Prototyping in Polymethylpentene to Enable Oxygen-Permeable On-a-Chip Cell Culture and Organ-on-a-Chip Devices Suitable for Microscopy
Abstract
1. Introduction
2. Materials and Methods
2.1. Design of the Culture Chamber Devices
2.2. Fabrication Methods of the Culture Chamber Devices
2.2.1. Prototyping and Characterization of Transparent PMP Films—Layer 1
2.2.2. Fabrication of Layer 2–4 and Assembly
2.3. Cells and Culture Conditions
2.4. Comparison of Oxygen Concentration in Sensor Devices with Different PMP Prototypes
2.5. Comparison of Cell Adherence, Proliferation, and Viability on Different PMP Prototypes
3. Results
3.1. Prototyping and Characterization of Transparent PMP Films
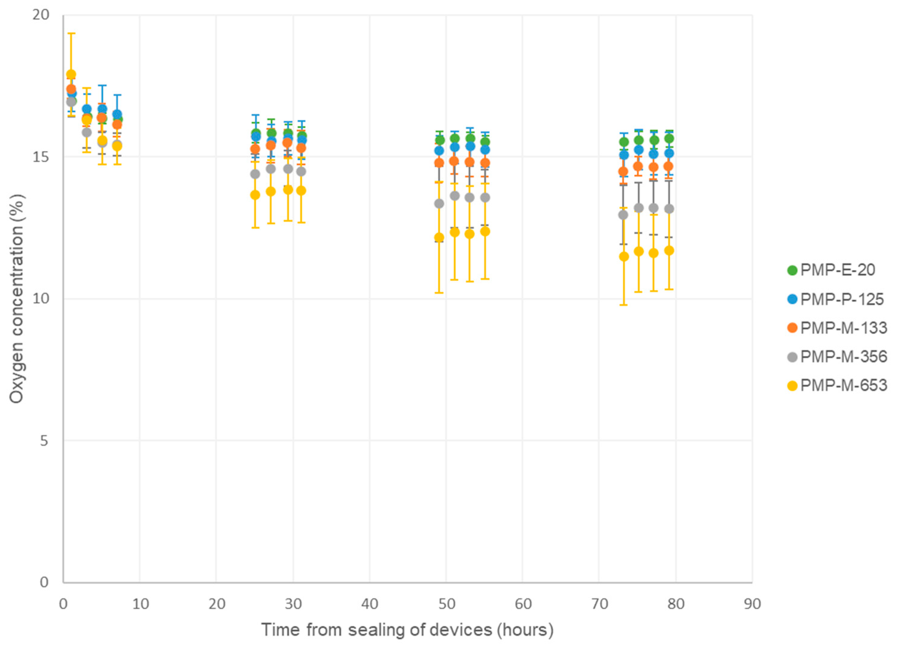
3.2. Evaluation of Oxygen Concentration in Sensor Devices with Different PMP Prototypes
3.3. Evaluation of Cell Adherence, Proliferation, and Viability on Different PMP Prototypes
4. Discussion
4.1. Opportunities in Using PMP for Modulating Oxygen Levels in OoC
4.2. Cell Culture Compatibility
4.3. Comparison of Prototyping Methods for Manufacturing Transparent PMP Films
4.4. Microstructure of the PMP Films
5. Conclusions
6. Outlook
Supplementary Materials
Author Contributions
Funding
Data Availability Statement
Acknowledgments
Conflicts of Interest
References
- Zhao, Y.; Wang, E.Y.; Lai, F.B.; Cheung, K.; Radisic, M. Organs-on-a-chip: A union of tissue engineering and microfabrication. Trends Biotechnol. 2023, 41, 410–424. [Google Scholar] [CrossRef] [PubMed]
- Alonso-Roman, R.; Mosig, A.S.; Figge, M.T.; Papenfort, K.; Eggeling, C.; Schacher, F.H.; Hube, B.; Gresnigt, M.S. Organ-on-chip models for infectious disease research. Nat. Microbiol. 2024, 9, 891–904. [Google Scholar] [CrossRef] [PubMed]
- Whitworth, C.P.; Polacheck, W.J. Vascular organs-on-chip made with patient-derived endothelial cells: Technologies to transform drug discovery and disease modeling. Expert Opin. Drug Discov. 2023, 19, 339–351. [Google Scholar] [CrossRef] [PubMed]
- Qi, X.; Li, W. Unlocking the secrets to human NTCP structure. Innovation 2022, 3, 100294. [Google Scholar] [CrossRef] [PubMed]
- Monteduro, A.G.; Rizzato, S.; Caragnano, G.; Trapani, A.; Giannelli, G.; Maruccio, G. Organs-on-chips technologies—A guide from disease models to opportunities for drug development. Biosens. Bioelectron. 2023, 231, 115271. [Google Scholar] [CrossRef] [PubMed]
- Cao, U.M.N.; Zhang, Y.; Chen, J.; Sayson, D.; Pillai, S.; Tran, S.D. Microfluidic Organ-on-A-chip: A Guide to Biomaterial Choice and Fabrication. Int. J. Mol. Sci. 2023, 24, 3232. [Google Scholar] [CrossRef] [PubMed]
- Palacio-Castañeda, V.; Velthuijs, N.; Le Gac, S.; Verdurmen, W.P.R. Oxygen control: The often overlooked but essential piece to create better in vitro systems. Lab a Chip 2022, 22, 1068–1092. [Google Scholar] [CrossRef] [PubMed]
- Rivera, K.R.; Yokus, M.A.; Erb, P.D.; Pozdin, V.A.; Daniele, M. Measuring and regulating oxygen levels in microphysiological systems: Design, material, and sensor considerations. Anal. 2019, 144, 3190–3215. [Google Scholar] [CrossRef]
- Gille, J.; Joenje, H. Cell culture models for oxidative stress: Superoxide and hydrogen peroxide versus normobaric hyperoxia. Mutat. Res. 1992, 275, 405–414. [Google Scholar] [CrossRef]
