A X-Band Integrated Passive Device Structure Based on TMV-Embedded FOWLP
Abstract
1. Introduction
2. Practical Process-Driven Design of the Integrated Passive Device Structure
2.1. Revised IPD Structure for Enhanced Process Feasibility
2.2. Preparation Process of the IPD Structure
2.3. Test Method of the IPD Structure Based on Vertically Soldered SMPM Interface
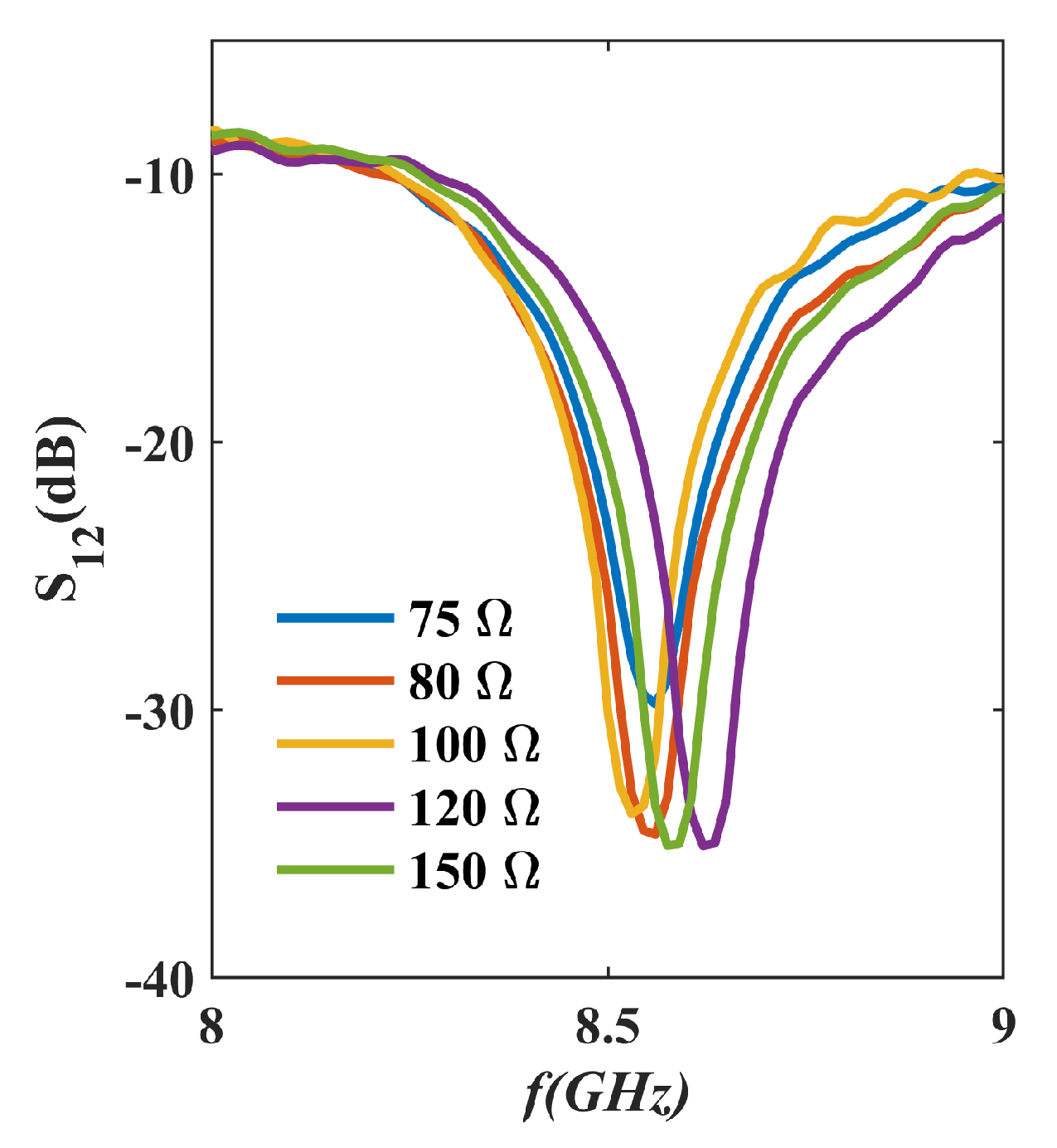
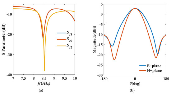
2.4. Dimensions and Simulation Results of the Integrated Passive Device
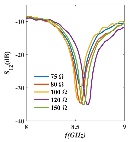
3. Measurement of the Integrated Passive Device Structure
4. Conclusions
Author Contributions
Funding
Data Availability Statement
Acknowledgments
Conflicts of Interest
References
- Abidin, Z.; Effendi, M.R.; Munir, A. System simulation of low power FMCW-based X-band weather radar. In Proceedings of the 2017 3rd International Conference on Wireless and Telematics (ICWT), Palembang, Indonesia, 27–28 July 2017; pp. 134–137. [Google Scholar] [CrossRef]
- Esposito, C.; Natale, A.; Palmese, G.; Berardino, P.; Lanari, R.; Perna, S. On the Capabilities of the Italian Airborne FMCW AXIS InSAR System. Remote. Sens. 2020, 12, 539. [Google Scholar] [CrossRef]
- Lee, J.; Park, M.; Eo, I.; Koo, B. An X-Band FMCW Radar for Detection and Tracking of Miniaturized UAVs. In Proceedings of the 2017 International Conference on Computational Science and Computational Intelligence (CSCI), Las Vegas, NV, USA, 14–16 December 2017; pp. 1844–1845. [Google Scholar] [CrossRef]
- Chou, H.C.; Kao, Y.H.; Peng, C.C.; Wang, Y.J.; Chu, T.S. An X-Band Frequency-Modulated Continuous-Wave Radar Sensor System With a Single-Antenna Interface for Ranging Applications. IEEE Trans. Microw. Theory Tech. 2018, 66, 4216–4231. [Google Scholar] [CrossRef]
- Wang, S.; Tsai, K.H.; Huang, K.K.; Li, S.X.; Wu, H.S.; Tzuang, C.K.C. Design of X-Band RF CMOS Transceiver for FMCW Monopulse Radar. IEEE Trans. Microw. Theory Tech. 2009, 57, 61–70. [Google Scholar] [CrossRef]
- Dabi, A.; Rameshbabu, A.; Ghanvat, V.; Pinto, R. Compact Short Range X-Band FMCW Radar. In Proceedings of the 2021 IEEE MTT-S International Microwave and RF Conference (IMARC), Kanpur, India, 17–19 December 2021; pp. 1–4. [Google Scholar] [CrossRef]
- Huang, T.Y.; Shen, T.M.; Wu, R.B. A system-on-package integration of X-band FMCW sensor RF frontend module. In Proceedings of the 2009 Asia Pacific Microwave Conference, Singapore, 7–10 December 2009; pp. 147–150. [Google Scholar] [CrossRef]
