Slurry Synthesis and Thin-Film Fabrication Toward Production of Li₂O-B₂O₃-Al₂O₃-Based Multilayer Oxide Solid-State Batteries for Internet of Things Applications
Abstract
1. Introduction
2. Materials and Methods
2.1. Materials
2.2. Solid-Electrolyte Surface Treatment
2.3. Slurry Preparation for Solid Electrolyte
2.4. Oxide-Based Solid-Electrolyte Green Sheet Formation and Green Chip Production
2.5. Analysis and Evaluation
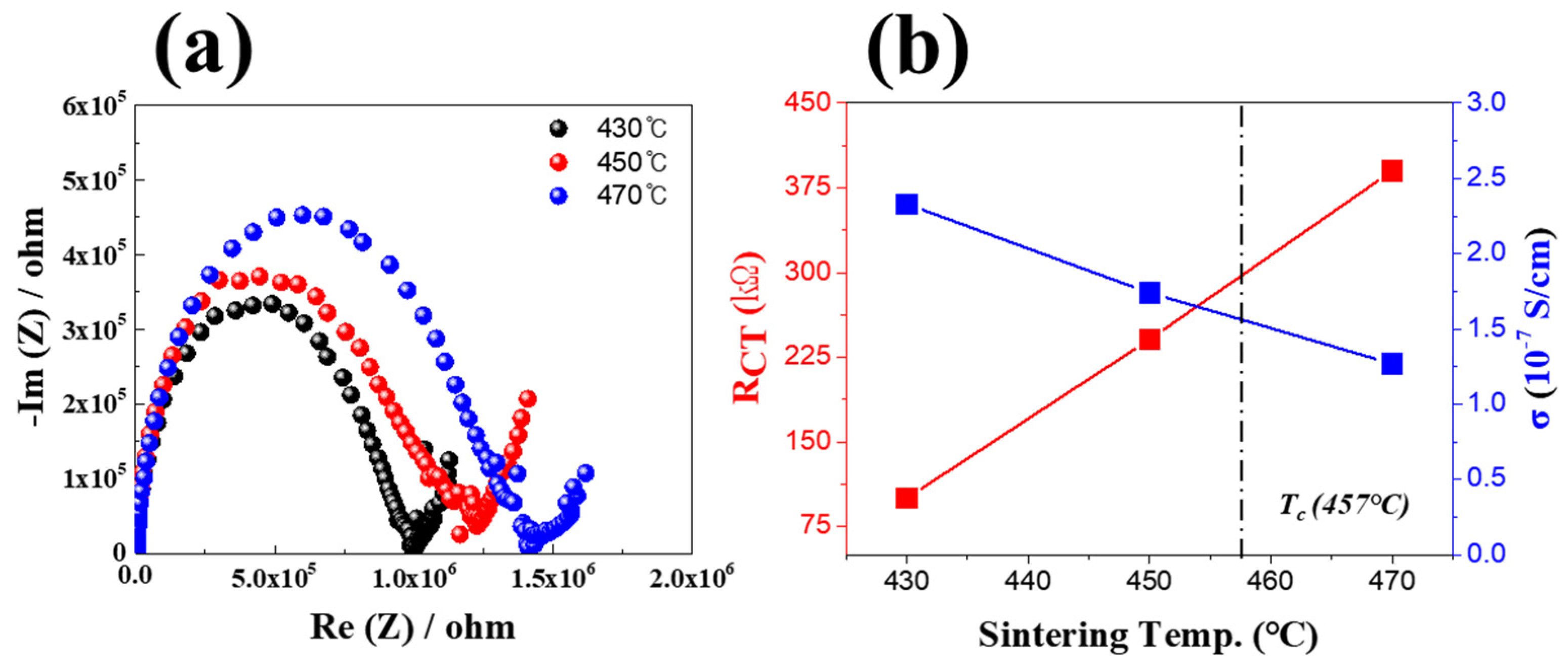
3. Results and Discussion
4. Conclusions
Author Contributions
Funding
Data Availability Statement
Conflicts of Interest
References
- Xia, Q.; Zan, F.; Zhang, Q.; Liu, W.; Li, Q.; He, Y.; Hua, J.; Liu, J.; Xu, J.; Wang, J. All-solid-state thin film lithium/lithium-ion microbatteries for powering the Internet of things. Adv. Mater. 2023, 35, 2200538. [Google Scholar] [CrossRef] [PubMed]
- Marriam, I.; Tebyetekerwa, M.; Xu, Z.; Chathuranga, H.; Chen, S.; Chen, H.; Zheng, J.-C.; Du, A.; Yan, C. Techniques enabling inorganic materials into wearable fiber/yarn and flexible lithium-ion batteries. Energy Storage Mater. 2021, 43, 62–84. [Google Scholar] [CrossRef]
- Hu, B.; Wang, X. Advances in micro lithium-ion batteries for on-chip and wearable applications. J. Micromechanics Microengineering 2021, 31, 114002. [Google Scholar] [CrossRef]
- Zhang, Q.; Yang, R.; Li, C.; Mao, L.; Wang, B.; Luo, M.; Yan, Y.; Zou, Y.; Zhong, L.; Xu, Y. In-situ coupling construction of interface bridge to enhance electrochemical stability of all solid-state lithium metal batteries. J. Energy Chem. 2024, 89, 18–26. [Google Scholar] [CrossRef]
- Li, C.; Wang, Z.-Y.; He, Z.-J.; Li, Y.-J.; Mao, J.; Dai, K.-H.; Yan, C.; Zheng, J.-C. An advance review of solid-state battery: Challenges, progress and prospects. Sustain. Mater. Technol. 2021, 29, e00297. [Google Scholar] [CrossRef]
- Ahmad, H.; Haseeb, H.M.; Shabbir, A.; Khan, Z.S.; Noor, T.; Ali, G. Oxide-based ternary composite solid-state electrolyte for next-generation lithium batteries. Energy Storage 2024, 6, e619. [Google Scholar] [CrossRef]
- Kim, J.; Oh, J.; Kim, J.Y.; Lee, Y.-G.; Kim, K.M. Recent progress and perspectives of solid electrolytes for lithium rechargeable batteries. J. Korean Electrochem. Soc. 2019, 22, 87–103. [Google Scholar]
- Suh, S.-S.; Yi, C.-W.; Kim, K. Research trend of solid electrolyte for lithium rechargeable batteries. J. Korean Electrochem. Soc. 2012, 15, 1–11. [Google Scholar] [CrossRef]
- Ke, B.; Zhang, C.; Cheng, S.; Li, W.; Deng, R.; Zhang, H.; Lin, J.; Xie, Q.; Qu, B.; Peng, D.L. Tape-casting electrode architecture permits low-temperature manufacturing of all-solid-state thin-film microbatteries. Interdiscip. Mater. 2024, 3, 621–631. [Google Scholar] [CrossRef]
