Effects of Group IVA Elements on the Electrical Response of a Ge2Se3-Based Optically Gated Transistor
Abstract
1. Introduction
2. Materials and Methods
2.1. Fabrication of OGT Devices
2.2. Material Characterization
2.2.1. Raman Spectroscopy
2.2.2. UV-Vis Spectroscopy
2.3. Electrical Testing
2.3.1. I-V Measurements
2.3.2. Pulsed Light Tests
2.4. Electrical Data Analysis Methods
2.4.1. I-V Measurements
Power Density
Responsivity
Conduction
2.4.2. LED Pulse Testing Analysis Methods
3. Results
3.1. Material Characterization
3.1.1. Raman Spectroscopy
3.1.2. UV-Vis Analysis
3.2. Electrical Characterization
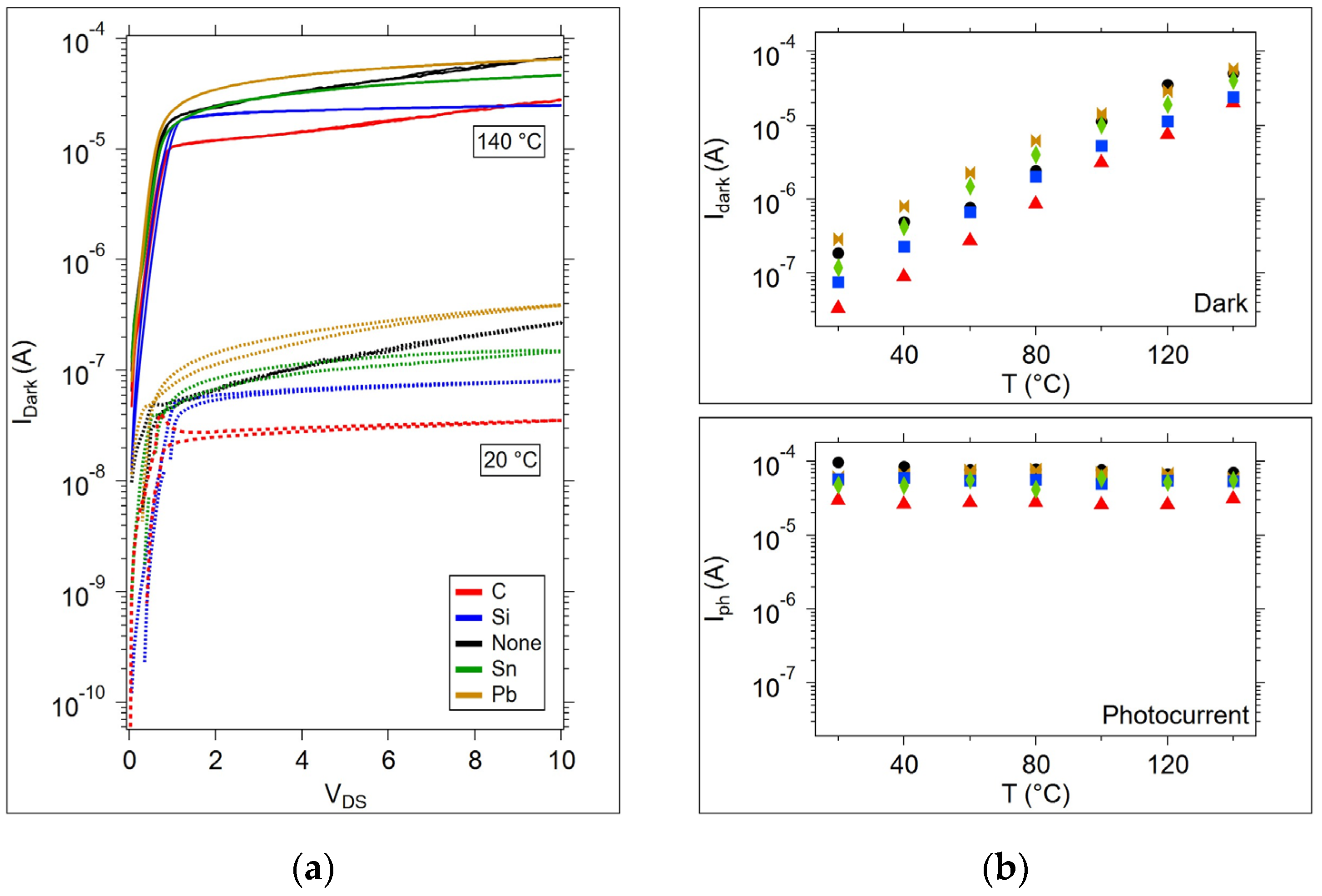
3.2.1. Temperature Dependent I-V
3.2.2. Responsivity
3.2.3. Pulse Testing
4. Discussion
5. Conclusions
Supplementary Materials
Author Contributions
Funding
Data Availability Statement
Acknowledgments
Conflicts of Interest
References
- Song, W.; Rao, M.; Li, Y.; Li, C.; Zhuo, Y.; Cai, F.; Wu, M.; Yin, W.; Li, Z.; Wei, Q.; et al. Programming memristor arrays with arbitrarily high precision for analog computing. Science 2024, 383, 903–910. [Google Scholar] [CrossRef] [PubMed]
- Sun, B.; Chen, Y.; Zhou, G.; Cao, Z.; Yang, C.; Du, J.; Chen, X.; Shao, J. Memristor-Based Artificial Chips. ACS Nano 2023, 18, 14–27. [Google Scholar] [CrossRef] [PubMed]
- Burr, G.W.; Shenoy, R.S.; Hwang, H. Select Device Concepts for Crossbar Arrays. In Resistive Switching; Ielmini, D., Waser, R., Eds.; Wiley-VCH: Hoboken, NJ, USA, 2016. [Google Scholar]
- Dongale, T.D.; Kamble, G.U.; Kang, D.Y.; Kundale, S.S.; An, H.-M.; Kim, T.G. Recent Progress in Selector and Self-Rectifying Devices for Resistive Random-Access Memory Application. Phys. Status Solidi Rapid Res. Lett. 2021, 15, 2100199. [Google Scholar] [CrossRef]
- Humood, K.; Hadi, S.A.; Mohammad, B.; Jaoude, M.A.; Alazzam, A.; Alhawari, M. High-Density ReRAM Crossbar with Selector Device for Sneak Path Reduction. In Proceedings of the 2019 31st International Conference on Microelectronics (ICM), Cairo, Egypt, 15–18 December 2019; pp. 244–248. [Google Scholar]
