A Broadband MS-Based Circularly Polarized Antenna Array Using Sequential-Phase Feeding Network
Abstract
1. Introduction
2. Single Array Element
3. 2 × 2 Antenna Array
4. Design Optimization
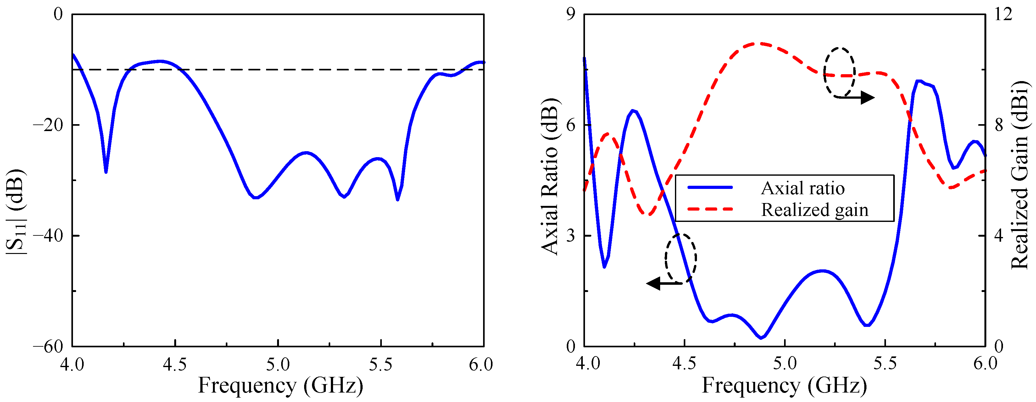
4.1. Operating Band Optimization
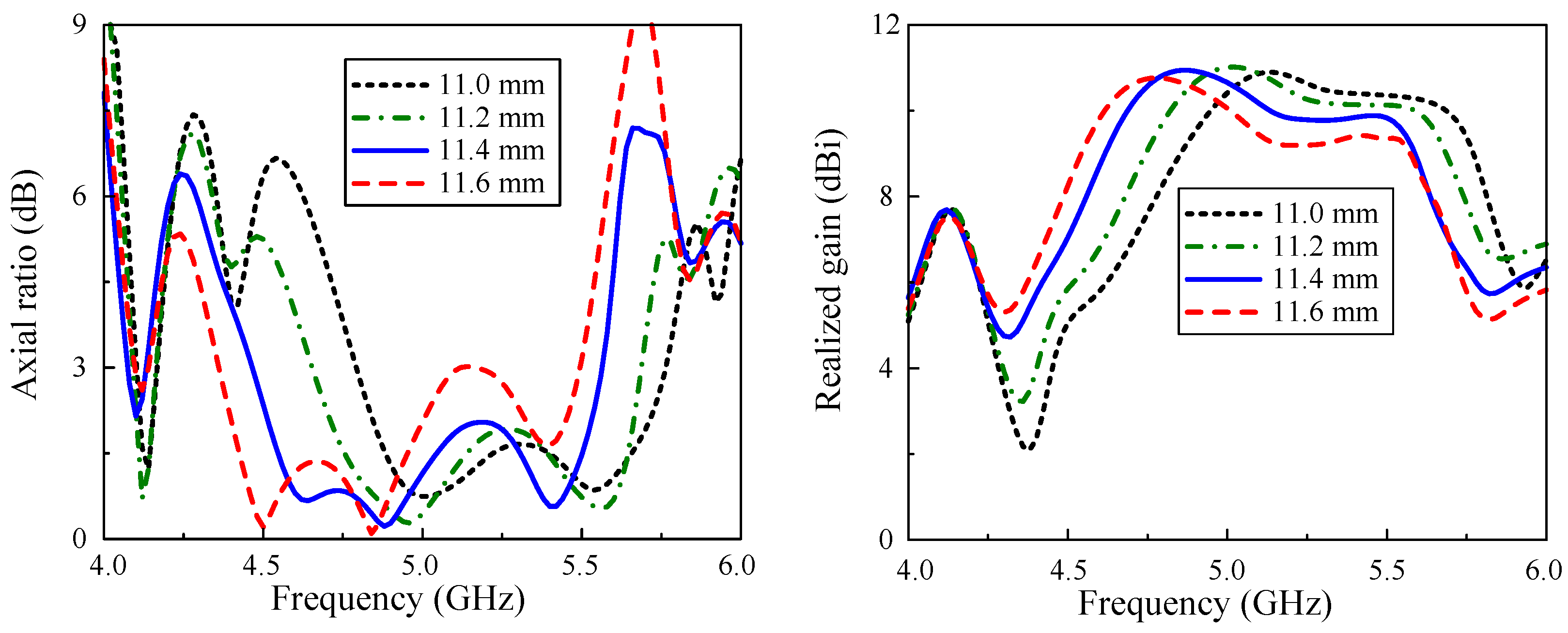
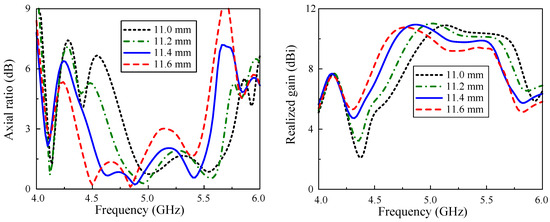
4.2. AR Optimization
4.3. Realized Gain Optimization
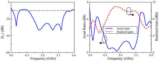
5. Measured Results
6. Comparison
7. Conclusions
Author Contributions
Funding
Data Availability Statement
Conflicts of Interest
References
- Boccia, L.; Gao, S.; Imbriale, W.A. (Eds.) Space Antenna Handbook; John Wiley & Sons: Hoboken, NJ, USA, 2012. [Google Scholar]
- Gao, S. Circularly Polarized Antennas, 1st ed.; John Wiley & Sons: Chichester, UK, 2014. [Google Scholar]
- Yang, Z.J.; Zhu, L.; Xiao, S. An Implantable Wideband Circularly Polarized Microstrip Patch Antenna via Two Pairs of Degenerate Modes. IEEE Access 2019, 7, 4239–4247. [Google Scholar] [CrossRef]
- Purevdorj, U.; Kuse, R.; Fukusako, T. Broadband Circularly Polarized Microstrip Patch Antenna with Diamond-Shaped Artificial Ground Structure. IEEE Open J. Antennas Propag. 2022, 3, 304–313. [Google Scholar] [CrossRef]
- Pookkapund, K.; Sakonkanapong, A.; Kuse, R.; Phongcharoenpanich, C.; Fukusako, T. Broadband Circularly Polarized Microstrip Patch Antenna Using Circular Artificial Ground Structure and Meandering Probe. IEEE Access 2020, 8, 173854–173864. [Google Scholar] [CrossRef]
- Alam, H.; Jamal, M.Y. A novel modified T slot to realize wideband circularly polarized patch antenna for low-cost planar 2.4 ghz wireless LAN, Bluetooth, GPS applications. IETE J. Res. 2023, 69, 1556–1561. [Google Scholar] [CrossRef]
- Yang, Y.H.; Shao, C.; Zhang, H.F.; Wang, Z.Y.; Zhou, S.G. A Wideband Endfire Dual Circularly Polarized Antenna for 5G Millimeter-Wave Applications. IEEE Antennas Wirel. Propag. Lett. 2022, 21, 2000–2004. [Google Scholar] [CrossRef]
- Hu, W.; Li, C.; Liu, X.; Wen, L.; Feng, T.; Jiang, W.; Gao, S. Wideband Circularly Polarized Microstrip Patch Antenna with Multimode Resonance. IEEE Antennas Wirel. Propag. Lett. 2021, 20, 533–537. [Google Scholar] [CrossRef]