- Lian, Z.-G.; Liu, F.-L.; Chen, X.-G. A Design of X-band Vertical Transmission T/R Module. In Proceedings of the 2022 International Conference on Microwave and Millimeter Wave Technology (ICMMT), Harbin, China, 12–15 August 2022; pp. 1–3. [Google Scholar] [CrossRef]
- Jankiraman, M. FMCW Radar Design; Artech House Radar Library; Artech House: London, UK, 2018. [Google Scholar]
- Cheema, H.M.; Shamim, A. The last barrier: On-chip antennas. IEEE Microw. Mag. 2013, 14, 79–91. [Google Scholar] [CrossRef]
- Zhang, Y.P.; Sun, M.; Lin, W. Novel Antenna-in-Package Design in LTCC for Single-Chip RF Transceivers. IEEE Trans. Antennas Propag. 2008, 56, 2079–2088. [Google Scholar] [CrossRef]
- Zhang, Y.; Mao, J. An overview of the development of antenna-in-package technology for highly integrated wireless devices. Proc. IEEE 2019, 107, 2265–2280. [Google Scholar] [CrossRef]
- Huang, Y.S.; Ni, D.X.; Zhou, L.; Zhao, Z.; Zhang, C.R.; Wang, S.; Xie, Y.; Liu, R.Q.; Mao, J.F. A 1T2R Heterogeneously Integrated Phased-Array FMCW Radar Transceiver With AMC-Based Antenna in Package in the W-Band. IEEE Trans. Microw. Theory Tech. 2024, 72, 3772–3787. [Google Scholar] [CrossRef]
- Bhutani, A.; Goettel, B.; Pauli, M.; Zwick, T. 122 GHz FMCW Radar System-in-Package in LTCC Technology. In Proceedings of the 2019 16th European Radar Conference (EuRAD), Paris, France, 2–4 October 2019; pp. 373–376. [Google Scholar]
- Chen, K.; Yu, B.; Wang, Z.; Zhao, B.; Qu, S.; Liu, J.; Pan, G.; Yan, B.; Xu, R.; Xu, Y. Broadband X-Band LTCC Front-End Prototype Integrated With Air-Cavities-Embedded Antenna-in-Package. IEEE Antennas Wirel. Propag. Lett. 2023, 22, 2437–2441. [Google Scholar] [CrossRef]
- Kam, D.G.; Liu, D.; Natarajan, A.; Reynolds, S.K.; Floyd, B.A. Organic Packages With Embedded Phased-Array Antennas for 60-GHz Wireless Chipsets. IEEE Trans. Components Packag. Manuf. Technol. 2011, 1, 1806–1814. [Google Scholar] [CrossRef]
- Townley, A.; Swirhun, P.; Titz, D.; Bisognin, A.; Gianesello, F.; Pilard, R.; Luxey, C.; Niknejad, A.M. A 94-GHz 4TX–4RX Phased-Array FMCW Radar Transceiver With Antenna-in-Package. IEEE J. Solid-State Circuits 2017, 52, 1245–1259. [Google Scholar] [CrossRef]
- Salarpour, M.; Farzaneh, F.; Staszewski, R.B. A low cost-low loss broadband integration of a CMOS transmitter and its antenna for mm-wave FMCW radar applications. AEU-Int. J. Electron. Commun. 2018, 95, 313–325. [Google Scholar] [CrossRef]
- Frank, M.; Reissland, T.; Lurz, F.; Voelkel, M.; Lambrecht, F.; Kiefl, S.; Ghesquiere, P.; Jalli Ng, H.; Kissinger, D.; Weigel, R.; et al. Antenna and Package Design for 61- and 122-GHz Radar Sensors in Embedded Wafer-Level Ball Grid Array Technology. IEEE Trans. Microw. Theory Tech. 2018, 66, 5156–5168. [Google Scholar] [CrossRef]
