A 640 nA IQ Output-Capacitor-Less Low Dropout (LDO) Regulator with Sub-Threshold Slew-Rate Enhancement for Narrow Band Internet of Things (NB-IoT) Applications
Abstract
1. Introduction
2. Architecture and Stability Analysis of Proposed OCL-LDO
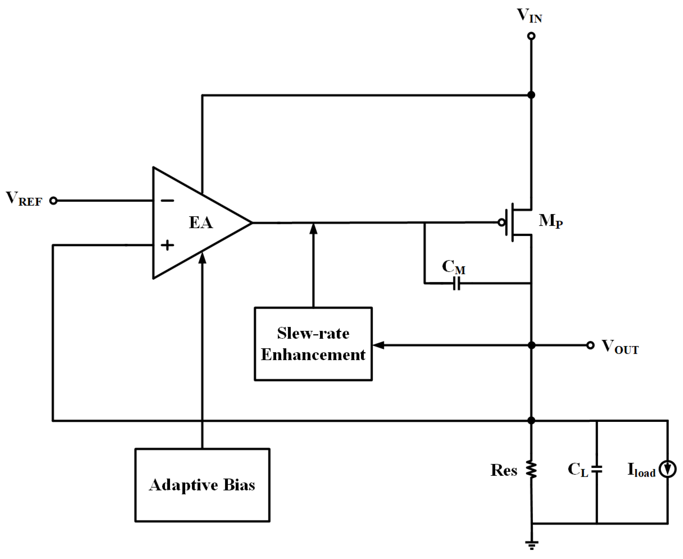
2.1. Architecture of Proposed OCL-LDO
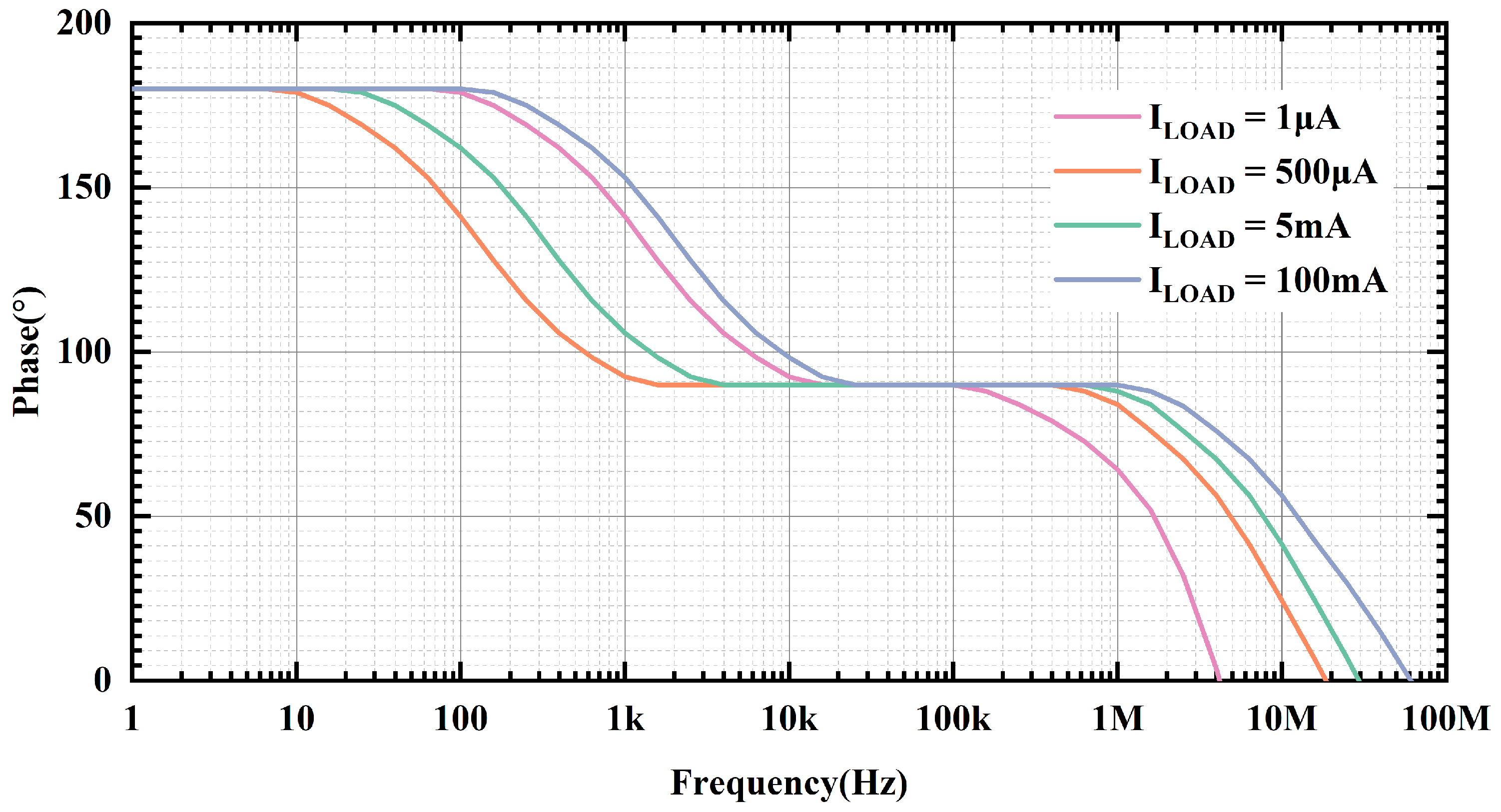
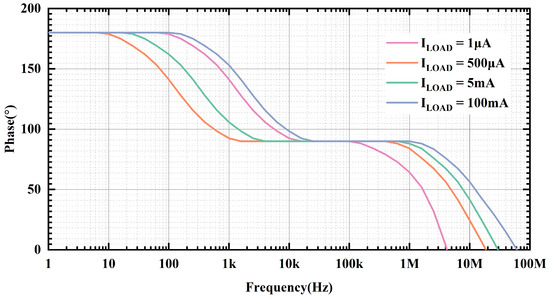
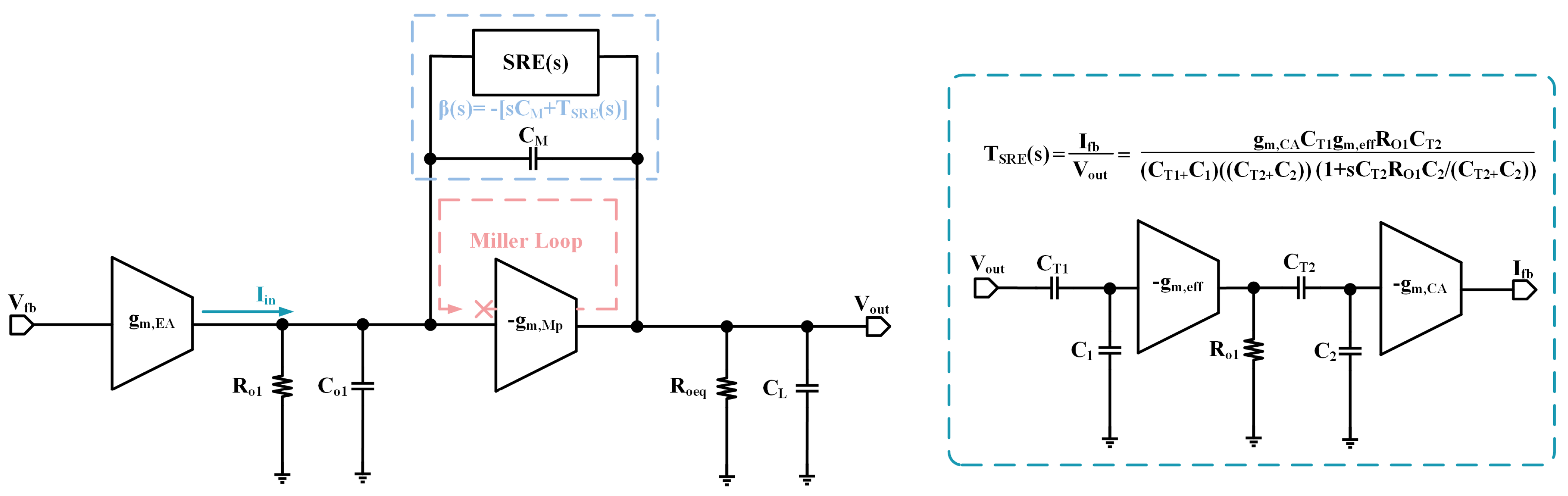
2.2. Stability Analysis
3. Circuit Implementation and Design Considerations
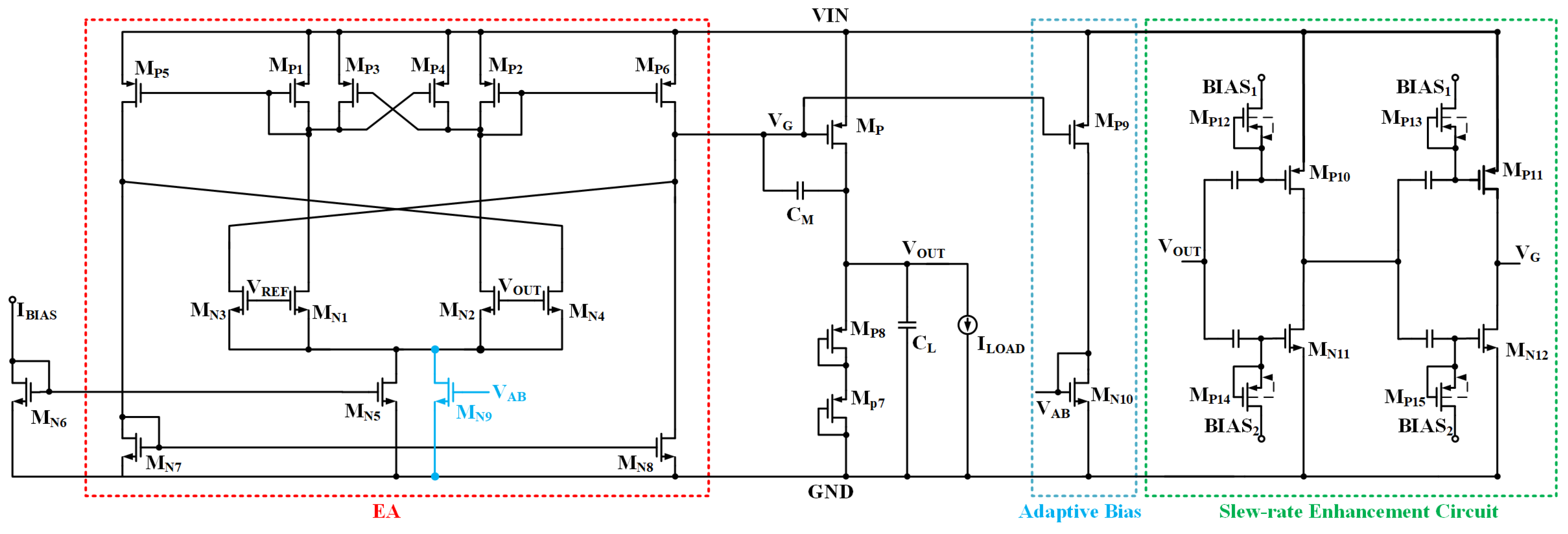
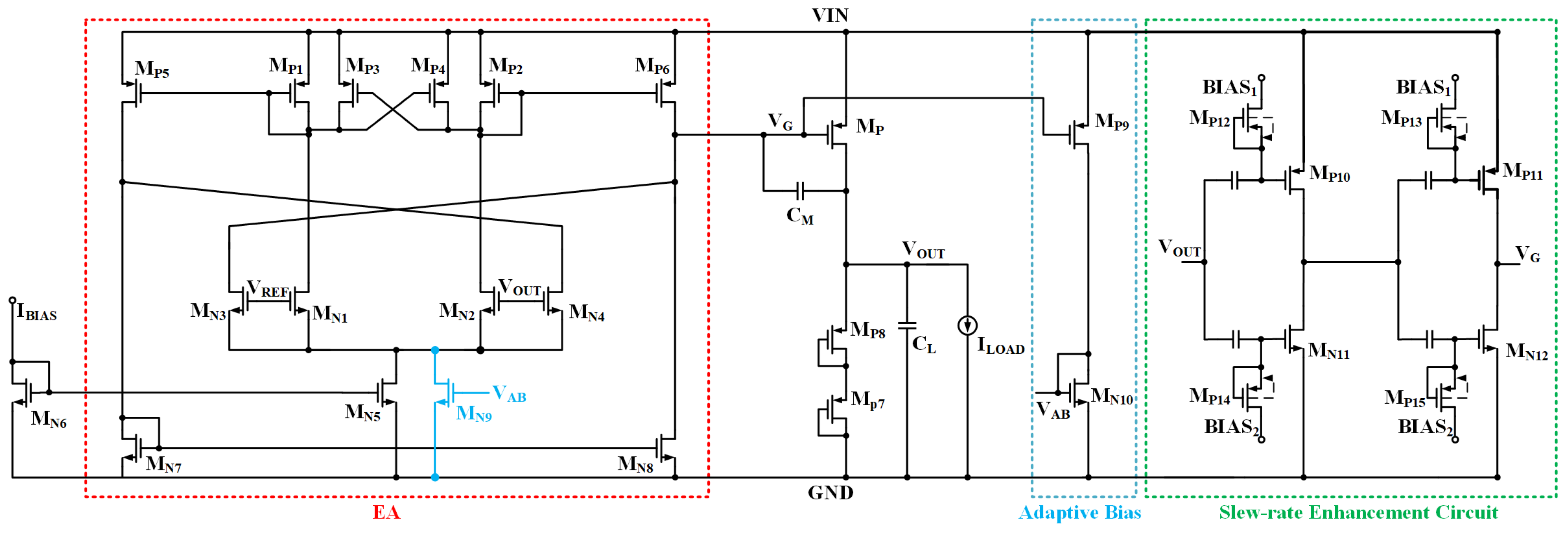
3.1. Overall Circuit of Proposed OCL-LDO
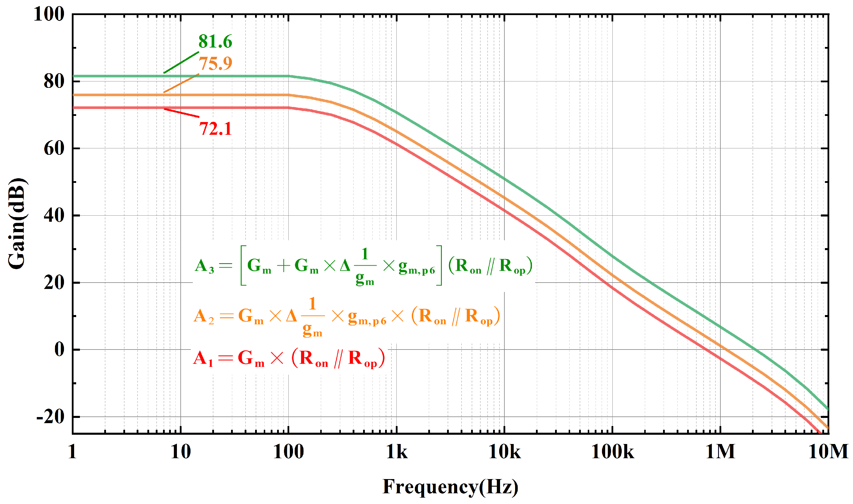
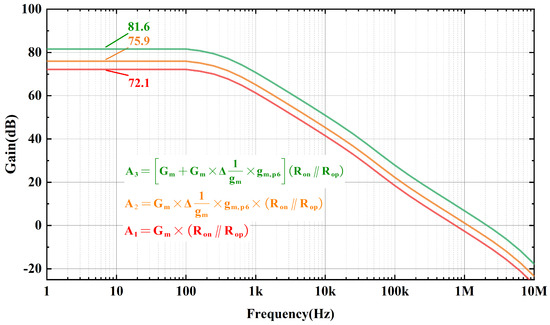
3.2. High-Gain Error Amplifier
3.3. Sub-Threshold CMOS Slew-Rate Enhancement Circuit
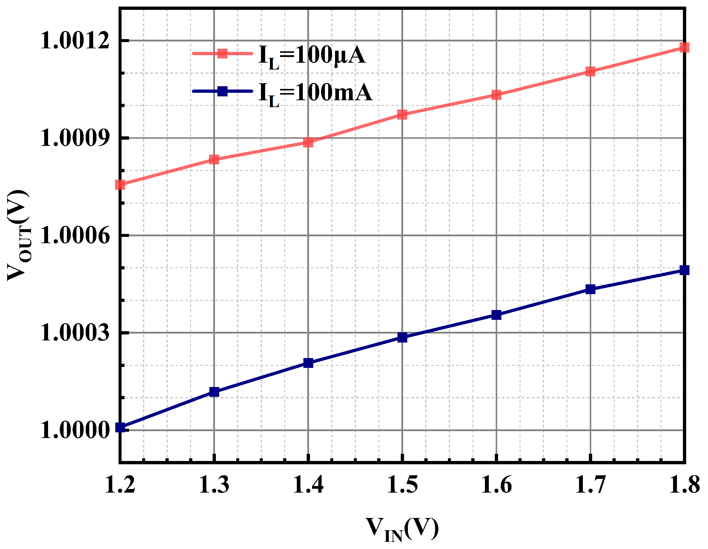
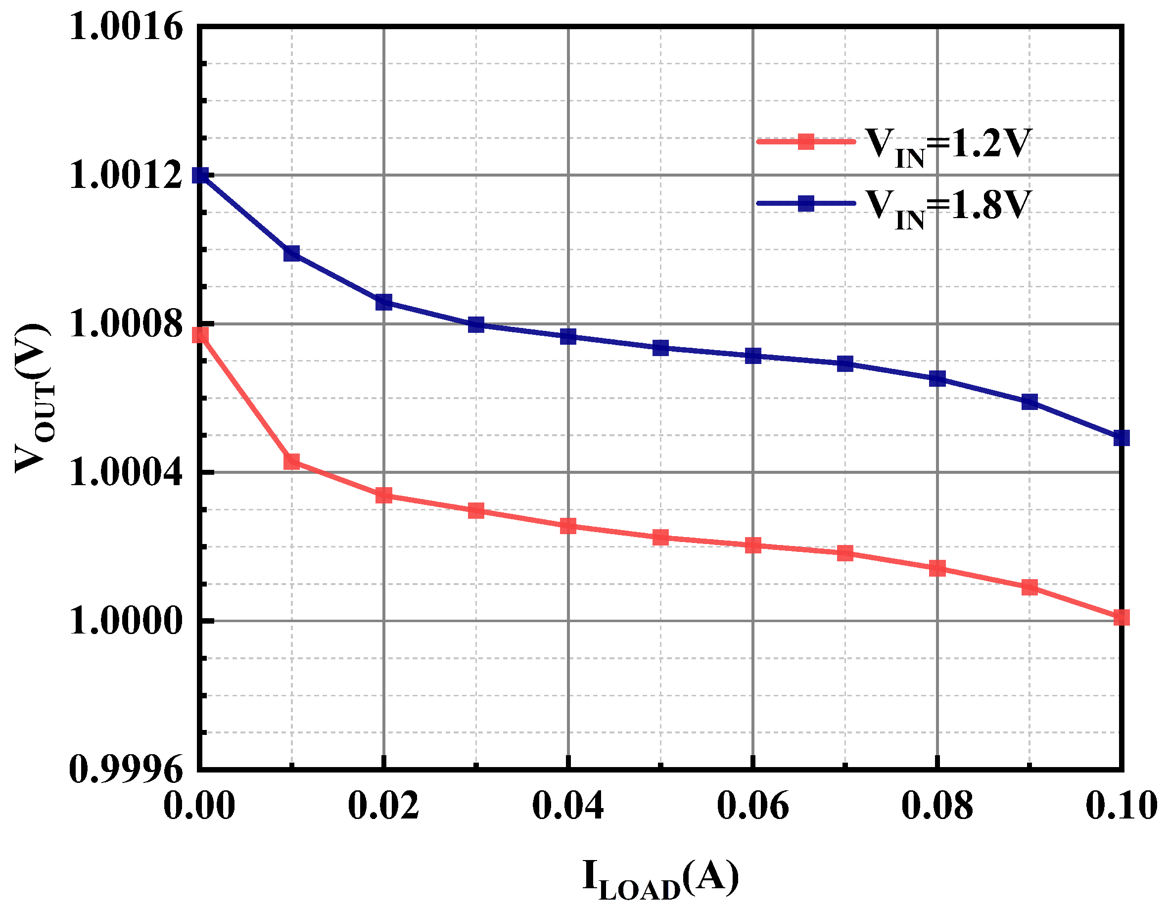
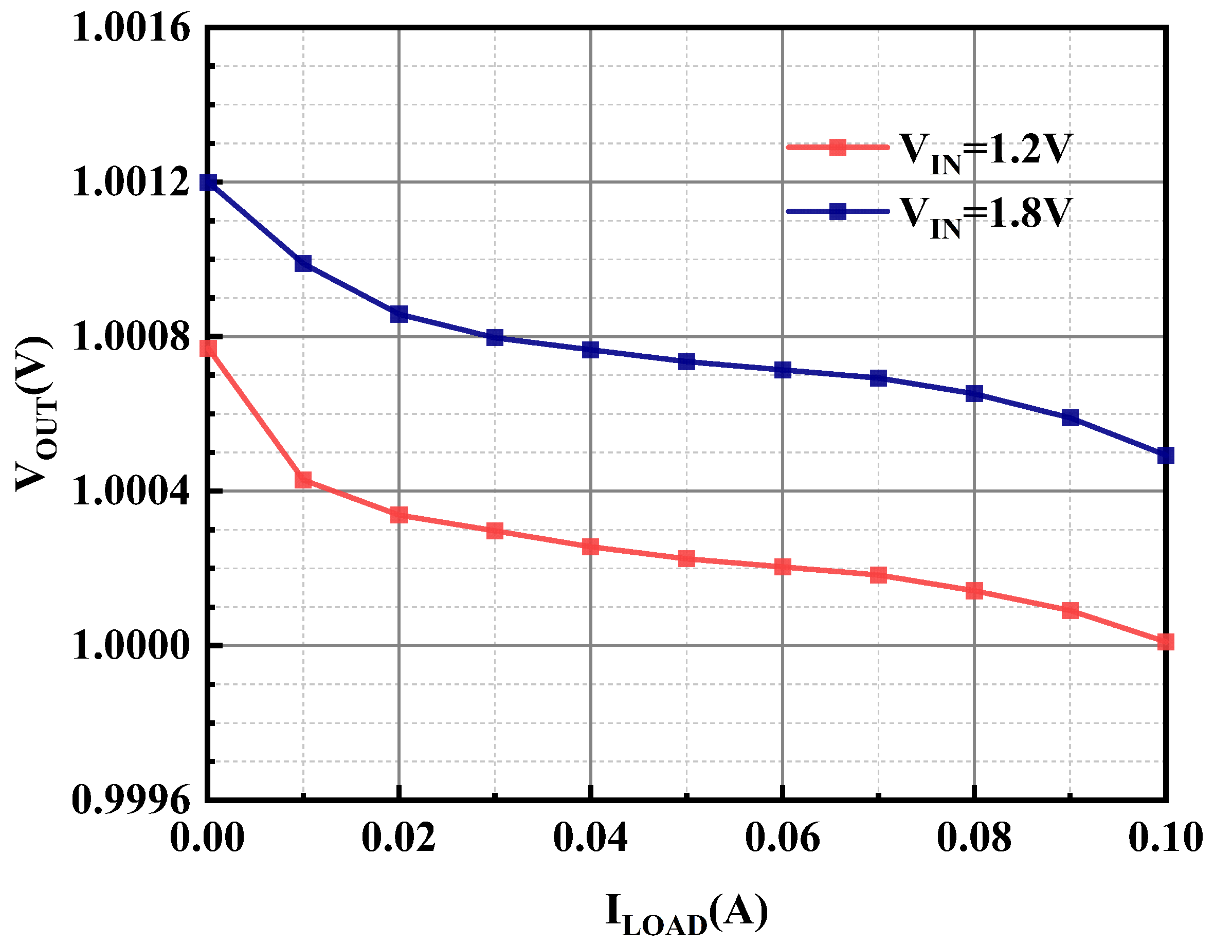
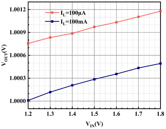
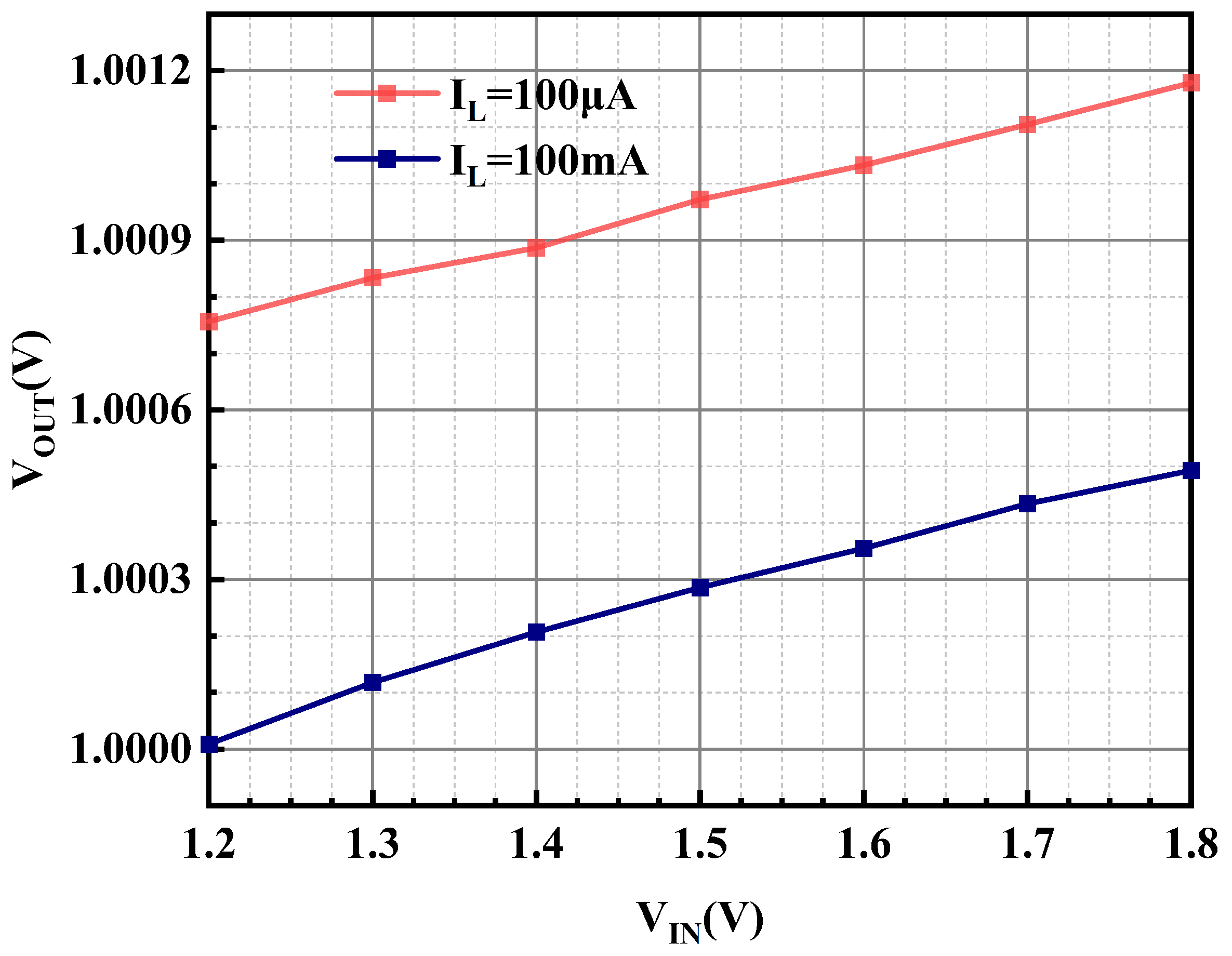
4. Measurement Results
5. Discussion
6. Conclusions
Author Contributions
Funding
Data Availability Statement
Conflicts of Interest
References
- Wang, D.M.; Li, D.Z.; Wu, J.; Cai, J.H.; Zhong, Q.H.; Huang, X.; Hu, J.G. A 0.35 mm2 94.25 μW Fully Integrated NFC Tag IC Using 0.13 μm CMOS Process. IEEE Trans. Circuits Syst. I Regul. Pap. 2024, 71, 2612–2622. [Google Scholar] [CrossRef]