- Kaup, K.; Bazak, J.D.; Vajargah, S.H.; Wu, X.; Kulisch, J.; Goward, G.R.; Nazar, L.F. A lithium oxythioborosilicate solid electrolyte glass with superionic conductivity. Adv. Energy Mater. 2020, 10, 1902783. [Google Scholar] [CrossRef]
- Kang, B.; Park, H.; Woo, S.; Kang, M.; Kim, A. Research progress of oxide solid electrolytes for next-generation Li-ion batteries. Ceramist 2018, 21, 349–365. [Google Scholar] [CrossRef]
- Diallo, M.S.; Shi, T.; Zhang, Y.; Peng, X.; Shozib, I.; Wang, Y.; Miara, L.J.; Scott, M.C.; Tu, Q.H.; Ceder, G. Effect of solid-electrolyte pellet density on failure of solid-state batteries. Nat. Commun. 2024, 15, 858. [Google Scholar] [CrossRef] [PubMed]
- Machín, A.; Morant, C.; Márquez, F. Advancements and challenges in solid-state battery technology: An in-depth review of solid electrolytes and anode innovations. Batteries 2024, 10, 29. [Google Scholar] [CrossRef]
- Lee, J.M.; Cheong, D.S.; Kang, S.H.; Acharya, T.R.; Choi, E.H.; Shin, W.H. Sintering Behavior of Borate-Based Glass Ceramic Solid Electrolytes for All-Solid Batteries. J. Korean Inst. Electr. Electron. Mater. Eng. 2024, 37, 445–450. [Google Scholar]
- Chae, O.B.; Lucht, B.L. Interfacial issues and modification of solid electrolyte interphase for Li metal anode in liquid and solid electrolytes. Adv. Energy Mater. 2023, 13, 2203791. [Google Scholar] [CrossRef]
- Shao, Y. Modification of Li Anode with Perfluorodecyltrimethoxysilane to Enhance the Performance of Lithium Metal Battery. J. Power Energy Eng. 2024, 12, 70–77. [Google Scholar] [CrossRef]
- Cheon, R.S.; Nam, W.; Kim, J.; Kim, M.J.; Park, J.H.; Seo, J.H.; Lee, S.H.; Cho, M.; Kwak, H.; Hwang, Y.N. Exploration of surface treatment and liquid additive processing for enhanced multilayer ceramic capacitors performance. Materialia 2024, 33, 101994. [Google Scholar] [CrossRef]
- Zheng, Z.; Li, M.; Zhang, W.; Zhang, X.; Liu, J.; Yang, T. Influence of Silane Coupling Agent and Anionic Dispersant on the Dispersion Effect of Silicon Carbide Particles. Materials 2024, 17, 425. [Google Scholar] [CrossRef]
- Lee, R.-H.; Lee, D.-W.; Lee, J.-K.; Kim, K.-N.; Yoon, J.-R.; Lee, S.-H. Electrical and ionic conductivity of Li2O-B2O3-Al2O3 glass electrolyte for solid-state batteries. J. Energy Storage 2024, 77, 110018. [Google Scholar] [CrossRef]
- Kato, T.; Yoshida, R.; Yamamoto, K.; Hirayama, T.; Motoyama, M.; West, W.C.; Iriyama, Y. Effects of sintering temperature on interfacial structure and interfacial resistance for all-solid-state rechargeable lithium batteries. J. Power Sources 2016, 325, 584–590. [Google Scholar] [CrossRef]
