Radomizing an Antenna for a SAR-Based ETA Radar System While Ensuring Imaging Accuracy: A Focus on Phase Shifts
Abstract
1. Introduction
2. Materials and Methods
2.1. ETA Radar Antenna
2.2. Radomized ETA Radar Antenna
2.2.1. Radiation Pattern Magnitude
2.2.2. Radiation Pattern Phase
2.3. Point Spread Function (PSF)
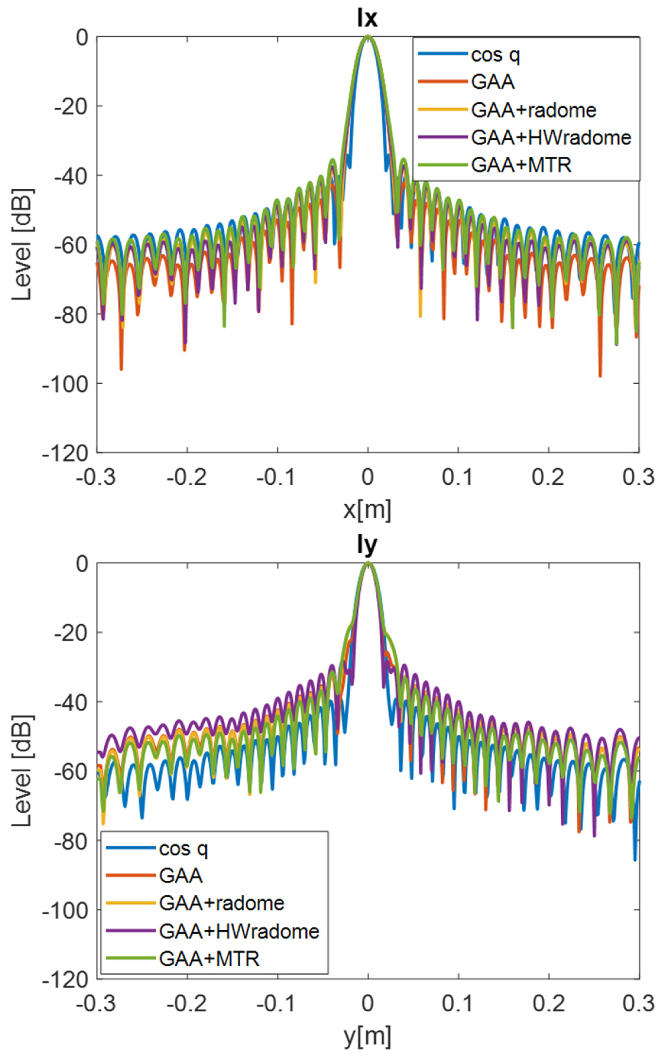
- PSF retrieval, which is achieved by positioning a point source in front of the randomized antenna and obtaining the field distribution in the resultant image. This procedure is repeated for each radome under consideration. An icosahedron is often employed as a point source in radar imaging due to its geometric properties. The icosahedron, with its 20 equilateral triangular faces, approximates a spherical shape, providing a uniform radar cross-section (RCS) from multiple viewing angles. This uniformity is essential for calibration purposes, ensuring consistent and reliable measurements across different orientations. The use of an icosahedron helps in minimizing the effects of directional biases and provides a stable reference for evaluating the radar system’s performance [35]. In order to be electrically small, the diameter of the icosahedron is set to λ/10. Figure 9 and Figure 10 show the 2D PSF (X and Y axes) obtained for a cosine-q (cosq) reference radiation pattern (with q = 6, so that the directivity equals the one of the GAA un-radomized antenna), for the un-radomized GAA antenna, and for the three radomes under analysis, both for the 24.05–24.25 GHz frequency band and for an extended 22–26 GHz band to ensure range resolution.