- Hu, C.; Zheng, D.; Yin, Y.; Lin, J.; Li, Y.; Li, W.; Xu, H. A Wideband Sliding Digital-IF Quadrature Digital Transmitter for Multimode NB-IoT/BLE Applications. IEEE J. Solid-State Circuits 2024, 59, 1509–1520. [Google Scholar] [CrossRef]
- Yu, Y.J.; Wang, Y.C.; Fan, C.H. Control Period Adaptation and Resource Allocation for Joint Uplink and Downlink in NB-IoT Networks. IEEE Internet Things J. 2024, 11, 16746–16757. [Google Scholar] [CrossRef]
- Odelberg, T.J.; Im, J.; Moosavifar, M.; Wentzloff, D.D. A Fully Integrated NB-IoT Wake-Up Receiver Utilizing an Optimized OFDM 12-Point FFT Wake-Up Engine. In Proceedings of the 2024 IEEE International Symposium on Circuits and Systems (ISCAS), New Delhi, India, 18–19 October 2024; pp. 1–5. [Google Scholar]
- Kim, T.; Kim, B.; Roh, J. A 54-nA Quiescent Current Capless LDO With −39-dB PSRR at 1 MHz Using a Load-Tracking Bandwidth Extension Technique. IEEE Trans. Circuits Syst. II Express Briefs 2024, 71, 1556–1560. [Google Scholar] [CrossRef]
- Liu, X.; Kamineni, S.; Breiholz, J.; Calhoun, B.H.; Li, S. A Sub-μW Energy-Performance-Aware IoT SoC With a Triple-Mode Power Management Unit for System Performance Scaling, Fast DVFS, and Energy Minimization. IEEE J. Solid-State Circuits 2024, 59, 2272–2285. [Google Scholar] [CrossRef]
- Adorni, N.; Stanzione, S.; Boni, A. A 10-mA LDO With 16-nA IQ and Operating From 800-mV Supply. IEEE J. Solid-State Circuits 2020, 55, 404–413. [Google Scholar] [CrossRef]
- Jiang, Y.; Wang, D.; Chan, P.K. A Quiescent 407-nA Output-Capacitorless Low-Dropout Regulator With 0–100-mA Load Current Range. IEEE Trans. Very Large Scale Integr. (VLSI) Syst. 2019, 27, 1093–1104. [Google Scholar] [CrossRef]