- Qiu, B.; Xia, Y.; Li, Y. Gain-Enhanced Wideband Circularly Polarized Antenna with a Non-Uniform Metamaterial Reflector. Appl. Comput. Electromagn. Soc. J. (ACES) 2022, 37, 281–286. [Google Scholar] [CrossRef]
- Li, C.; Zhu, X.W.; Liu, P.; Yu, C.; Hong, W. A Metasurface-Based Multilayer Wideband Circularly Polarized Patch Antenna Array with a Parallel Feeding Network for Q-Band. IEEE Antennas Wirel. Propag. Lett. 2019, 18, 1208–1212. [Google Scholar] [CrossRef]
- Chen, Q.; Yang, J.; He, C.; Zhang, D.; Huang, S.; Wang, M.; Yu, F.; Dai, G. Wideband Circularly Polarization and High-Gain of a Slot Patch Array Antenna Realized by a Hybrid Metasurface. Sensors 2024, 24, 3510. [Google Scholar] [CrossRef]
- Santosa, C.E.; Sumantyo, J.T.S.; Gao, S.; Ito, K. Broadband Circularly Polarized Microstrip Array Antenna with Curved-Truncation and Circle-Slotted Parasitic. IEEE Trans. Antennas Propag. 2021, 69, 5524–5533. [Google Scholar] [CrossRef]
- Wang, L.; Zhu, Z.; En, Y. Performance Enhancement of Broadband Circularly Polarized Slot–Microstrip Antenna Using Parasitic Elements. IEEE Antennas Wirel. Propag. Lett. 2021, 20, 2255–2259. [Google Scholar] [CrossRef]
- Dai, W.; Huang, Z. A broadband circularly polarized stacked microstrip patch antenna with parasitic elements. Int. J. RF Microw. Comput. Aided Eng. 2021, 31, e22842. [Google Scholar] [CrossRef]
- Wang, S.; Hao, H.; Ma, X.; Cheng, H.; Huang, X. Wideband circularly polarized array antenna based on sequential phase feeding metasurfaces for 5G (sub-6G) applications. J. Electromagn. Waves Appl. 2022, 37, 15–24. [Google Scholar] [CrossRef]
- Zhang, X.; Yin, L.; Li, Z.; Hu, Y. A low-profile sequential-phase fed circularly polarized array antenna with an irregular ground. Int. J. RF Microw. Comput. Aided Eng. 2022, 32, e23450. [Google Scholar] [CrossRef]
- Zhao, Z.H.; Zhang, H.F. A wide-band circularly polarized antenna array using a sequential phase feed structure applied to 5G-band. J. Electromagn. Waves Appl. 2021, 35, 2141–2152. [Google Scholar] [CrossRef]
- Srinivasan, K.; Balasaraswathi, M.; Boopathi, C.S.; Tran, H.H. Single-layer wideband circularly polarized antenna array using sequential phase feed for C-band applications. Wirel. Netw. 2020, 26, 4163–4172. [Google Scholar] [CrossRef]