- PSF analysis, which is performed by comparing the PSF obtained for each radome. To this aim, the field distribution and the degree of blurring are examined. A radome that induces less spreading will exhibit a more concentrated PSF, thereby enhancing image quality. The 3 dB bandwidth is typically measured between the points where the amplitude of the PSF falls to half of its maximum value (i.e., −3 dB points). The secondary lobe level refers to the amplitude of the side lobes relative to the main lobe. In an ideal cosine-q pattern, the secondary lobes are the smaller peaks that appear on either side of the main lobe. The level of these secondary lobes is usually expressed in decibels (dB) relative to the peak of the main lobe. The secondary lobe level is important for understanding the amount of energy that is spread outside the main lobe, which can affect the resolution and contrast of the imaging system. From Figure 9, it can be observed that the PSF varies very little in the two cuts (X and Y axes) and is very similar for all the cases under study. The same applies for Figure 10, in which the extended 22–26 GHz frequency band is considered. In accordance with these statements, from Table 3 and Table 4, it can be observed that the −3 dB bandwidth of the PSF is almost identical for all the considered devices and very similar to the one of the cosq pattern whether in the 24.05–24.25 GHz or in the 22–26 GHz band. In the X axis, the −3 dB bandwidth is slightly narrower for the GAA+MTR than for un-radomized GAA and the other randomization approaches for both frequency bands. Considering the un-radomized antenna and the radomization approaches, the secondary lobe level is slightly lower in the X axis than in the Y one for the 24.05–24.25 GHz. For the extended frequency band, the difference is less remarkable, and the GAA+MTR exhibits similar level for both axes. In all cases and for both frequency bands, the secondary lobe levels are very low (below −30 dB) but for the HW-radome in the Y axis, which is slightly higher; therefore, good resolution and contrast would be expected for the PSF images.Considering the PSF in the X-Z plane shown in Figure 11 and as could be expected for the Z axis, in all cases, the main lobe is centered at 15 cm, which matches the target position. In the X axis, once again, the secondary lobe level is well below −30 dB for all the configurations, and the −3 dB bandwidth is very similar for all of them (see Table 5).
- 3.
- Image quality assessment, which is carried out by utilizing the PSF to evaluate the spatial resolution and contrast of the images produced with each radome. PSF images for the X-Y cuts of reflectivity over the plane of the point-like target were first obtained [15]. From the images depicted in Figure 12 and Figure 13, it can be observed that the point-like target is perfectly detected in all the considered situations and for both frequency bands. In agreement with the PSF results, the effect of the secondary lobe level on the image quality is lower for the X-axis; meanwhile, for the Y-axis, the worst case is for the HWradome, exhibiting higher blurring as could be expected from Table 3 and Table 4. On the Y-axis, such an effect is lower for the MTR. On the X-axis, the effect starts to be noticeable around the target for the GAA without a radome and then increases slightly, being very similar for all radomes.
3. Results
3.1. Imaging Results
Electromagnetic Images
4. Discussion
5. Conclusions
Author Contributions
Funding
Data Availability Statement
Conflicts of Interest
References