- Shi, C.; Duncan, J.; Pu, Y.; Liu, G.; Homayoun, A.; Attar, R. An Ultralow-Power On-Die PMU in a 28-nm CMOS SoC with Direct Li-Ion Battery-Attach Capability. IEEE J. Emerg. Sel. Top. Power Electron. 2018, 6, 465–476. [Google Scholar] [CrossRef]
- Lee, S.; Lim, J.; Han, J. A PSRR-Enhanced Fast-Response Inverter-Based LDO for Mobile Devices. IEEE Trans. Circuits Syst. II Express Briefs 2024, 71, 3226–3230. [Google Scholar] [CrossRef]
- Darwish, M.; Mohsen, M.; Saad, A.; Weldon, J.A. Ultra low-Area Hysteretic Control LDO with Sub-1 μA Quiescent Current. IEEE Trans. Circuits Syst. II Express Briefs 2016, 63, 1004–1008. [Google Scholar] [CrossRef]
- Kim, J.S.; Javed, K.; Min, K.H.; Roh, J. A 13.5-nA Quiescent Current LDO With Adaptive Ultra-Low-Power Mode for Low-Power IoT Applications. IEEE Trans. Circuits Syst. II Express Briefs 2023, 70, 3278–3282. [Google Scholar] [CrossRef]
- Guo, T.; Kang, W.; Roh, J. A 0.9-μA Quiescent Current High PSRR Low Dropout Regulator Using a Capacitive Feed-Forward Ripple Cancellation Technique. IEEE J. Solid-State Circuits 2022, 57, 3139–3149. [Google Scholar] [CrossRef]
- Huang, J.R.; Wen, Y.H.; Yang, T.H.; Lee, J.J.; Liu, G.T.; Chen, K.H.; Lin, Y.H.; Lin, S.R.; Tsai, T.Y. A 10 nA Ultra-Low Quiescent Current and 60 ns Fast Transient Response Low-Dropout Regulator for Internet-of-Things. IEEE Trans. Circuits Syst. I Regul. Pap. 2022, 69, 139–147. [Google Scholar] [CrossRef]
