First-Principles Insights into Highly Sensitive and Reusable MoS2 Monolayers for Heavy Metal Detection
Abstract
1. Introduction
2. Materials and Methods
3. Results and Discussion
3.1. Structures
3.2. Eletronic Properties
3.3. Recovery Time
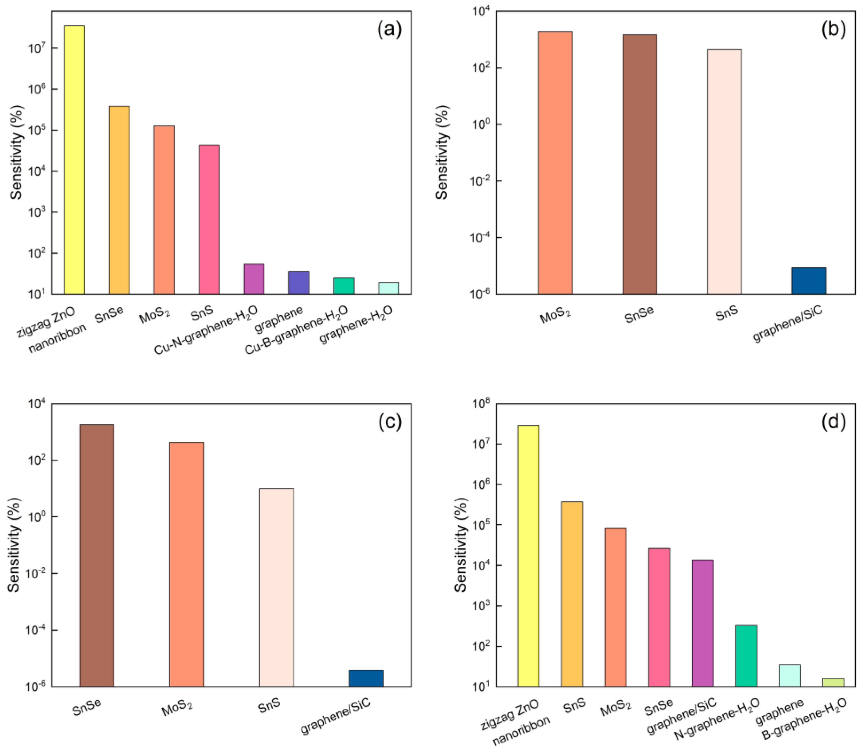
3.4. Sensitivity
4. Conclusions
Supplementary Materials
Author Contributions
Funding
Data Availability Statement
Acknowledgments
Conflicts of Interest
References
- Kamalinahad, S.; Solimannejad, M.; Shakerzadeh, E. Sensing of Ozone (O3) Molecule via Pristine Singe-Walled Aluminum Nitride Nanotube: A DFT Study. Superlattices Microstruct. 2016, 89, 390–397. [Google Scholar] [CrossRef]
- Munsif, S.; Ayub, K.; Nur-e-Alam, M.; Ahmed, S.; Ahmad, A.; Ul-Haq, Z. Sensing of H2S, NO2, SO2, and O3 through Pristine and Ni-Doped Zn12O12 Nanocage. Comput. Theor. Chem. 2023, 1229, 114305. [Google Scholar] [CrossRef]
- Rad, A.S.; Ayub, K. O3 and SO2 Sensing Concept on Extended Surface of B12N12 Nanocages Modified by Nickel Decoration: A Comprehensive DFT Study. Solid State Sci. 2017, 69, 22–30. [Google Scholar] [CrossRef]
- Chen, Z.; Liu, H.; Wang, H.; Liu, Y.; Wei, Z. Flue Gas Pb0 Removal from Sludge Incineration through Biological Lead Oxidation Coupled Denitrification. Fuel 2024, 355, 129500. [Google Scholar] [CrossRef]
- Dhuldhaj, U.P.; Yadav, I.C.; Singh, S.; Sharma, N.K. Microbial Interactions in the Arsenic Cycle: Adoptive Strategies and Applications in Environmental Management. In Reviews of Environmental Contamination and Toxicology Volume 224; Whitacre, D.M., Ed.; Springer: New York, NY, USA, 2013; pp. 1–38. ISBN 978-1-4614-5882-1. [Google Scholar]
- Ghashghaee, M.; Ghambarian, M. Adsorption of Toxic Mercury, Lead, Cadmium, and Arsenic Ions on Black Phosphorous Nanosheet: First-Principles Calculations. Struct. Chem. 2019, 30, 85–96. [Google Scholar] [CrossRef]
- Hamed Mashhadzadeh, A.; Fathalian, M.; Ghorbanzadeh Ahangari, M.; Shahavi, M.H. DFT Study of Ni, Cu, Cd and Ag Heavy Metal Atom Adsorption onto the Surface of the Zinc-Oxide Nanotube and Zinc-Oxide Graphene-like Structure. Mater. Chem. Phys. 2018, 220, 366–373. [Google Scholar] [CrossRef]
- Zhao, C.; Wu, H. Density Functional Investigation of Mercury and Arsenic Adsorption on Nitrogen Doped Graphene Decorated with Palladium Clusters: A Promising Heavy Metal Sensing Material in Farmland. Appl. Surf. Sci. 2017, 399, 55–66. [Google Scholar] [CrossRef]
- Shtepliuk, I.; Eriksson, J.; Khranovskyy, V.; Iakimov, T.; Lloyd Spetz, A.; Yakimova, R. Monolayer Graphene/SiC Schottky Barrier Diodes with Improved Barrier Height Uniformity as a Sensing Platform for the Detection of Heavy Metals. Beilstein J. Nanotechnol. 2016, 7, 1800–1814. [Google Scholar] [CrossRef]