- Ranaweera, P.S.; Madhuranga, S.H.R.; Fonseka, H.F.A.S.; Karunathilaka, D.M.L.D. Electronic travel aid system for visually impaired people. In Proceedings of the 2017 5th International Conference on Information and Communication Technology (ICoIC7), Melaka, Malaysia, 17–19 May 2017; pp. 1–6. [Google Scholar] [CrossRef]
- Ehrlich, J.R.; Ramke, J.; Macleod, D.; Burn, H.; Lee, C.N.; Zhang, J.H.; Waldock, W.; Swenor, B.K.; Gordon, I.; Congdon, N.; et al. Association between vision impairment and mortality: A systematic review and meta-analysis. Lancet Glob. Health 2021, 9, 418–430. [Google Scholar] [CrossRef]
- Abreu, D.; Toledo, J.; Codina, B.; Suárez, A. Low-Cost Ultrasonic Range Improvements for an Assistive Device. Sensors 2021, 21, 4250. [Google Scholar] [CrossRef] [PubMed]
- Long, N.; Yan, H.; Wang, L.; Li, H.; Yang, Q. Unifying Obstacle Detection, Recognition, and Fusion Based on the Polarization Color Stereo Camera and LiDAR for the ADAS. Sensors 2022, 22, 2453. [Google Scholar] [CrossRef]
- Cardillo, E.; Caddemi, A. Insight on Electronic Travel Aids for Visually Impaired People: A Review on the Electromagnetic Technology. Electronics 2019, 8, 1281. [Google Scholar] [CrossRef]
- Sorowka, P.; Rohling, H. Pedestrian classification with 24 GHz chirp sequence radar. In Proceedings of the 2015 16th International Radar Symposium (IRS), Dresden, Germany, 24–26 June 2015; pp. 167–173. [Google Scholar] [CrossRef]
- Jia, Y.; Liu, Y.; Zhang, Y. A 24 GHz microstrip antenna array with large space and narrow beamwidth. Microw. Opt. Technol. Lett. 2020, 62, 1615–1620. [Google Scholar] [CrossRef]
- Qian, J.; Zhu, H.; Tang, M.; Mao, J. A 24 GHz Microstrip Comb Array Antenna With High Sidelobe Suppression for Radar Sensor. IEEE Antennas Wirel. Propag. Lett. 2021, 20, 1220–1224. [Google Scholar] [CrossRef]
- Peng, Z.; Muñoz-Ferreras, J.; Gómez-García, R.; Ran, L.; Li, C. 24-GHz biomedical radar on flexible substrate for ISAR imaging. In Proceedings of the IEEE MTT-S International Wireless Symposium (IWS), Shanghai, China, 14–16 March 2016; pp. 1–4. [Google Scholar] [CrossRef]
- Richards, A. Fundamentals of Radar Signal Processing; McGraw-Hill: New York, NY, USA, 2005. [Google Scholar]
- Álvarez, H.F.; ÁLvarez-Narciandi, G.; Las-Heras, F.; Laviada, J. System based on compact mmWave radar and natural body movement for assisting visually impaired people. IEEE Access 2021, 9, 125042–125051. [Google Scholar] [CrossRef]
- Gao, Y.; Ghasr, M.T.; Zoughi, R. Effects of and Compensation for Translational Position Error in Microwave Synthetic Aperture Radar Imaging Systems. IEEE Trans. Instrum. Meas. 2020, 69, 1205–1212. [Google Scholar] [CrossRef]
- Horst, M.J.; Ghasr, M.T.; Zoughi, R. Effect of Instrument Frequency Uncertainty on Wideband Microwave Synthetic Aperture Radar Images. IEEE Trans. Instrum. Meas. 2019, 68, 151–159. [Google Scholar] [CrossRef]
- Liu, C.; Qaseer, M.T.A.; Zoughi, R. Influence of Antenna Pattern on Synthetic Aperture Radar Resolution for NDE Applications. IEEE Trans. Instrum. Meas. 2021, 70, 8000911. [Google Scholar] [CrossRef]
- Flórez Berdasco, A.; Laviada, J.; Gómez, M.E.d.C.; Las-Heras, F. On the Impact of Nonuniform Phase Distributions Across the Beamwidth and Bandwidth of Antennas for SAR Imaging. IEEE Trans. Instrum. Meas. 2024, 73, 4507412. [Google Scholar] [CrossRef]
- He, Y.; Eleftheriades, G.V. A Thin Double-Mesh Metamaterial Radome for Wide-Angle and Broadband Applications at Millimeter-Wave Frequencies. IEEE Trans. Antennas Propag. 2020, 68, 2176–2185. [Google Scholar] [CrossRef]
- Özi, E.; Osipov, A.V.; Eibert, T.F. Metamaterials for Microwave Radomes and the Concept of a Metaradome: Review of the Literature. Int. J. Antennas Propag. 2017, 2017, 1356108. [Google Scholar] [CrossRef]
