The Design of a Multifunctional Coding Transmitarray with Independent Manipulation of the Polarization States
Abstract
1. Introduction
2. The Working Principle of the RPRCT
3. RPRCT Element Design and Analysis
3.1. The Element Design of the RPRCT
3.2. The Simulation of the RPRCT Element
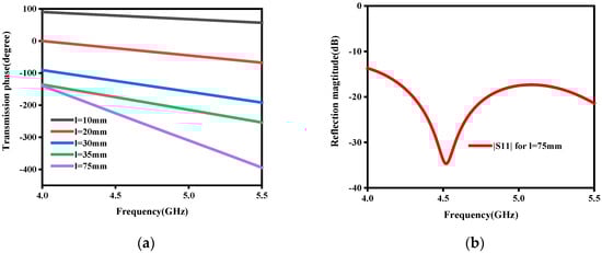
3.3. The Design Principle of the Phase-Regulation Layer
4. Multifunctional RPRCT Design
5. Experimental Analysis of the RPRCT
6. Conclusions
Author Contributions
Funding
Data Availability Statement
Conflicts of Interest
References
- Zhang, W.; Meiguni, J.; Sun, Y.; Ouyang, M.O.; Yan, X.; Wang, X.; Yazani, R.; Beetner, D.; Kim, D.; Pommerenke, D. Electromagnetic Transmit Array With Optical Control for Beamforming. IEEE Trans. Antennas Propag. 2023, 71, 5481–5486. [Google Scholar] [CrossRef]
- Feng, J.C.; Yan, Z.H.; Yang, S.Y.; Fan, F.F.; Zhang, T.L.; Liu, X.S.; Zhao, X.F.; Chen, Q.L. Reflect–Transmit-Array Antenna With Independent Dual Circularly Polarized Beam Control. IEEE Antennas Wirel. Propag. Lett. 2023, 22, 89–93. [Google Scholar] [CrossRef]
- Wang, N.; Peng, T.; Huang, J.; Zhang, M.; Su, H.; Li, L.; Liang, H.W. Metallic Waveguide Transmitarrays for Dual-band Terahertz Antennas with High Gain and Low Sidelobe Levels. Opt. Commun. 2024, 559, 130433. [Google Scholar] [CrossRef]
- Arbabi, A.; Horie, Y.; Ball, A.J.; Bagheri, M.A.F. Subwavelength-thick Lenses with High Numerical Apertures and Large Efficiency based on High-contrast Transmitarrays. Nat. Commun. 2015, 6, 7069. [Google Scholar] [CrossRef] [PubMed]
- Shahmirzadi, A.V.; Kishk, A.A. OAM Carrying Vortex Beam Mode Interconversion Using Modular Cascaded Transmitarrays. IEEE Trans. Microw. Theory Tech. 2022, 70, 3591–3605. [Google Scholar] [CrossRef]
- Clemente, A.; Dussopt, L.; Sauleau, R.; Potier, P.; Pouliguen, P. 1-Bit Reconfigurable Unit Cell based on PIN Diodes for Transmit-array Applications in X-band. IEEE Trans. Antennas Propag. 2012, 60, 2260–2269. [Google Scholar] [CrossRef]
- Lau, J.Y.; Hum, S.V. Reconfigurable Transmitarray Design Approaches for Beamforming Applications. IEEE Trans. Antennas Propag. 2012, 60, 5679–5689. [Google Scholar] [CrossRef]
- Liu, M.C.; Hou, Y.F. A High-integration Dual-resonance Element with Independent Frequency Tuning for Wideband Reflectarrays. Electron. Lett. 2023, 60, e13095. [Google Scholar] [CrossRef]
- Zhu, J.F.; Yang, Y.; Liao, S.W.; Xue, Q. Additively Manufactured Metal-Only Waveguide-Based Millimeter-Wave Broadband Achromatic Reflectarrays. IEEE Trans. Antennas Propag. 2023, 71, 6185–6190. [Google Scholar] [CrossRef]
- Xu, Z.Y.; Zhang, X.; Li, Y.; Yuan, T.; Quan, Z. A Highly Selective Reflectarray Using ME Dipole Element with Gain-Filtering Characteristics. IEEE Trans. Antennas Propag. 2024, 72, 1989–1994. [Google Scholar] [CrossRef]
- Miao, Z.W.; Hao, Z.C.; Yu, D.Q.; Ding, C.Y.; Wu, F. A W-Band High-Gain Bilayer Transmit-Array Antenna Employing Huygens’ Resonance. IEEE Trans. Antennas Propag. 2023, 22, 1184–1188. [Google Scholar] [CrossRef]
- Zhu, H.Y.; Qiu, C.Q.; Li, F.; Wu, C.; Liao, L.; Zhang, Z.R. Time-varying digital coding of induced-magnetism Huygens’ metasurfaces for flexible and continuous control of harmonics. J. Phys. D Appl. Phys. 2024, 57, 155105. [Google Scholar] [CrossRef]
- Farasat, M.; Thalakotuna, D.N.; Hu, Z.H.; Yang, Y. A Review on 5G Sub-6 GHz Base Station Antenna Design Challenges. Electronics 2021, 10, 2000. [Google Scholar] [CrossRef]
- Zhang, L.; Wu, R.Y.; Bai, G.D.; Wu, H.T.; Ma, Q.; Chen, X.Q.; Cui, T.J. Transmission-reflection-integrated multifunctional coding metasurface for full-space controls of electromagnetic waves. Adv. Funct. Mater. 2018, 28, 1802205. [Google Scholar] [CrossRef]