- PourMousavi, M.; Wojnowski, M.; Agethen, R.; Weigel, R.; Hagelauer, A. Antenna array in eWLB for 61 GHz FMCW radar. In Proceedings of the 2013 Asia-Pacific Microwave Conference Proceedings (APMC), Seoul, Republic of Korea, 5–8 November 2013; pp. 310–312. [Google Scholar] [CrossRef]
- Furqan, M.; Ahmed, F.; Feger, R.; Aufinger, K.; Stelzer, A. A 120-GHz wideband FMCW radar demonstrator based on a fully-integrated SiGe transceiver with antenna-in-package. In Proceedings of the 2016 IEEE MTT-S International Conference on Microwaves for Intelligent Mobility (ICMIM), San Diego, CA, USA, 19–20 May 2016; pp. 1–4. [Google Scholar] [CrossRef]
- Yang, J.; Xu, L.; Yang, K. Design and Optimization of a Fan-Out Wafer-Level Packaging-Based Integrated Passive Device Structure for FMCW Radar Applications. Micromachines 2024, 15, 1311. [Google Scholar] [CrossRef] [PubMed]
- Yin, Y.; Xia, C.; Liu, S.; Zhang, Z.; Chen, C.; Wang, G.; Wang, C.; Wu, Y. Ultrathin Antenna-in-Package Based on TMV-Embedded FOWLP for 5G mm-Wave Applications. Electronics 2024, 13, 839. [Google Scholar] [CrossRef]
- Ma, L.; Lai, J.; Yin, Y.; Xia, C.; Gu, C.; Mao, J. A Wideband Co-Linearly Polarized Full-Duplex Antenna-in-Package With High Isolation for Integrated Sensing and Communication. IEEE Antennas Wirel. Propag. Lett. 2023, 22, 2185–2189. [Google Scholar] [CrossRef]
- Brooker, G. Understanding millimetre wave FMCW radars. In Proceedings of the 1st International Conference on Sensing Technology, Palmerston North, New Zealand, 21–23 November 2005. [Google Scholar]
- Wang, X.; Li, Y.; Li, P. Microwave Technology and Antennas, 4th ed.; Publishing House of Electronics Industry: Beijing, China, 2019. (In Chinese) [Google Scholar]
















| Name | Length (µm) | Width (µm) | Thickness (µm) | Radius (µm) | Permittivity | Tan() | Material |
|---|---|---|---|---|---|---|---|
| M1–M5 | — | — | 5 | — | — | — | Cu |
| P1 P2, P3, P6 P4, P5 | — | — | 25 10 15 | — | 3.3 | 0.008 | RDL dielectric |
| TMV dielectric | 600 | 600 | 450 | — | 4.4 | 0.01 | Core |
| TMV via | — | — | 450 | 60 | — | — | Cu |
| EMC | — | — | 450 | — | 3.69 | 0.006 | EMC |
| Characters | Descriptions | Values |
|---|---|---|
| Maximum measurement distance | 6 m | |
| Receiver sensitivity | −80 dBm | |
| Transmitter power | 10 dBm | |
| Wavelength | 0.0353 m | |
| Target cross-section | 1 m2 |
| Parameters | Simulated Values | Measured Values |
|---|---|---|
| Resonance frequency | 8.460 GHz | 8.365 GHz |