- Heidemann, R.; Lütkemeyer, D.; Büntemeyer, H.; Lehmann, J. Effects of dissolved oxygen levels and the role of extra- and intracellular amino acid concentrations upon the metabolism of mammalian cell lines during batch and continuous cultures. Cytotechnology 1998, 26, 185–197. [Google Scholar] [CrossRef]
- Grist, S.M.; Bennewith, K.L.; Cheung, K.C. Oxygen Measurement in Microdevices. Annu. Rev. Anal. Chem. 2022, 15, 221–246. [Google Scholar] [CrossRef] [PubMed]
- Place, T.L.; Domann, F.E.; Case, A.J. Limitations of oxygen delivery to cells in culture: An underappreciated problem in basic and translational research. Free. Radic. Biol. Med. 2017, 113, 311–322. [Google Scholar] [CrossRef] [PubMed]
- Gan, E.S.; Ooi, E.E. Oxygen: Viral friend or foe? Virol. J. 2020, 17, 115. [Google Scholar] [CrossRef] [PubMed]
- Jagannathan, L.; Cuddapah, S.; Costa, M. Oxidative Stress Under Ambient and Physiological Oxygen Tension in Tissue Culture. Curr. Pharmacol. Rep. 2016, 2, 64–72. [Google Scholar] [CrossRef] [PubMed]
- Muz, B.; de la Puente, P.; Azab, F.; Azab, A.K. The role of hypoxia in cancer progression, angiogenesis, metastasis, and resistance to therapy. Hypoxia 2015, 3, 83–92. [Google Scholar] [CrossRef] [PubMed]
- Palacio-Castañeda, V.; Kooijman, L.; Venzac, B.; Verdurmen, W.P.; Le Gac, S. Metabolic Switching of Tumor Cells under Hypoxic Conditions in a Tumor-on-a-chip Model. Micromachines 2020, 11, 382. [Google Scholar] [CrossRef]
- Zirath, H.; Rothbauer, M.; Spitz, S.; Bachmann, B.; Jordan, C.; Müller, B.; Ehgartner, J.; Priglinger, E.; Mühleder, S.; Redl, H.; et al. Every breath you take: Non-invasive real-time oxygen biosensing in two- and three-dimensional microfluidic cell models. Front. Physiol. 2018, 9, 815. [Google Scholar] [CrossRef]
- Banik, S.; Uchil, A.; Kalsang, T.; Chakrabarty, S.; Ali, A.; Srisungsitthisunti, P.; Mahato, K.K.; Surdo, S.; Mazumder, N. The revolution of PDMS microfluidics in cellular biology. Crit. Rev. Biotechnol. 2022, 43, 465–483. [Google Scholar] [CrossRef]
- Miranda, I.; Souza, A.; Sousa, P.; Ribeiro, J.; Castanheira, E.M.S.; Lima, R.; Minas, G. Properties and Applications of PDMS for Biomedical Engineering: A Review. J. Funct. Biomater. 2021, 13, 2. [Google Scholar] [CrossRef]
- Tony, A.; Badea, I.; Yang, C.; Liu, Y.; Wells, G.; Wang, K.; Yin, R.; Zhang, H.; Zhang, W. The Additive Manufacturing Approach to Polydimethylsiloxane (PDMS) Microfluidic Devices: Review and Future Directions. Polymers 2023, 15, 1926. [Google Scholar] [CrossRef]
- Halldorsson, S.; Lucumi, E.; Gómez-Sjöberg, R.; Fleming, R.M.T. Advantages and challenges of microfluidic cell culture in polydimethylsiloxane devices. Biosens. Bioelectron. 2015, 63, 218–231. [Google Scholar] [CrossRef]
- Gencturk, E.; Mutlu, S.; Ulgen, K.O. Advances in microfluidic devices made from thermoplastics used in cell biology and analyses. Biomicrofluidics 2017, 11, 051502. [Google Scholar] [CrossRef] [PubMed]
- van Midwoud, P.M.; Janse, A.; Merema, M.T.; Groothuis, G.M.M.; Verpoorte, E. Comparison of biocompatibility and adsorption properties of different plastics for advanced microfluidic cell and tissue culture models. Anal. Chem. 2012, 84, 3938–3944. [Google Scholar] [CrossRef]
- Aralekallu, S.; Boddula, R.; Singh, V. Development of glass-based microfluidic devices: A review on its fabrication and biologic applications. Mater. Des. 2023, 225, 111517. [Google Scholar] [CrossRef]