- He, X.Y.; Deng, L.; Yang, Y.; Feng, B.T. Multifunctional ultrathin reflective metasurface via polarization-decoupled phase for arbitrary circularly or elliptically polarized waves. Opt. Express 2021, 29, 12736–12749. [Google Scholar] [CrossRef] [PubMed]
- Chen, J.Y.; Li, W.H.; Zhang, Y.F.; Ma, W.Y.; Tang, W.X.; Cui, T.J. Absorption-transmission-type multifunctional coding metasurface. J. Phys. D Appl. Phys. 2022, 55, 405003. [Google Scholar] [CrossRef]
- Lv, Q.H.; Jin, C.; Zhang, B.C.; Shen, Z.X. Hybrid absorptive-diffusive frequency selective radome. IEEE Trans. Antennas Propag. 2021, 69, 3312–3321. [Google Scholar] [CrossRef]
- Li, Z.H.; Yang, R.C.; Wang, J.Y.; Zhao, Y.J.; Tian, J.P.; Zhang, W.M. Multifunctional metasurface for broadband absorption, linear and circular polarization conversions. Opt. Mater. Express 2021, 11, 3507–3519. [Google Scholar] [CrossRef]
- Tian, Y.; Han, L.C.; Yan, L.; Wang, J.Y.; Zhang, B.Z.; Jiao, Z. Optically-Controlled Terahertz Multifunctional Polarization Conversion Metasurface with Reflection and Transmission Modes. Micromachines 2022, 13, 1387. [Google Scholar] [CrossRef]
- Clemente, A.; Dussopt, L.; Sauleau, R.; Potier, P.; Pouliguen, P. Wideband 400-element Electronically Reconfigurable Transmitarray in X band. IEEE Trans. Antennas Propag. 2013, 61, 5017–5027. [Google Scholar] [CrossRef]
- Xiao, Y.; Yang, F.; Xu, S.H.; Li, M.K.; Zhu, K.Q.; Sun, H.J. Design and implementation of a wideband 1-bit transmitarray based on a Yagi–Vivaldi unit cell. IEEE Trans. Antenn. Propag. 2021, 69, 4229–4234. [Google Scholar] [CrossRef]
- Huang, C.; Pan, W.B.; Ma, X.L.; Zhao, B.; Cui, J.H.; Luo, X.G. Using reconfigurable transmitarray to achieve beam-steering and polarization manipulation applications. IEEE Trans. Antennas Propag. 2015, 63, 4801–4810. [Google Scholar] [CrossRef]
- Cong, L.Q.; Pitchappa, P.; Lee, C.; Singh, R. Active Phase Transition via Loss Engineering in a Terahertz MEMS Metamaterial. Adv. Mater. 2017, 29, 1700733. [Google Scholar] [CrossRef] [PubMed]
- Frank, M.; Lurz, F.; Weigel, R.; Koelpin, A. Electronically reconfigurable 6×6 element transmitarray at K-band based on unit cells with continuous phase range. IEEE Antennas Wirel. Propag. Lett. 2019, 18, 796–800. [Google Scholar] [CrossRef]
- Hou, S.H.; Fang, S.L.; Wang, Y.Y.; Wang, M.T.; Wang, Y.X.; Tian, J.L.; Feng, J.H. A Ka-band one-dimensional beam scanning leaky-wave antenna based on liquid crystal. Sci. Rep. 2024, 14, 3937. [Google Scholar] [CrossRef]
- Wu, X.Y.; Feng, H.Y.; Wan, F.S.; Wei, M.; Guo, C.; Cai, L.Z.; Wu, F.; Jiang, Z.H.; Kang, L.; Hong, W.; et al. An Ultrathin, Fast-Response, Large-Scale Liquid-Crystal-Facilitated Multi-Functional Reconfigurable Metasurface for Comprehensive Wavefront Modulation. Adv. Mater. 2024, 4, e2402170. [Google Scholar] [CrossRef]
- Liu, G.; Wang, H.J.; Jiang, J.S.; Xue, F.; Yi, M. A high-efficiency transmitarray antenna using double split ring slot elements. IEEE Antennas Wirel. Propag. Lett. 2015, 14, 1415–1418. [Google Scholar] [CrossRef]
- Rahmati, B.; Hassani, H.R. Low-profile slot transmitarray antenna. IEEE Trans. Antenn. Propag. 2015, 63, 174–181. [Google Scholar] [CrossRef]
- Wu, L.W.; Ma, H.F.; Guo, Y.; Wu, R.Y.; Wang, Z.X.; Wang, M.; Gao, X.X.; Cui, T.J. High-transmission ultrathin Huygens’ metasurface with 360° phase control by using double-layer transmitarray elements. Phys. Rev. Appl. 2019, 12, 024012. [Google Scholar] [CrossRef]
- Hou, H.S.; Wang, G.M.; Li, H.P.; Guo, W.L.; Cai, T. Helicity-dependent Receiver-Transmitter metasurfaces for full-space wavefront manipulation. Opt. Express 2020, 28, 27575–27587. [Google Scholar] [CrossRef]