- Youssef, A.N.; Jagath, A.L.; Thulasiraman, N.K.; Almurib, H.A.F. Effect of Sneak Path Current in TiOx/HfOx Based 1S1R RRAM Crossbar Memory Array. In Proceedings of the 2021 IEEE 19th Student Conference on Research and Development (SCOReD), Kota Kinabalu, Malaysia, 23–25 November 2021; pp. 267–272. [Google Scholar]
- Jain, S.; Hota, G.; Shi, Y.; Oh, S.; Wu, J.; Fowler, P.; Kuzum, D.; Cauwenberghs, G. A Versatile and Efficient Neuromorphic Platform for Compute-in-Memory with Selector-less Memristive Crossbars. In Proceedings of the 2023 IEEE International Symposium on Circuits and Systems (ISCAS), Monterey, CA, USA, 21–25 May 2023; pp. 1–4. [Google Scholar]
- Chai, Z.; Zhang, W.; Zhang, J.F. Stochastic Computing Based on Volatile Ovonic Threshold Switching Devices. In Proceedings of the 2023 IEEE 15th International Conference on ASIC (ASICON), Nanjing, China, 24–27 October 2023; pp. 1–4. [Google Scholar]
- Yoo, C.; Kim, W.; Jeon, J.W.; Park, E.-S.; Ha, M.; Lee, Y.K.; Hwang, C.S. Atomic Layer Deposition of GexSe1−x Thin Films for Endurable Ovonic Threshold Selectors with a Low Threshold Voltage. ACS Appl. Mater. Interfaces 2020, 12, 23110–23118. [Google Scholar] [CrossRef] [PubMed]
- Chen, J.; Wang, L.; Liu, Z.; Wen, J.; Tong, H.; Miao, X. Boron Doping: Unlocking Arsenic-Mimicking Performance in GeSe-Based OTS Selectors. IEEE Electron Device Lett. 2023, 45, 44–47. [Google Scholar] [CrossRef]
- Lee, J.; Seo, Y.; Ban, S.; Kim, D.G.; Bin Park, Y.; Lee, T.H.; Hwang, H. Understanding Switching Mechanism of Selector-Only Memory Using Se-Based Ovonic Threshold Switch Device. IEEE Trans. Electron Devices 2024, 71, 3351–3357. [Google Scholar] [CrossRef]
- Ravsher, T.; Degraeve, R.; Garbin, D.; Clima, S.; Fantini, A.; Donadio, G.; Kundu, S.; Devulder, W.; Hody, H.; Potoms, G.; et al. Comprehensive Performance and Reliability Assessment of Se-based Selector-Only Memory. In Proceedings of the 2024 IEEE International Reliability Physics Symposium (IRPS), Grapevine, TX, USA, 14–18 April 2024; pp. 7A.5-1–7A.5-9. [Google Scholar]