- Akimoto, J.; Akao, T.; Nagai, H.; Kataoka, K. Low-Temperature Sintering of a Garnet-Type Li6.5La3Zr1.5Ta0.5O12 Solid Electrolyte and an All-Solid-State Lithium-Ion Battery. ACS Appl. Mater. Interfaces 2023, 15, 18973–18981. [Google Scholar] [CrossRef]
- Wang, C.; Fu, K.; Kammampata, S.P.; McOwen, D.W.; Samson, A.J.; Zhang, L.; Hitz, G.T.; Nolan, A.M.; Wachsman, E.D.; Mo, Y.; et al. Garnet-type solid-state electrolytes: Materials, interfaces, and batteries. Chem. Rev. 2020, 120, 4257–4300. [Google Scholar] [CrossRef]









Disclaimer/Publisher’s Note: The statements, opinions and data contained in all publications are solely those of the individual author(s) and contributor(s) and not of MDPI and/or the editor(s). MDPI and/or the editor(s) disclaim responsibility for any injury to people or property resulting from any ideas, methods, instructions or products referred to in the content. |
© 2024 by the authors. Licensee MDPI, Basel, Switzerland. This article is an open access article distributed under the terms and conditions of the Creative Commons Attribution (CC BY) license (https://creativecommons.org/licenses/by/4.0/).
Share and Cite
Park, J.; Choi, J.; Seo, J.; Nam, W.; Lee, S.; Cho, S.; Park, K.; An, G.; Park, B.; Choi, M. Slurry Synthesis and Thin-Film Fabrication Toward Production of Li₂O-B₂O₃-Al₂O₃-Based Multilayer Oxide Solid-State Batteries for Internet of Things Applications. Micromachines 2025, 16, 39. https://doi.org/10.3390/mi16010039
Park J, Choi J, Seo J, Nam W, Lee S, Cho S, Park K, An G, Park B, Choi M. Slurry Synthesis and Thin-Film Fabrication Toward Production of Li₂O-B₂O₃-Al₂O₃-Based Multilayer Oxide Solid-State Batteries for Internet of Things Applications. Micromachines. 2025; 16(1):39. https://doi.org/10.3390/mi16010039
Chicago/Turabian StylePark, Jihyun, Jongmin Choi, Jihye Seo, Wolil Nam, Soobeom Lee, Seungchan Cho, Kyungchul Park, Geonhyoung An, Beomkyeong Park, and Moonhee Choi. 2025. "Slurry Synthesis and Thin-Film Fabrication Toward Production of Li₂O-B₂O₃-Al₂O₃-Based Multilayer Oxide Solid-State Batteries for Internet of Things Applications" Micromachines 16, no. 1: 39. https://doi.org/10.3390/mi16010039
APA StylePark, J., Choi, J., Seo, J., Nam, W., Lee, S., Cho, S., Park, K., An, G., Park, B., & Choi, M. (2025). Slurry Synthesis and Thin-Film Fabrication Toward Production of Li₂O-B₂O₃-Al₂O₃-Based Multilayer Oxide Solid-State Batteries for Internet of Things Applications. Micromachines, 16(1), 39. https://doi.org/10.3390/mi16010039