- Huang, Y.; Lu, Y.; Maloberti, F.; Martins, R.P. Nano-Ampere Low-Dropout Regulator Designs for IoT Devices. IEEE Trans. Circuits Syst. I Regul. Pap. 2018, 65, 4017–4026. [Google Scholar] [CrossRef]
- Bahramali, A.; Lopez-Vallejo, M. An RFID-Based Self-Biased 40 nm Low Power LDO Regulator for IoT Applications. Micromachines 2021, 12, 396. [Google Scholar] [CrossRef]
- Ni, S.; Chen, Z.; Hu, C.; Chen, H.; Wang, Q.; Li, X.; Song, S.; Song, Z. An output-capacitorless low-dropout regulator with slew-rate enhancement. Micromachines 2022, 13, 1594. [Google Scholar] [CrossRef]
- Lee, C.K.; Lee, C.H.; Jeon, Y.J.; Oh, Y.J.; Lee, B.; Hong, S.W. A 92 ns Settling-Time Fast-Transient Capacitor-Less LDO with a Stable Class B Bandwidth-Boosting Error Amplifier and an Improved Buffer for Mobile Applications. IEEE Trans. Ind. Electron. 2024, 71, 11696–11700. [Google Scholar] [CrossRef]
- Pereira-Rial, Ó.; López, P.; Carrillo, J.M. 0.6-V-VIN 7.0-nA-IQ 0.75-mA-IL CMOS Capacitor-Less LDO for Low-Voltage Micro-Energy-Harvested Supplies. IEEE Trans. Circuits Syst. I Regul. Pap. 2022, 69, 599–608. [Google Scholar] [CrossRef]
- Silva-Martinez, J.; Liu, X.; Zhou, D. Recent Advances on Linear Low-Dropout Regulators. IEEE Trans. Circuits Syst. II Express Briefs 2021, 68, 568–573. [Google Scholar] [CrossRef]
- Chen, C.; Sun, M.; Wang, L.; Huang, T.; Xu, M. A Fast Transient Response Capacitor-Less LDO with Transient Enhancement Technology. Micromachines 2024, 15, 299. [Google Scholar] [CrossRef]