- Campbell, K.A.; Bassine, R.A.; Kabir, F.; Astle, J. An Optically Gated Transistor Composed of Amorphous M + Ge2Se3 (M = Cu or Sn) for Accessing and Continuously Programming a Memristor. ACS Appl. Electron. Mater. 2018, 1, 96–104. [Google Scholar] [CrossRef]
- Jin, Y.; Chen, Z. High gain hot-carrier WSe2 phototransistor with gate-tunable responsivity. Adv. Eng. Technol. Res. 2023, 7, 21. [Google Scholar] [CrossRef]
- Lin, Y.-C.; Yang, W.-C.; Chiang, Y.-C.; Chen, W.-C. Recent Advances in Organic Phototransistors: Nonvolatile Memory, Artificial Synapses, and Photodetectors. Small Sci. 2022, 2, 2100109. [Google Scholar] [CrossRef]
- Wu, M.; Shang, S.; Wei, Q.; Liu, C.; Li, A.; Gao, X.; Wang, S.; Yin, J.; Xia, Y.; Liu, Z. High Visible-Light-Stimulated Plasticity in Optoelectronic Synaptic Transistors for Irradiation History-Dependent Learning. Adv. Electron. Mater. 2020, 6, 1901255. [Google Scholar] [CrossRef]
- Han, C.; Han, X.; Han, J.; He, M.; Peng, S.; Zhang, C.; Liu, X.; Gou, J.; Wang, J. Light-Stimulated Synaptic Transistor with High PPF Feature for Artificial Visual Perception System Application. Adv. Funct. Mater. 2022, 32, 2113053. [Google Scholar] [CrossRef]
- Wang, W.; Li, X.-X.; Wang, T.; Huang, W.; Ji, Z.-G.; Zhang, D.W.; Lu, H.-L. Investigation of Light-Stimulated α-IGZO Based Photoelectric Transistors for Neuromorphic Applications. IEEE Trans. Electron Devices 2020, 67, 3141–3145. [Google Scholar] [CrossRef]
- Tavasli, A.; Gurunlu, B.; Gunturkun, D.; Isci, R.; Faraji, S. A Review on Solution-Processed Organic Phototransistors and Their Recent Developments. Electronics 2022, 11, 316. [Google Scholar] [CrossRef]
- Yoo, H.; Lee, I.S.; Jung, S.; Rho, S.M.; Kang, B.H.; Kim, H.J. A Review of Phototransistors Using Metal Oxide Semiconductors: Research Progress and Future Directions. Adv. Mater. 2021, 33, 2006091. [Google Scholar] [CrossRef] [PubMed]
- Shin, J.; Yoo, H. Photogating Effect-Driven Photodetectors and Their Emerging Applications. Nanomaterials 2023, 13, 882. [Google Scholar] [CrossRef]
- Griffin, K.; Redmond, G. A Purely Electronic Analog Memristive Device Based on a Squaraine Nanowire Mesh. ACS Appl. Electron. Mater. 2024, 6, 261–275. [Google Scholar] [CrossRef]