- Feng, P.Y.; Qu, S.W.; Yang, S.W. OAM-Generating Transmitarray Antenna With Circular Phased Array Antenna Feed. IEEE Trans. Antenn. Propag. 2020, 68, 4540–4548. [Google Scholar] [CrossRef]
- Shi, S.Y.; Liu, Q.; Feng, W.J.; Chen, W. Wideband Polarization Rotation Transmitarray Using Arrow-Shaped FSS at W-Band. IEEE Trans. Antenn. Propag. 2022, 70, 6001–6005. [Google Scholar] [CrossRef]
- Zhang, L.; Liu, S.; Li, L.L.; Cui, T.J. Spin-Controlled Multiple Pencil Beams and Vortex Beams with Different Polarizations Generated by Pancharatnam-Berry Coding Metasurfaces. ACS Appl. Mater. Interfaces 2017, 9, 36447–36455. [Google Scholar] [CrossRef]
- Zhang, S.L.; Cao, W.P.; Wu, T.S.; Wang, J.; Li, H.; Duan, Y.L.; Rong, H.Y.; Zhang, Y.L. Transmission-Reflection-Integrated Multifunctional Passive Metasurface for Entire-Space Electromagnetic Wave Manipulation. Materials 2023, 16, 4242. [Google Scholar] [CrossRef]
- Cai, Y.M.; Li, K.; Li, W.T.; Gao, S.; Yin, Y.Z.; Zhao, L.Y.; Hu, W. Dual-band circularly polarized transmitarray with single linearly polarized feed. IEEE Trans. Antenn. Propag. 2020, 68, 5015–5020. [Google Scholar] [CrossRef]
- Aziz, A.; Yang, F.; Xu, S.H.; Li, M.K. An efficient dual-band orthogonally polarized transmitarray design using three-dipole elements. IEEE Antennas Wirel. Propag. Lett. 2018, 17, 319–322. [Google Scholar] [CrossRef]
- Deng, R.Y.; Xu, S.H.; Yang, F.; Li, M.K. An FSS-backed Ku/Ka quad-band reflectarray antenna for satellite communications. IEEE Trans. Antenn. Propag. 2018, 66, 4353–4358. [Google Scholar] [CrossRef]
- Wu, P.C.; Zhu, W.M.; Shen, Z.X.; Chong, P.H.J.; Ser, W.; Tsai, D.P.; Liu, A.Q. Broadband Wide-Angle Multifunctional Polarization Converter via Liquid-Metal-Based Metasurface. Adv. Opt. Mater. 2017, 5, 1600938. [Google Scholar] [CrossRef]















| Functionalities | Polarization State | Illuminating Space |
|---|---|---|
| Vortex beam with mode l = 1 | x-polarization | Upper space |
| Bi-focal converging beams | x-polarization | Upper space |
| Bi-focal converging beams | y-polarization | Lower space |
| Vortex beam with mode l = 1 | y-polarization | Lower space |
Disclaimer/Publisher’s Note: The statements, opinions and data contained in all publications are solely those of the individual author(s) and contributor(s) and not of MDPI and/or the editor(s). MDPI and/or the editor(s) disclaim responsibility for any injury to people or property resulting from any ideas, methods, instructions or products referred to in the content. |
© 2024 by the authors. Licensee MDPI, Basel, Switzerland. This article is an open access article distributed under the terms and conditions of the Creative Commons Attribution (CC BY) license (https://creativecommons.org/licenses/by/4.0/).
Share and Cite
Zhang, S.; Cao, W.; Wu, T.; Wang, J.; Wei, Y. The Design of a Multifunctional Coding Transmitarray with Independent Manipulation of the Polarization States. Micromachines 2024, 15, 1014. https://doi.org/10.3390/mi15081014
Zhang S, Cao W, Wu T, Wang J, Wei Y. The Design of a Multifunctional Coding Transmitarray with Independent Manipulation of the Polarization States. Micromachines. 2024; 15(8):1014. https://doi.org/10.3390/mi15081014
Chicago/Turabian StyleZhang, Shunlan, Weiping Cao, Tiesheng Wu, Jiao Wang, and Ying Wei. 2024. "The Design of a Multifunctional Coding Transmitarray with Independent Manipulation of the Polarization States" Micromachines 15, no. 8: 1014. https://doi.org/10.3390/mi15081014
APA StyleZhang, S., Cao, W., Wu, T., Wang, J., & Wei, Y. (2024). The Design of a Multifunctional Coding Transmitarray with Independent Manipulation of the Polarization States. Micromachines, 15(8), 1014. https://doi.org/10.3390/mi15081014