- Hu, C.; Chen, Z.; Ni, S.; Wang, Q.; Li, X.; Chen, H.; Song, Z. A fully integrated low-dropout regulator with improved load regulation and transient responses. Micromachines 2022, 13, 1668. [Google Scholar] [CrossRef] [PubMed]
- Fan, H.; Feng, L.; Diao, X.; Xie, X.; Wang, C.; Li, G.; Wei, Q.; Qiao, F.; Feng, Q.; Bonizzoni, E. A Fast Transient LDO Regulator Featuring High PSRR Over 100-kHz Frequency Range with Adaptive, Dynamic Biasing, and Current Mode Feed-Forward Amplifier. IEEE Trans. Circuits Syst. II Express Briefs 2024, 71, 1764–1768. [Google Scholar] [CrossRef]
- Ivanov, V. Design Methodology and Circuit Techniques for Any-Load Stable LDOs with Instant Load Regulation and Low Noise. In Analog Circuit Design: High-Speed Clock and Data Recovery, High-Performance Amplifiers, Power Management; Steyaert, M., Roermund, A.H.M.v., Casier, H., Eds.; Springer: Dordrecht, The Netherlands, 2009; pp. 339–358. [Google Scholar] [CrossRef]
- Zhao, J.; Gao, Y.; Zhang, T.T.; Son, H.; Heng, C.H. A 310-nA Quiescent Current 3-fs-FoM Fully Integrated Capacitorless Time-Domain LDO with Event-Driven Charge Pump and Feedforward Transient Enhancement. IEEE J. Solid-State Circuits 2021, 56, 2924–2933. [Google Scholar] [CrossRef]
- Zhang, Y.; Ge, Q.; Zeng, Y. A 0.6 VIN 100 mV Dropout Capacitor-Less LDO with 220 nA IQ for Energy Harvesting System. Micromachines 2023, 14, 998. [Google Scholar] [CrossRef]
- Tang, J.; Lee, J.; Roh, J. Low-Power Fast-Transient Capacitor-Less LDO Regulator with High Slew-Rate Class-AB Amplifier. IEEE Trans. Circuits Syst. II Express Briefs 2019, 66, 462–466. [Google Scholar] [CrossRef]