- Imran, A.; Zhu, Q.; Sulaman, M.; Bukhtiar, A.; Xu, M. Electric-Dipole Gated Two Terminal Phototransistor for Charge-Coupled Device. Adv. Opt. Mater. 2023, 11, 2300910. [Google Scholar] [CrossRef]
- Kundale, S.S.; Kim, H.; Kumbhar, D.D.; Oh, C.-H.; Cho, S.-Y.; Kwon, M.J.; Shim, S.; Kim, W.; Mukherjee, S.; Kim, S.W.; et al. Multimode Operation of Light-Gated Transistors Based on Millimeter-Scale Transition-Metal Dichalcogenide Grown by Chemical Vapor Deposition. ACS Mater. Lett. 2024, 6, 3384–3393. [Google Scholar] [CrossRef]
- Wang, Y.; Zhou, R.; Cong, H.; Chen, G.; Ma, Y.; Xin, S.; Ge, D.; Qin, Y.; Ramakrishna, S.; Liu, X.; et al. Weak UV-Stimulated Synaptic Transistors Based on Precise Tuning of Gallium-Doped Indium Zinc Oxide Nanofibers. Adv. Fiber Mater. 2023, 5, 1919–1933. [Google Scholar] [CrossRef]
- Xin, S.; Chang, Y.; Zhou, R.; Cong, H.; Zheng, L.; Wang, Y.; Qin, Y.; Xu, P.; Liu, X.; Wang, F. Ultraviolet-driven metal oxide semiconductor synapses with improved long-term potentiation. J. Mater. Chem. C 2022, 11, 722–729. [Google Scholar] [CrossRef]
- Tan, W.C.; Huang, L.; Ng, R.J.; Wang, L.; Hasan, D.M.N.; Duffin, T.J.; Kumar, K.S.; Nijhuis, C.A.; Lee, C.; Ang, K. A Black Phosphorus Carbide Infrared Phototransistor. Adv. Mater. 2017, 30, 1705039. [Google Scholar] [CrossRef] [PubMed]
- Djeffal, F.; Ferhati, H. A new high-performance phototransistor design based on both surface texturization and graded gate doping engineering. J. Comput. Electron. 2015, 15, 301–310. [Google Scholar] [CrossRef]
- Taghinejad, M.; Taghinejad, H.; Ganji, M.; Rostamian, A.; Mohajerzadeh, S.; Abdolahad, M.; Kolahdouz, M. Integration of Ni2Si/Si Nanograss Heterojunction on n-MOSFET to Realize High-Sensitivity Phototransistors. IEEE Trans. Electron Devices 2014, 61, 3239–3244. [Google Scholar] [CrossRef]
- Huang, X.; Ji, D.; Fuchs, H.; Hu, W.; Li, T. Recent Progress in Organic Phototransistors: Semiconductor Materials, Device Structures and Optoelectronic Applications. ChemPhotoChem 2019, 4, 9–38. [Google Scholar] [CrossRef]