| Minimum | −22.11 dB | −24.38 dB |
| @ 8.5 GHz | −19.42 dB | −14.62 dB |
| Bandwidth ( < −10 dB) | 440 MHz | 645 MHz |
| Maximum isolation | 37.93 dB @ 8.52 GHz | 33.88 dB @ 8.53 GHz |
| Bandwidth (iso. > 20 dB) | 134 MHz | 150 MHz |
| Peak gain @ 8.5 GHz | 2.80 dBi | 2.02 dBi |
| Work | Technique | Frequency (GHz) | Size () | Integration Level of Passive Devices | Interconnection Method to MMIC | Relative Position to MMIC |
|---|---|---|---|---|---|---|
| [13] | Silicon | 88–96 | 9.09 × 4.99 × 0.156 | 1 Tx/2 Rx antenna array | RDL | Horizontal |
| [14] | LTCC | 122 | 2.85 × 2.40 × 0.171 | 1 Tx/1 Rx antenna array | Wire bonding | Horizontal |
| [15] | LTCC | 8–12 | 0.38 × 0.65 × 0.095 | 1 full-duplex Tx/Rx antenna array | Wire bonding | Vertical |
| [17] | HDI | 94 | 3.76 × 3.76× 0.155 | 1 Tx/1 Rx antenna array | Flip-chip | Vertical |
| [18] | PCB | 60 | More than 0.34 × 0.268 × 0.06 | 1 Tx antenna | Wire bonding | Horizontal |
| [19] | FOWLP | 61 122 | 1.63 × 1.63 × 0.071 3.25 × 3.25 × 0.142 | 1 Tx/1 Rx antenna array | RDL | Horizontal |
| This work | FOWLP | 8.5 | 0.48 × 0.68 × 0.016 | 1 full-duplex Tx/Rx antenna and a microstrip duplexer | RDL, solder ball stacking | Vertical |
Disclaimer/Publisher’s Note: The statements, opinions and data contained in all publications are solely those of the individual author(s) and contributor(s) and not of MDPI and/or the editor(s). MDPI and/or the editor(s) disclaim responsibility for any injury to people or property resulting from any ideas, methods, instructions or products referred to in the content. |
© 2025 by the authors. Licensee MDPI, Basel, Switzerland. This article is an open access article distributed under the terms and conditions of the Creative Commons Attribution (CC BY) license (https://creativecommons.org/licenses/by/4.0/).
Share and Cite
Yang, J.; Xu, L.; Yin, X.; Yang, K. A X-Band Integrated Passive Device Structure Based on TMV-Embedded FOWLP. Micromachines 2025, 16, 719. https://doi.org/10.3390/mi16060719
Yang J, Xu L, Yin X, Yang K. A X-Band Integrated Passive Device Structure Based on TMV-Embedded FOWLP. Micromachines. 2025; 16(6):719. https://doi.org/10.3390/mi16060719
Chicago/Turabian StyleYang, Jiajie, Lixin Xu, Xiangyu Yin, and Ke Yang. 2025. "A X-Band Integrated Passive Device Structure Based on TMV-Embedded FOWLP" Micromachines 16, no. 6: 719. https://doi.org/10.3390/mi16060719
APA StyleYang, J., Xu, L., Yin, X., & Yang, K. (2025). A X-Band Integrated Passive Device Structure Based on TMV-Embedded FOWLP. Micromachines, 16(6), 719. https://doi.org/10.3390/mi16060719