- Pan, C.Y.; Chen, H.Y. Circularly polarized sequentially rotated antenna array for dual-band WLAN applications. Int. J. RF Microw. Comput. Aided Eng. 2021, 31, e22590. [Google Scholar] [CrossRef]
- Cheng, Y.; Dong, Y. Wideband Circularly Polarized Split Patch Antenna Loaded with Suspended Rods. IEEE Antennas Wirel. Propag. Lett. 2021, 20, 229–233. [Google Scholar] [CrossRef]
- Tran, H.H.; Park, H.C. Gain and bandwidth enhancements of sequential-fed circularly polarized patch antenna array using multiple parasitic elements. Int. J. RF Microw. Comput. Aided Eng. 2020, 30, e22319. [Google Scholar] [CrossRef]
- Ding, K.; Hong, R.; Guan, D.; Liu, L.; Wu, Y. Broadband circularly polarised stacked antenna with sequential-phase feed technique. IET Microw. Antennas Propag. 2020, 14, 779–784. [Google Scholar] [CrossRef]
- Lin, F.H.; Chen, Z.N. Low-profile wideband metasurface antennas using characteristic mode analysis. IEEE Trans. Antennas Propag. 2017, 65, 1706–1713. [Google Scholar] [CrossRef]
- Tran, H.H.; Bui, C.D.; Nguyen-Trong, N.; Nguyen, T.K. A wideband non-uniform metasurface-based circularly polarized reconfigurable antenna. IEEE Access 2021, 9, 42325–42332. [Google Scholar] [CrossRef]
- Zhang, T.; Hong, W.; Wu, K. Analysis and optimum design of sequential-rotation array for gain bandwidth enhancement. IEEE Trans. Antennas Propag. 2014, 63, 142–150. [Google Scholar] [CrossRef]















| Ref. | Method | Dimensions () | Impedance BW (%) | AR BW (%) | Peak Gain (dBic) |
|---|---|---|---|---|---|
| [12] | Parasitic element | 4.5 × 4.9 × 0.06 | 29.43 | 27.36 | 18.17 |
| [13] | Parasitic element | 1.02 × 1.02 × 0.028 | 25.8 | 20.6 | 8.0 |
| [14] | Parasitic element, stacked patch | 1.02 × 0.86 × 0.13 | 32.0 | 22.8 | 8.5 |
| [15] | Sequential-phase feed, metasurfaces | 1.22 × 1.22 × 0.15 | 64.0 | 28.2 | 6.3 |
| [16] | Sequential-phase feed, irregular ground (DGS) | 1.43 × 1.43 × 0.01 | 90.9 | 42.4 | 7.17 |
| [17] | Sequential-phase feed | 1.85 × 1.90 × 0.03 | 74.0 | 49.5 | 10.2 |
| [18] | Sequential-phase feed | 1.2 × 1.2 × 0.04 | 42.9 | 36.4 | 11.5 |