- Liao, J.; Yang, L.; Wang, C.Z.; Lin, S. Tuning Cd Adsorption Behaviours on Graphene by Introducing Defects: A First-Principles Study. Mater. Technol. 2017, 32, 840–844. [Google Scholar] [CrossRef]
- Srivastava, M.; Srivastava, A. First Principle Investigation of Boron Functionalized Graphene to Detect the Presence of “Arsenic” in Water. Mater. Today Proc. 2022, 48, 661–665. [Google Scholar] [CrossRef]
- Zou, J.; Mao, D.; Li, N.; Jiang, J. Reliable and Selective Lead-Ion Sensor of Sulfur-Doped Graphitic Carbon Nitride Nanoflakes. Appl. Surf. Sci. 2020, 506, 144672. [Google Scholar] [CrossRef]
- Cui, H.; Zhang, X.; Zhang, G.; Tang, J. Pd-Doped MoS2 Monolayer: A Promising Candidate for DGA in Transformer Oil Based on DFT Method. Appl. Surf. Sci. 2019, 470, 1035–1042. [Google Scholar] [CrossRef]
- Jasmine, J.M.; Aadhityan, A.; Preferencial kala, C.; Thiruvadigal, D.J. A First-Principles Study of Cl2, PH3, AsH3, BBr3 and SF4 Gas Adsorption on MoS2 Monolayer with S and Mo Vacancy. Appl. Surf. Sci. 2019, 489, 841–848. [Google Scholar] [CrossRef]
- Li, B.; Zhou, Q.; Peng, R.; Liao, Y.; Zeng, W. Adsorption of SF6 Decomposition Gases (H2S, SO2, SOF2 and SO2F2) on Sc-Doped MoS2 Surface: A DFT Study. Appl. Surf. Sci. 2021, 549, 149271. [Google Scholar] [CrossRef]
- Wang, J.; Zhou, Q.; Lu, Z.; Wei, Z.; Zeng, W. Gas Sensing Performances and Mechanism at Atomic Level of Au-MoS2 Microspheres. Appl. Surf. Sci. 2019, 490, 124–136. [Google Scholar] [CrossRef]
- Chakraborty, B.; Maity, I.; Chung, P.; Ho, M.; Bhattacharyya, P. Understanding the Highly Selective Methanol Sensing Mechanism of Electrodeposited Pristine MoS2 Using First Principle Analysis. IEEE Sens. J. 2021, 21, 16484–16491. [Google Scholar] [CrossRef]
- Gui, Y.; Liu, D.; Li, X.; Tang, C.; Zhou, Q. DFT-Based Study on H2S and SOF2 Adsorption on Si-MoS2 Monolayer. Results Phys. 2019, 13, 102225. [Google Scholar] [CrossRef]
- Qian, H.; Lu, W.; Wei, X.; Chen, W.; Deng, J. H2S and SO2 Adsorption on Pt-MoS2 Adsorbent for Partial Discharge Elimination: A DFT Study. Results Phys. 2019, 12, 107–112. [Google Scholar] [CrossRef]
- Jiang, T.; He, Q.; Bi, M.; Chen, X.; Sun, H.; Tao, L. First-Principles Calculations of Adsorption Sensitivity of Au-Doped MoS2 Gas Sensor to Main Characteristic Gases in Oil. J Mater Sci 2021, 56, 13673–13683. [Google Scholar] [CrossRef]
- Liu, H.; Wang, F.; Hu, K.; Li, T.; Yan, Y.; Li, J. The Adsorption and Sensing Performances of Ir-Modified MoS2 Monolayer toward SF6 Decomposition Products: A DFT Study. Nanomaterials 2021, 11, 100. [Google Scholar] [CrossRef]
- Mu, X.; Gao, X.; Zhao, H.; George, M.; Wu, T. Density Functional Theory Study of the Adsorption of Elemental Mercury on a 1T-MoS2 Monolayer. J. Zhejiang Univ. Sci. A 2018, 19, 60–67. [Google Scholar] [CrossRef]