- Choi, K.K. Multiquantum-Well Structures for Hot-Electron Phototransistors. Thin Film. 1995, 21, 239–310. [Google Scholar] [CrossRef]
- Chow, P.C.Y.; Matsuhisa, N.; Zalar, P.; Koizumi, M.; Yokota, T.; Someya, T. Dual-gate organic phototransistor with high-gain and linear photoresponse. Nat. Commun. 2018, 9, 4546. [Google Scholar] [CrossRef] [PubMed]
- Zhai, Y.; Chen, G.; Ji, J.; Wu, Z.; Li, Y.; Wang, Q. Investigation of photocurrent transient variation in Au nanoparticles-decorated IGZO phototransistor. Phys. E Low-Dimens. Syst. Nanostruct. 2019, 113, 92–96. [Google Scholar] [CrossRef]
- Giannazzo, F.; Greco, G.; Schilirò, E.; Nigro, R.L.; Deretzis, I.; La Magna, A.; Roccaforte, F.; Iucolano, F.; Ravesi, S.; Frayssinet, E.; et al. High-Performance Graphene/AlGaN/GaN Schottky Junctions for Hot Electron Transistors. ACS Appl. Electron. Mater. 2019, 1, 2342–2354. [Google Scholar] [CrossRef]
- Vaziri, S.; Smith, A.; Östling, M.; Lupina, G.; Dabrowski, J.; Lippert, G.; Mehr, W.; Driussi, F.; Venica, S.; Di Lecce, V.; et al. Going ballistic: Graphene hot electron transistors. Solid State Commun. 2015, 224, 64–75. [Google Scholar] [CrossRef]
- Campbell, K.A. Self-directed channel memristor for high temperature operation. Microelectron. J. 2017, 59, 10–14. [Google Scholar] [CrossRef]
- Garda, B.; Bednarz, K. Comprehensive Study of SDC Memristors for Resistive RAM Applications. Energies 2024, 17, 467. [Google Scholar] [CrossRef]
- Nair, V.; Radhakrishnan, A.; Chithra, R.; James, A. Memristive pixel-CNN loop generate for CNN generalisations. IEEE Trans. Nanotechnol. 2023, 22, 120–125. [Google Scholar] [CrossRef]
- Alshaya, A.; Malik, A.; Mifsud, A.; Papavassiliou, C. Experimental results of 1C1R structure based on Knowm memristor. In Proceedings of the 2023 30th IEEE International Conference on Electronics, Circuits and Systems (ICECS), Istanbul, Turkey, 4–7 December 2023. [Google Scholar]
- Cotton, F.A.; Wilkinson, G. Advanced Inorganic Chemistry, 5th ed.; Wiley-Interscience: New York, NY USA, 1988; pp. 234–304. [Google Scholar]
- WaveMetrics, Inc. IGOR Pro 9. WaveMetrics.com; WaveMetrics Inc.: Portland, OR, USA.