- Kraus, J.D. A backward angle-fire array antenna. IEEE Trans. Antennas Propag. 1964, 12, 48–50. [Google Scholar] [CrossRef]
- Conti, R.; Toth, J.; Dowling, T.; Weiss, J. The wire grid microstrip antenna. IEEE Trans. Antennas Propag. 1981, 29, 157–166. [Google Scholar] [CrossRef]
- Assimonis, S.; Samaras, T.; Fusco, V. Analysis of The Microstrip-Grid Array Antenna and Proposal of A New High-Gain, Low-Complexity, and Planar Long-Range WiFi Antenna. IET Microw. Antennas Propag. 2017, 12, 332–338. [Google Scholar] [CrossRef]
- Sun, M.; Zhang, Y.P. Grid Antenna Arrays. In Handbook of Antenna Technologies; Chen, Z., Liu, D., Nakano, H., Qing, X., Zwick, T., Eds.; Springer: Singapore, 2016. [Google Scholar] [CrossRef]
- Khan, O.; Pontes, J.; Li, X.; Waldschmidt, C. A wideband variable width microstrip grid array antenna. In Proceedings of the 44th European Microwave Conference, Rome, Italy, 5–10 October 2014; pp. 1644–1647. [Google Scholar] [CrossRef]
- Zhang, B.; Zhang, Y.P. Analysis and synthesis of millimeter-wave microstrip grid-array antennas. IEEE Antennas Propag. Mag. 2011, 53, 42–55. [Google Scholar] [CrossRef]
- Berdasco, A.F.; Laviada, J.; de Cos Gómez, M.E.; Las-Heras Andrés, F. Performance Analysis of Mm-Wave Wearable Antennas for Visually Impaired Aid. In Proceedings of the 17th European Conference on Antennas and Propagation (EuCAP), Florence, Italy, 26–31 March 2023; pp. 1–5. [Google Scholar] [CrossRef]
- Berdasco, A.F.; Laviada, J.; de Cos Gómez, M.E.; Las-Heras, F. Performance Evaluation of Millimeter-Wave Wearable Antennas for Electronic Travel Aid. IEEE Trans. Instrum. Meas. 2023, 72, 4507510. [Google Scholar] [CrossRef]
- de Cos Gómez, M.E.; Álvarez, H.F.; Las-Heras Andrés, F. PP-based 24 GHz wearable antenna. Wirel. Netw. 2023, 30, 867–882. [Google Scholar] [CrossRef]
- de Cos Gómez, M.E.; Flórez Berdasco, A.; Las-Heras Andrés, F. Eco-Friendly Metadome-Antenna Innovations for Wearable Millimeter Wave Radar Sensing. Appl. Sci. 2025, 15, 2674. [Google Scholar] [CrossRef]
- de Cos Gómez, M.E.; Florez Berdasco, A.; Álvarez, H.F.; Las-Heras Andrés, F. 24GHz Radar Antenna on Eco-Friendly Substrate. In Proceedings of the 17th European Conference on Antennas and Propagation (EuCAP), Florence, Italy, 26–31 March 2023; pp. 1–5. [Google Scholar] [CrossRef]
- de Cos, M.E.; Las-Heras, F. On the advantages of loop-based unit-cell’s metallization regarding the angular stability of artificial magnetic conductors. Appl. Phys. A 2015, 118, 699–708. [Google Scholar] [CrossRef]
- Simovski, C.R.; de Maagt, P.; Melchakova, I.V. High-impedance surfaces having stable resonance with respect to polarization and incidence angle. IEEE Trans. Antennas Propag. 2005, 53, 908–914. [Google Scholar] [CrossRef]
- Zhu, Y.; Bossavit, A.; Zouhdi, S. Surface impedance models for high impedance surfaces. Appl. Phys. A Mater. Sci. Process. 2011, 103, 677–683. [Google Scholar] [CrossRef]
- Rodriguez-Berral, R.; Molero, C.; Medina, F.; Mesa, F. Analytical Wideband Model for Strip/Slit Gratings Loaded with Dielectric Slabs. IEEE Trans. Microw. Theory Tech. 2012, 60, 3908–3918. [Google Scholar] [CrossRef]
- Anderson, I. On the theory of self-resonant grids. Bell Syst. Tech. J. 1975, 54, 1725–1731. [Google Scholar] [CrossRef]
- Zhuravlev, A.; Razevig, V.; Rogozin, A.; Chizh, M. Microwave Imaging of Concealed Objects with Linear Antenna Array and Optical Tracking of the Target for High-Performance Security Screening Systems. IEEE Trans. Microw. Theory Tech. 2023, 71, 1326–1336. [Google Scholar] [CrossRef]