- Zhao, H.; Mu, X.; Yang, G.; George, M.; Cao, P.; Fanady, B.; Rong, S.; Gao, X.; Wu, T. Graphene-like MoS2 Containing Adsorbents for Hg0 Capture at Coal-Fired Power Plants. Appl. Energy 2017, 207, 254–264. [Google Scholar] [CrossRef]
- Kresse, G.G.; Furthmüller, J. Furthmüller Efficient Iterative Schemes for Ab Initio Total-Energy Calculations Using a Plane-Wave Basis Set. Phys. Rev. B Condens. Matter 1996, 54, 11169. [Google Scholar] [CrossRef]
- Kresse, G.; Furthmüller, J. Efficiency of Ab-Initio Total Energy Calculations for Metals and Semiconductors Using a Plane-Wave Basis Set. Comput. Mater. Sci. 1996, 6, 15–50. [Google Scholar] [CrossRef]
- Perdew, J.P.; Burke, K.; Ernzerhof, M. Generalized Gradient Approximation Made Simple. Phys. Rev. Lett. 1996, 77, 3865, Erratum Phys. Rev. Lett. 1997, 78, 1396. [Google Scholar] [CrossRef]
- Grimme, S. Semiempirical GGA-Type Density Functional Constructed with a Long-Range Dispersion Correction. J. Comput. Chem. 2010, 27, 1787–1799. [Google Scholar]
- Soler, J.M.; Artacho, E.; Gale, J.D.; García, A.; Junquera, J.; Ordejón, P.; Sánchez-Portal, D. The SIESTA Method for Ab Initio Order-N Materials Simulation. J. Phys. Condens. Matter 2002, 14, 2745. [Google Scholar] [CrossRef]
- Meir, Y.; Wingreen, N.S. Landauer Formula for the Current through an Interacting Electron Region. Phys. Rev. Lett. 1992, 68, 2512–2515. [Google Scholar] [CrossRef]
- Momma, K.; Izumi, F. VESTA3 for Three-Dimensional Visualization of Crystal, Volumetric and Morphology Data. J. Appl. Crystallogr. 2011, 44, 1272–1276. [Google Scholar] [CrossRef]
- Wang, V.; Xu, N.; Liu, J.-C.; Tang, G.; Geng, W.-T. VASPKIT: A User-Friendly Interface Facilitating High-Throughput Computing and Analysis Using VASP Code. Comput. Phys. Commun. 2021, 267, 108033. [Google Scholar] [CrossRef]
- Qiu, P.; Qin, Y.; Bai, Y.; Xia, Q.; Zheng, A. Gas Selectivity Regulation of Monolayer SnS by Introducing Nonmetallic Dopants: A Combined Theoretical and Experimental Investigation. Appl. Surf. Sci. 2021, 570, 151155. [Google Scholar] [CrossRef]
- Sankush Krishna, M.; Singh, S.; Mohammed, M.K.A. Carcinogenic Heavy Metals Detection Based on ZnO Nanoribbons. IEEE Sens. J. 2022, 22, 16929–16937. [Google Scholar] [CrossRef]
- Wu, J.; Li, X.; Huang, L.; Liang, T.; Xing, X.; Luo, A. SnSe Monolayer-Based Heavy Metal Sensors with High Sensitivity, Selectivity, and Reusability: Insights from First Principle Calculation. Results Phys. 2023, 53, 106973. [Google Scholar] [CrossRef]
- Wu, J.; Li, X.; Liao, H.; Xue, S.; Huang, L.; Xing, X.; Luo, A. SnS Monolayers Based Heavy Metal Sensors: DFT and NEGF Analysis. Results Phys. 2023, 51, 106704. [Google Scholar] [CrossRef]
- Srivastava, M.; Srivastava, A. Cu Decorated Functionalized Graphene for Arsenic Sensing in Water: A First Principles Analysis. Appl. Surf. Sci. 2021, 560, 149700. [Google Scholar] [CrossRef]