- Tauc, J. Absorption edge and internal electric fields in amorphous semiconductors. Mater. Res. Bull. 1970, 5, 721–729. [Google Scholar] [CrossRef]
- Dereniak, E.L.; Crowe, D.G. Optical Radiation Detectors; John Wiley & Sons: New York, NY, USA, 1984. [Google Scholar]
- Singh, J.; Shimakawa, K. Advances in Amorphours Semiconductors; CRC Press: New York, NY, USA, 2003. [Google Scholar]
- Boolchand, P.; Bresser, W.J. The structural origin of broken chemical order in GeSe2 glass. Phil. Mag. B 2000, 80, 1757–1772. [Google Scholar] [CrossRef]
- Spirito, D.; von den Driesch, N.; Manganelli, C.L.; Zoellner, M.H.; Corley-Wiciak, A.A.; Ikonic, Z.; Capellini, G. Thermoelectric Efficiency of Epitaxial GeSn Alloys for Integrated Si-Based Applications: Assessing the Lattice Thermal Conductivity by Raman Thermometry. ACS Appl. Energy Mater. 2021, 4, 7385–7392. [Google Scholar] [CrossRef]
- Zhang, Z.P.; Song, Y.X.; Zhu, Z.Y.S.; Han, Y.; Chen, Q.M.; Li, Y.Y.; Zhang, L.Y.; Wang, S.M. Structural properties of GeSn thin films grown by molecular beam epitaxy. AIP Adv. 2017, 7, 045211. [Google Scholar] [CrossRef]
- Feltz, A. Amorphous Inorganic Materials and Glasses; VCH—Weinheim: New York, NY, USA, 1993; ISBN 978-3-527-28421-4. [Google Scholar]
- Kalra, G.; Upadhyay, M.; Abhaya, S.; Murugavel, S.; Amarendra, G. Thermal, structural, and defect studies on Pb modified Ge Se glasses. J. Non-Cryst. Solids 2017, 460, 146–152. [Google Scholar] [CrossRef]
- Chen, F.; Zhang, Z.; Wang, Y.; Nie, Q.; Shen, X.; Dai, S. Optical properties of amorphous In-doped GeSe2 films for all-optical applications. Infrared Phys. Technol. 2015, 69, 32–35. [Google Scholar] [CrossRef]
- Murugavel, S.; Asokan, S. Carrier-type reversal in Pb-modified chalcogenide glasses. Phys. Rev. B 1998, 58, 4449–4453. [Google Scholar] [CrossRef]
- Mishra, P.K.; Singh, K.; Upadhyay, A.; Kumar, H. Compositional dependence of thermal transport and optical properties of Se85 Ge15-x Pbx (0≤ x ≤10) chalcogenide glassy alloys. Opt. Mater. 2019, 97, 109395. [Google Scholar] [CrossRef]
- Zhou, X.; Hu, X.; Jin, B.; Yu, J.; Liu, K.; Li, H.; Zhai, T. Highly Anisotropic GeSe Nanosheets for Phototransistors with Ultrahigh Photoresponsivity. Adv. Sci. 2018, 5, 1800478. [Google Scholar] [CrossRef] [PubMed]
- Yoo, H.; Kim, W.-G.; Kang, B.H.; Kim, H.T.; Park, J.W.; Choi, D.H.; Kim, T.S.; Lim, J.H.; Kim, H.J. High Photosensitive Indium–Gallium–Zinc Oxide Thin-Film Phototransistor with a Selenium Capping Layer for Visible-Light Detection. ACS Appl. Mater. Interfaces 2020, 12, 10673–10680. [Google Scholar] [CrossRef] [PubMed]
- Rho, H.Y.; Bala, A.; Sen, A.; Jeong, U.; Shim, J.; Oh, J.O.; Ju, Y.; Naqi, M.; Kim, S. Plasma-Engineered Amorphous Metal Oxide Nanostructure-Based Low-Power Highly Responsive Phototransistor Array for Next-Generation Optoelectronics. ACS Appl. Nano Mater. 2023, 6, 15990–15999. [Google Scholar] [CrossRef]














| Wavelength (nm) | Part, Vendor | Power Density (mW/cm2) |
|---|---|---|
| 385 | VAOL-5GUV8T4, Visual Communication Company | 7.5 |
| 470 | C503B, Cree | 8.5 a |
| 525 | HLMP-CM1A-560DD, AvagoTechnology | 7.3 |