- Qu, W.; Singh, S.; Lee, Y.; Son, Y.S.; Cho, G.H. Design-Oriented Analysis for Miller Compensation and Its Application to Multistage Amplifier Design. IEEE J. Solid-State Circuits 2017, 52, 517–527. [Google Scholar] [CrossRef]
- Yan, Z.; Mak, P.I.; Law, M.K.; Martins, R.P. A 0.016-mm2 144-μW Three-Stage Amplifier Capable of Driving 1-to-15 nF Capacitive Load with >0.95-MHz GBW. IEEE J. Solid-State Circuits 2013, 48, 527–540. [Google Scholar] [CrossRef]
- Ming, X.; Kuang, J.J.; Gong, X.C.; Lin, Z.; Xiong, J.; Qin, Y.; Wang, Z.; Zhang, B. A Fast-Transient Capacitorless LDO with Dual Paths Active-Frequency Compensation Scheme. IEEE Trans. Power Electron. 2022, 37, 10332–10347. [Google Scholar] [CrossRef]
- Gupta, V.; Rincon-Mora, G.; Raha, P. Analysis and design of monolithic, high PSR, linear regulators for SoC applications. In Proceedings of the IEEE International SOC Conference, Santa Clara, CA, USA, 12–15 September 2004; pp. 311–315. [Google Scholar] [CrossRef]
- Răducan, C.; Grăjdeanu, A.T.; Plesa, C.S.; Neag, M.; Negoiţă, A.; Ţopa, M.D. LDO With Improved Common Gate Class-AB OTA Handles any Load Capacitors and Provides Fast Response to Load Transients. IEEE Trans. Circuits Syst. I Regul. Pap. 2020, 67, 3740–3752. [Google Scholar] [CrossRef]






















| Calculated Result | Simulation Result | |
|---|---|---|
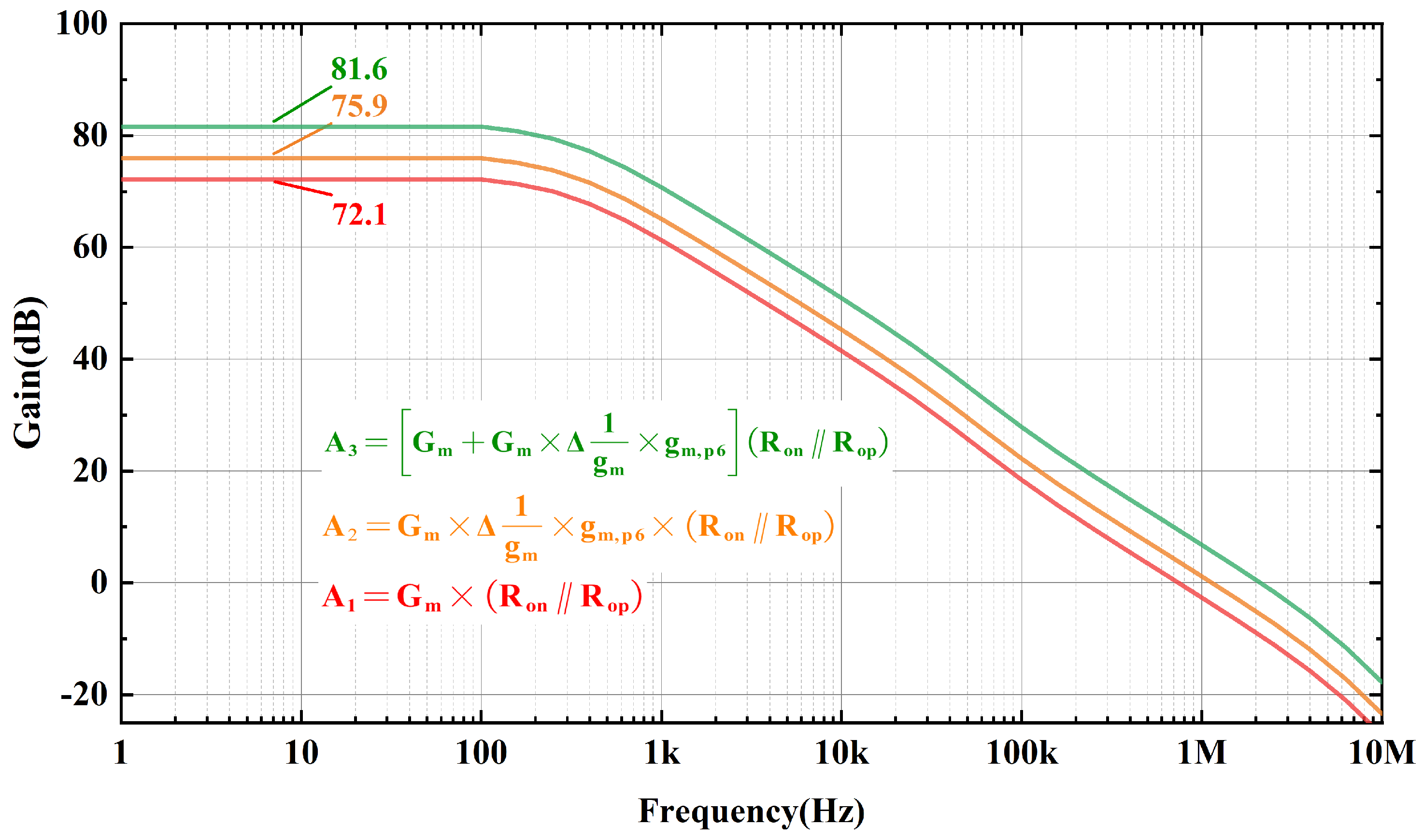
| Without NR and CCIS | 73.6 dB | 72.1 dB |
| With NR and without CCIS | 77.9 dB | 75.9 dB |