| [19] | Sequential-phase feed | 2.2 × 2.2 × 0.31 | 93.81 | 22.64 | 12.32 |
| 49.16 | 11.66 | ||||
| [20] | Sequential-phase feed, 2 suspended metal rods | 1.6 × 1.6 × 0.154 | 67.8 | 49.7 | 13.1 |
| [21] | Sequential-phase feed, parasitic elements | 1.7 × 1.7 × 0.06 | 37.7 | 28.0 | 15.8 |
| [22] | Sequential-phase feed, stacked patch | 0.92 × 0.92 × 0.073 | 33.6 | 19.4 | 10.2 |
| Prop. | Sequential-phase feed, metasurface | 1.02 × 1.02 × 0.05 | 29.8 | 20.0 | 10.5 |
Disclaimer/Publisher’s Note: The statements, opinions and data contained in all publications are solely those of the individual author(s) and contributor(s) and not of MDPI and/or the editor(s). MDPI and/or the editor(s) disclaim responsibility for any injury to people or property resulting from any ideas, methods, instructions or products referred to in the content. |
© 2024 by the authors. Licensee MDPI, Basel, Switzerland. This article is an open access article distributed under the terms and conditions of the Creative Commons Attribution (CC BY) license (https://creativecommons.org/licenses/by/4.0/).
Share and Cite
Pham-Duy, H.; Nguyen-Tien, D.; Nguyen-Ngoc, T.; Tran-Viet, D.-N.; Nguyen-Dinh, T.; Pham, T.D.; Tran-Huy, H. A Broadband MS-Based Circularly Polarized Antenna Array Using Sequential-Phase Feeding Network. Micromachines 2024, 15, 1051. https://doi.org/10.3390/mi15081051
Pham-Duy H, Nguyen-Tien D, Nguyen-Ngoc T, Tran-Viet D-N, Nguyen-Dinh T, Pham TD, Tran-Huy H. A Broadband MS-Based Circularly Polarized Antenna Array Using Sequential-Phase Feeding Network. Micromachines. 2024; 15(8):1051. https://doi.org/10.3390/mi15081051
Chicago/Turabian StylePham-Duy, Hung, Dat Nguyen-Tien, Thanh Nguyen-Ngoc, Duc-Nguyen Tran-Viet, Thai Nguyen-Dinh, Tuyen Danh Pham, and Hung Tran-Huy. 2024. "A Broadband MS-Based Circularly Polarized Antenna Array Using Sequential-Phase Feeding Network" Micromachines 15, no. 8: 1051. https://doi.org/10.3390/mi15081051
APA StylePham-Duy, H., Nguyen-Tien, D., Nguyen-Ngoc, T., Tran-Viet, D.-N., Nguyen-Dinh, T., Pham, T. D., & Tran-Huy, H. (2024). A Broadband MS-Based Circularly Polarized Antenna Array Using Sequential-Phase Feeding Network. Micromachines, 15(8), 1051. https://doi.org/10.3390/mi15081051