- Srivastava, M.; Srivastava, A.; Pandey, S.K. Suitability of Graphene Monolayer as Sensor for Carcinogenic Heavy Metals in Water: A DFT Investigation. Appl. Surf. Sci. 2020, 517, 146021. [Google Scholar] [CrossRef]
- Srivastava, M.; Srivastava, A. DFT Analysis of Nitrogen and Boron Doped Graphene Sheet as Lead Detector. Mater. Sci. Eng. B 2021, 269, 115165. [Google Scholar] [CrossRef]
- Shtepliuk, I.; Yakimova, R. Interaction of Epitaxial Graphene with Heavy Metals: Towards Novel Sensing Platform. Nanotechnology 2019, 30, 294002. [Google Scholar] [CrossRef]
- Yang, T.; Jiang, X.; Yi, W.; Cheng, X.; Cheng, T. Enhanced Fast Response to Hg0 by Adsorption-Induced Electronic Structure Evolution of Ti2C Nanosheet. Appl. Surf. Sci. 2021, 544, 148925. [Google Scholar] [CrossRef]









| Heavy Metal | Adsorption Energy Ead (eV) | Adsorption Distance D (Å) 1 | Charge Transfer △Q (e) | Style | Energy Gap Eg (eV) |
|---|---|---|---|---|---|
| As | −0.827 | 2.175 | −0.243 | Donor | 0.242 |
| Cd | −0.446 | 3.358 | −0.115 | Donor | 1.140 |
| Hg | −0.366 | 3.526 | −0.023 | Donor | 1.534 |
| Pb | −1.380 | 2.625 | −0.410 | Donor | 0.326 |
Disclaimer/Publisher’s Note: The statements, opinions and data contained in all publications are solely those of the individual author(s) and contributor(s) and not of MDPI and/or the editor(s). MDPI and/or the editor(s) disclaim responsibility for any injury to people or property resulting from any ideas, methods, instructions or products referred to in the content. |
© 2024 by the authors. Licensee MDPI, Basel, Switzerland. This article is an open access article distributed under the terms and conditions of the Creative Commons Attribution (CC BY) license (https://creativecommons.org/licenses/by/4.0/).
Share and Cite
Wu, J.; Li, Z.; Liang, T.; Mo, Q.; Wei, J.; Li, B.; Xing, X. First-Principles Insights into Highly Sensitive and Reusable MoS2 Monolayers for Heavy Metal Detection. Micromachines 2024, 15, 978. https://doi.org/10.3390/mi15080978
Wu J, Li Z, Liang T, Mo Q, Wei J, Li B, Xing X. First-Principles Insights into Highly Sensitive and Reusable MoS2 Monolayers for Heavy Metal Detection. Micromachines. 2024; 15(8):978. https://doi.org/10.3390/mi15080978
Chicago/Turabian StyleWu, Jiayin, Zongbao Li, Tongle Liang, Qiuyan Mo, Jingting Wei, Bin Li, and Xiaobo Xing. 2024. "First-Principles Insights into Highly Sensitive and Reusable MoS2 Monolayers for Heavy Metal Detection" Micromachines 15, no. 8: 978. https://doi.org/10.3390/mi15080978
APA StyleWu, J., Li, Z., Liang, T., Mo, Q., Wei, J., Li, B., & Xing, X. (2024). First-Principles Insights into Highly Sensitive and Reusable MoS2 Monolayers for Heavy Metal Detection. Micromachines, 15(8), 978. https://doi.org/10.3390/mi15080978