| With NR and CCIS | 82.4 dB | 81.6 dB |
| References | [8] m | [10] m | [18] m | [19] m | [21] s | [26] s | This Work m |
|---|---|---|---|---|---|---|---|
| Year | 2018 | 2024 | 2024 | 2022 | 2024 | 2023 | 2024 |
| Technology [nm] | 180 | 28 | 500 | 180 | 180 | 180 | 180 |
| [V] | 1.2–1.25 | 0.4–1.1 | 2.8–5.0 | 0.6-1 | 1.2–1.8 | 0.6 | 1.2–1.8 |
| [V] | 0.2 | 0.2 | 0.2 | 0.1 | 0.2 | 0.1 | 0.2 |
| [V] | 1 | 0.2–1.05 | 1.4–4.8 | 0.5 | 1 | 0.5 | 1 |
| [pF] | 100 | 80 | 100 | N/A | 100 | 1000 | 100 |
| [µA] | 0.407 | 0.6 | 33 | 0.007 | 47 | 0.22 | 0.64 |
| [mA] | 0–100 | 1–165 | 1–300 | 0.01–0.75 | 0–20 | 0.01–10 | 0.001–100 |
| Peak [%] | 99.75 | 99.98 | N/A | 99.96 | 99.99 | 99.96 | 99.94 |
| Line Reg. [mV/V] | 0.283 | 1 | 0.1 | 3.18 | 1.5 | 0.487 | 0.87 |
| Load Reg. [µV/mA] | 77 | 60 | 40 | 4770 | 25 | 0.00585 | 7.6 |
| /t [mA/ns] | 100/300 | 148/10 | 299/50 | 0.49/N/A | 20/100 | 9.99/1 | 99.9/500 |
| Overshoot [mV] | 35.33 | 50 | 182 | N/A | 156 | 99 | 197 |
| Undershoot [mV] | 117 | 47 | 276 | N/A | 238.6 | 230 | 201 |
| PSR [dB] | −46.82@10k | −44.3@100k | −58@10k | −22.5@10 | −43@100 | −43.97@1k | −72.4@1k |
| FOM [fs] | 0.62 | 39 | 16.94 | N/A | 4636.55 | 723.8 | 2.55 |
| Active area [mm2] | 0.055 | 0.023 | 0.13 | 0.043 | 0.0105 | N/A | 0.049 |
Disclaimer/Publisher’s Note: The statements, opinions and data contained in all publications are solely those of the individual author(s) and contributor(s) and not of MDPI and/or the editor(s). MDPI and/or the editor(s) disclaim responsibility for any injury to people or property resulting from any ideas, methods, instructions or products referred to in the content. |
