Manufactured by Continuous-Feeding Bridgman Method. J. Mater. 2021, 7, 621–628. [Google Scholar]
- Yamamoto, N.; Yamashita, Y.; Hosono, Y.; Itsumi, K.; Higuchi, K. Ultrasonic Probe, Piezoelectric Transducer, Method of Manufacturing Ultrasonic Probe, and Method of Manufacturing Piezoelectric Transducer. U.S. Patent Application Publication 0062261 A1, 6 March 2014. [Google Scholar]
- Yamashita, Y.; Yamamoto, N.; Hosono, Y.; Itsumi, K. Piezoelectric Transducer, Publication Classification Ultrasonic Probe, and Piezoelectric Transducer Manufacturing Method. U.S. Patent Application Publication 0372219 A1, 24 December 2015. [Google Scholar]
- Yamashita, Y.; Sun, H.; Xiang, Y.; Maiwa, H.; Lee, H.Y.; Kim, H.P.; Jiang, X. Enhanced Electrical Properties by AC Poling of Relaxor-Pb(Zr, Ti)O3 Single Crystals Manufactured by the Solid State Crystal Growth Method. Jpn. J. Appl. Phys. 2023, 62, SM1009. [Google Scholar] [CrossRef]
- Xiong, J.; Wang, Z.; Yang, X.; Su, R.; Long, X.; He, C. Effects of Alternating Current Poling on the Dielectric and Piezoelectric Properties of Pb(In0.5Nb0.5)O3–PbTiO3 Crystals with a High Curie Temperature. RSC Adv. 2021, 11, 12826–12832. [Google Scholar] [CrossRef]
- Kim, S.; Khanal, G.P.; Nam, H.; Fujii, I.; Ueno, S.; Wada, S. Effects of AC- and DC-Bias Field Poling on Piezoelectric Properties of Bi-Based Ceramics. J. Ceram. Soc. Jpn. 2019, 127, 353–356. [Google Scholar] [CrossRef]
- Shibiru, A.T.; Fujii, I.; Sapkota, P.; Nam, H.; Khanal, G.P.; Ueno, S.; Wada, S. Advancing Piezoelectric Properties of Barium Titanate Ceramic through AC + DC Field Poling over Curie Temperature. Jpn. J. Appl. Phys. 2024, 63, 08SP10. [Google Scholar] [CrossRef]
- Ma, J.; Zhu, K.; Huo, D.; Qi, X. Performance Enhancement of the Piezoelectric Ceramics by Alternating Current Polarizing. Appl. Phys. Lett. 2021, 118, 022901. [Google Scholar] [CrossRef]
- Ono, R.; Hamada, T.; Kobayashi, M. Investigation of AC Poling of Sol-Gel Composites. In Proceedings of the Symposium on Ultrasonic Electronics 2024, Tokyo, Japan, 25–27 November 2024. [Google Scholar]
- Guo, Q.; Cao, G.Z.; Shen, I.Y. Measurements of Piezoelectric Coefficient d33 of Lead Zirconate Titanate Thin Films Using a Mini Force Hammer. J. Vib. Acoust. 2013, 135, 011003. [Google Scholar] [CrossRef]














| Material | [pC/N] | [%] | |
|---|---|---|---|
| HIZIRCO L | 1800 | 400 | 70 |
| PZT sol–gel [27] | ~274 | ~21 | - |
| Voltage Off-Phase Angle [°] | Measured d33 [pC/N] |
|---|---|
| 0 | 41.2 |
| 90 | −33.5 |
| 180 | −30.9 |
| 270 | 28.8 |
| Sample | Poling Method | Measured
[pC/N] | Sensitivity [dB] | Poling Time [s] |
|---|---|---|---|---|
| PZT/PZT | AC | −35.1 ± 0.8 | 11.4 ± 0.1 | 10 |
| Corona | −36.7 ± 2.9 | 7.2 ± 0.4 | 300 | |
| DC | −27.1± 0.7 | 2.5 ± 0.2 | 1200 |
Disclaimer/Publisher’s Note: The statements, opinions and data contained in all publications are solely those of the individual author(s) and contributor(s) and not of MDPI and/or the editor(s). MDPI and/or the editor(s) disclaim responsibility for any injury to people or property resulting from any ideas, methods, instructions or products referred to in the content. |
© 2025 by the authors. Licensee MDPI, Basel, Switzerland. This article is an open access article distributed under the terms and conditions of the Creative Commons Attribution (CC BY) license (https://creativecommons.org/licenses/by/4.0/).
Share and Cite
Nakamura, M.; Ono, R.; Kobayashi, M. Investigation of Poling for Pb(Zr, Ti)O3/Pb(Zr, Ti)O3 Sol–Gel Composite. Micromachines 2025, 16, 760. https://doi.org/10.3390/mi16070760
Nakamura M, Ono R, Kobayashi M. Investigation of Poling for Pb(Zr, Ti)O3/Pb(Zr, Ti)O3 Sol–Gel Composite. Micromachines. 2025; 16(7):760. https://doi.org/10.3390/mi16070760
Chicago/Turabian StyleNakamura, Mako, Ryota Ono, and Makiko Kobayashi. 2025. "Investigation of Poling for Pb(Zr, Ti)O3/Pb(Zr, Ti)O3 Sol–Gel Composite" Micromachines 16, no. 7: 760. https://doi.org/10.3390/mi16070760
APA StyleNakamura, M., Ono, R., & Kobayashi, M. (2025). Investigation of Poling for Pb(Zr, Ti)O3/Pb(Zr, Ti)O3 Sol–Gel Composite. Micromachines, 16(7), 760. https://doi.org/10.3390/mi16070760