- Bernhardt, P.; Siefring, C.; Thomason, J.; Rodriquez, S.; Nicholas, A.; Koss, S.; Nurnberger, M.; Hoberman, C.; Davis, M.; Hysell, D.; et al. Design and applications of a versatile HF radar calibration target in low Earth orbit. Radio Sci. 2008, 43, 1–23. [Google Scholar] [CrossRef]



















| GAA + Radome | MTR-GAA | |||||
|---|---|---|---|---|---|---|
| hr (mm) | G (dBi) | η (%) | FTBR (dB) | G (dBi) | η (%) | FTBR (dB) |
| 0.5 | 12.8 | 77 | 24.4 | 13.1 | 87 | 21.5 |
| 0.7 | 12.3 | 81 | 23.5 | 13.4 | 88 | 22.7 |
| 0.9 | 13.4 | 83 | 23.8 | 13.6 | 88 | 24.7 |
| 1.2 | 13.7 | 86 | 23.9 | 13.8 | 88 | 25.1 |
| 1.4 | 13.8 | 88 | 24.5 | 13.6 | 87 | 25 |
| [24.05–24.25] GHz | [23–25] GHz | |||
|---|---|---|---|---|
| L | σ | L | σ | |
| GAA | −42.8 | 0.17 | −61.2 | 14.37 |
| GAA+radome | −86.0 | 0.51 | −73.2 | 10.14 |
| GAA+MTR | −68.6 | 0.47 | −71.4 | 12.88 |
| GAA+HW-radome | −60.7 | 0.42 | −69.4 | 13.25 |
| IX | Cos q | GAA | GAA+radome | GAA+HWradome | GAA+MTR |
|---|---|---|---|---|---|
| −3 dB PSF BW (m) | 0.0142 | 0.0164 | 0.0163 | 0.0159 | 0.0149 |
| PSF SLL (dB) | −34.2 | −42.3 | −38.6 | −37.5 | −35.4 |
| IY | Cos q | GAA | GAA+radome | GAA+HWradome | GAA+MTR |
| −3 dB PSF BW (m) | 0.0146 | 0.0132 | 0.0134 | 0.0128 | 0.0138 |
| PSF SLL (dB) | −39.2 | −32.2 | −31.8 | −28.5 | −31.5 |
| IX | Cos q | GAA | GAA+radome | GAA+HWradome | GAA+MTR |
|---|---|---|---|---|---|
| −3 dB PSF BW (m) | 0.0143 | 0.0160 | 0.0156 | 0.0152 | 0.0149 |
| PSF SLL (dB) | −35.6 | −38.9 | −34.4 | −34.0 | −32.0 |
| IY | Cos q | GAA | GAA+radome | GAA+HWradome | GAA+MTR |
| −3 dB PSF BW (m) | 0.0147 | 0.0137 | 0.0140 | 0.0131 | 0.0145 |
| PSF SLL (dB) | −40.4 | −32.24 | −33.8 | −27.2 | −34.3 |
| IX | Cos q | GAA | GAA+Radome | GAA+HWradome | GAA+MTR |
|---|---|---|---|---|---|
| −3 dB PSF BW (m) | 0.0143 | 0.0159 | 0.0155 | 0.0151 | 0.0162 |
| PSF SLL (dB) | −35.6 | −38.2 | −33.8 | −33.0 | −31.8 |
Disclaimer/Publisher’s Note: The statements, opinions and data contained in all publications are solely those of the individual author(s) and contributor(s) and not of MDPI and/or the editor(s). MDPI and/or the editor(s) disclaim responsibility for any injury to people or property resulting from any ideas, methods, instructions or products referred to in the content. |
© 2025 by the authors. Licensee MDPI, Basel, Switzerland. This article is an open access article distributed under the terms and conditions of the Creative Commons Attribution (CC BY) license (https://creativecommons.org/licenses/by/4.0/).
Share and Cite
de Cos Gómez, M.E.; Flórez Berdasco, A.; Laviada Martínez, J.; Las-Heras Andrés, F. Radomizing an Antenna for a SAR-Based ETA Radar System While Ensuring Imaging Accuracy: A Focus on Phase Shifts. Micromachines 2025, 16, 720. https://doi.org/10.3390/mi16060720
de Cos Gómez ME, Flórez Berdasco A, Laviada Martínez J, Las-Heras Andrés F. Radomizing an Antenna for a SAR-Based ETA Radar System While Ensuring Imaging Accuracy: A Focus on Phase Shifts. Micromachines. 2025; 16(6):720. https://doi.org/10.3390/mi16060720
Chicago/Turabian Stylede Cos Gómez, María Elena, Alicia Flórez Berdasco, Jaime Laviada Martínez, and Fernando Las-Heras Andrés. 2025. "Radomizing an Antenna for a SAR-Based ETA Radar System While Ensuring Imaging Accuracy: A Focus on Phase Shifts" Micromachines 16, no. 6: 720. https://doi.org/10.3390/mi16060720
APA Stylede Cos Gómez, M. E., Flórez Berdasco, A., Laviada Martínez, J., & Las-Heras Andrés, F. (2025). Radomizing an Antenna for a SAR-Based ETA Radar System While Ensuring Imaging Accuracy: A Focus on Phase Shifts. Micromachines, 16(6), 720. https://doi.org/10.3390/mi16060720