© 2024 by the authors. Licensee MDPI, Basel, Switzerland. This article is an open access article distributed under the terms and conditions of the Creative Commons Attribution (CC BY) license (https://creativecommons.org/licenses/by/4.0/).
Share and Cite
Zhang, Y.; Cai, J.; Chen, J.; Yin, Y. A 640 nA IQ Output-Capacitor-Less Low Dropout (LDO) Regulator with Sub-Threshold Slew-Rate Enhancement for Narrow Band Internet of Things (NB-IoT) Applications. Micromachines 2024, 15, 1019. https://doi.org/10.3390/mi15081019
Zhang Y, Cai J, Chen J, Yin Y. A 640 nA IQ Output-Capacitor-Less Low Dropout (LDO) Regulator with Sub-Threshold Slew-Rate Enhancement for Narrow Band Internet of Things (NB-IoT) Applications. Micromachines. 2024; 15(8):1019. https://doi.org/10.3390/mi15081019
Chicago/Turabian StyleZhang, Yuxin, Jueping Cai, Jizhang Chen, and Yixin Yin. 2024. "A 640 nA IQ Output-Capacitor-Less Low Dropout (LDO) Regulator with Sub-Threshold Slew-Rate Enhancement for Narrow Band Internet of Things (NB-IoT) Applications" Micromachines 15, no. 8: 1019. https://doi.org/10.3390/mi15081019
APA StyleZhang, Y., Cai, J., Chen, J., & Yin, Y. (2024). A 640 nA IQ Output-Capacitor-Less Low Dropout (LDO) Regulator with Sub-Threshold Slew-Rate Enhancement for Narrow Band Internet of Things (NB-IoT) Applications. Micromachines, 15(8), 1019. https://doi.org/10.3390/mi15081019