| 616 | TLCY5800-ND, Vishay Semiconductors | 2.1 |
| 770 | MTE1077N1-R, Marktech Optoelectronics | 7.0 |
| 1060 | MT51060-IR, Marktech Optoelectronics | 3.8 |
| 1200 | MTE0012-525-IR, Marktech Optoelectronics | 0.35 |
| Measurement Group | Metric | Wavelength (nm) | VDS (V) |
|---|---|---|---|
| I-V measurements | IDS vs. VDS | See Table 1 | 0 ⇄ 10 |
| R vs. Wavelength | See Table 1 | 7 | |
| Temperature-dependent I-V 20 → 140 °C, ∆T = 20 °C. | IDS vs. VDS; ln(IDS) vs. VDS; ln(Iph) vs. VDS | 470 | 0 ⇄ 10 |
| (1) ln (IDS/VDS) vs. 1/T; (2) Extended states conduction Ea vs. dopant. | 470 | 7 | |
| Pulsed LED tests | VDS vs. Time | 470 | 7 |
| M | (eV) |
|---|---|
| C | 1.19 |
| Si | 1.23 |
| None | 1.27 |
| Sn | 0.403 |
| Pb | 0.392 |
| Cycle 1 | Cycle 2 | Cycle 3 | |
|---|---|---|---|
| Dopant | Ea1 (eV) | Ea2 (eV) | Ea3 (eV) |
| C | 0.566 | 0.24 | 0.253 |
| Si | 0.508 | 0.557 | 0.483 |
| None | 0.518 | 0.4 | 0.237 |
| Sn | 0.507 | 0.47 | 0.448 |
| Pb | 0.466 | 0.525 | 0.53 |
| Rising Edge | Falling Edge | |||
|---|---|---|---|---|
| Dopant | τ (µs) | A | τ (µs) | A |
| C | 1.66 | −0.041 | 1.55 | 0.034 |
| Si | 1.80 | −0.086 | 1.66 | 0.075 |
| None | 1.90 | −0.12 | 1.75 | 0.014 |
| Sn | 7.2 | −0.073 | 5.80 | 0.068 |
| Pb * | 2.51/11.3 | −0.047/−0.029 | 3.19/32.33 | 0.069/0.006 |
| Dopant | Speed | VTH * | VTH * T coeff | IR abs. | UV abs. | Eo | Idark | Iph |
|---|---|---|---|---|---|---|---|---|
| C | 5 | 3 | 2 | 1 | 5 | 3 | 1 | 1 |
| Si | 4 | 1 | 5 | 2 | 3 | 4 | 2 | 4 |
| None | 3 | 2 | 4 | 3 | 4 | 5 | 4 | 3 |
| Sn | 2 | 4 | 3 | 4 | 2 | 2 | 3 | 2 |
| Pb * | 1 | 5 | 1 | 5 | 1 | 1 | 5 | 5 |
Disclaimer/Publisher’s Note: The statements, opinions and data contained in all publications are solely those of the individual author(s) and contributor(s) and not of MDPI and/or the editor(s). MDPI and/or the editor(s) disclaim responsibility for any injury to people or property resulting from any ideas, methods, instructions or products referred to in the content. |
© 2024 by the authors. Licensee MDPI, Basel, Switzerland. This article is an open access article distributed under the terms and conditions of the Creative Commons Attribution (CC BY) license (https://creativecommons.org/licenses/by/4.0/).
Share and Cite
Kabir, M.F.; Campbell, K.A. Effects of Group IVA Elements on the Electrical Response of a Ge2Se3-Based Optically Gated Transistor. Micromachines 2024, 15, 1000. https://doi.org/10.3390/mi15081000
Kabir MF, Campbell KA. Effects of Group IVA Elements on the Electrical Response of a Ge2Se3-Based Optically Gated Transistor. Micromachines. 2024; 15(8):1000. https://doi.org/10.3390/mi15081000
Chicago/Turabian StyleKabir, Md Faisal, and Kristy A. Campbell. 2024. "Effects of Group IVA Elements on the Electrical Response of a Ge2Se3-Based Optically Gated Transistor" Micromachines 15, no. 8: 1000. https://doi.org/10.3390/mi15081000
APA StyleKabir, M. F., & Campbell, K. A. (2024). Effects of Group IVA Elements on the Electrical Response of a Ge2Se3-Based Optically Gated Transistor. Micromachines, 15(8), 1000. https://doi.org/10.3390/mi15081000