- Pierfelice, T.V.; D’amico, E.; Petrini, M.; Romano, M.; D’arcangelo, C.; Sbordone, L.; Barone, A.; Plebani, R.; Iezzi, G. A Systematic Review on Organ-on-a-Chip in PDMS or Hydrogel in Dentistry: An Update of the Literature. Gels 2024, 10, 102. [Google Scholar] [CrossRef]
- Rezaei, N.T.; Kumar, H.; Liu, H.; Lee, S.S.; Park, S.S.; Kim, K. Recent Advances in Organ-on-Chips Integrated with Bioprinting Technologies for Drug Screening. Adv. Health Mater. 2023, 12, e2203172. [Google Scholar] [CrossRef] [PubMed]
- Dabbagh, S.R.; Sarabi, M.R.; Birtek, M.T.; Mustafaoglu, N.; Zhang, Y.S.; Tasoglu, S. 3D bioprinted organ-on-chips. Aggregate 2023, 4, e197. [Google Scholar] [CrossRef]
- Yeager, T.; Roy, S. Evolution of Gas Permeable Membranes for Extracorporeal Membrane Oxygenation. Artif. Organs 2017, 41, 700–709. [Google Scholar] [CrossRef]
- Parihar, A.; Pandita, V.; Kumar, A.; Parihar, D.S.; Puranik, N.; Bajpai, T.; Khan, R. 3D Printing: Advancement in Biogenerative Engineering to Combat Shortage of Organs and Bioapplicable Materials. Regen. Eng. Transl. Med. 2021, 8, 173–199. [Google Scholar] [CrossRef]
- Sønstevold, L.; Czerkies, M.; Escobedo-Cousin, E.; Blonski, S.; Vereshchagina, E. Application of Polymethylpentene, an Oxygen Permeable Thermoplastic, for Long-Term on-a-Chip Cell Culture and Organ-on-a-Chip Devices. Micromachines 2023, 14, 532. [Google Scholar] [CrossRef]
- Ochs, C.J.; Kasuya, J.; Pavesi, A.; Kamm, R.D. Oxygen levels in thermoplastic microfluidic devices during cell culture. Lab a Chip 2013, 14, 459–462. [Google Scholar] [CrossRef] [PubMed]
- Knoepp, F.; Wahl, J.; Andersson, A.; Kraut, S.; Sommer, N.; Weissmann, N.; Ramser, K. A Microfluidic System for Simultaneous Raman Spectroscopy, Patch-Clamp Electrophysiology, and Live-Cell Imaging to Study Key Cellular Events of Single Living Cells in Response to Acute Hypoxia. Small Methods 2021, 5, 2100470. [Google Scholar] [CrossRef] [PubMed]
- Nishikawa, M.; Ito, H.; Tokito, F.; Hirono, K.; Inamura, K.; Scheidecker, B.; Danoy, M.; Kawanishi, T.; Arakawa, H.; Kato, Y.; et al. Accurate Evaluation of Hepatocyte Metabolisms on a Noble Oxygen-Permeable Material With Low Sorption Characteristics. Front. Toxicol. 2022, 4, 810478. [Google Scholar] [CrossRef] [PubMed]
- Morbioli, G.G.; Speller, N.C.; Stockton, A.M. A practical guide to rapid-prototyping of PDMS-based microfluidic devices: A tutorial. Anal. Chim. Acta 2020, 1135, 150–174. [Google Scholar] [CrossRef] [PubMed]
- Volpatti, L.R.; Yetisen, A.K. Commercialization of microfluidic devices. Trends Biotechnol. 2014, 32, 347–350. [Google Scholar] [CrossRef]
- Truckenmüller, R.; Giselbrecht, S.; Rivron, N.; Gottwald, E.; Saile, V.; van den Berg, A.; Wessling, M.; van Blitterswijk, C. Thermoforming of Film-Based Biomedical Microdevices. Adv. Mater. 2011, 23, 1311–1329. [Google Scholar] [CrossRef]
- Paoli, R.; Di Giuseppe, D.; Badiola-Mateos, M.; Martinelli, E.; Lopez-Martinez, M.J.; Samitier, J. Rapid Manufacturing of Multilayered Microfluidic Devices for Organ on a Chip Applications. Sensors 2021, 21, 1382. [Google Scholar] [CrossRef] [PubMed]
- Ma, A.-P.; Xu, L.-Y.; Yin, B.; Yang, M.-B.; Xie, B.-H. Influences of melt-draw ratio and annealing on the crystalline structure and orientation of poly(4-methyl-1-pentene) casting films. RSC Adv. 2016, 6, 62038–62044. [Google Scholar] [CrossRef]
- Yin, L.; Xu, R.; Xie, J.; Lei, C.; Cai, Q. The crystallization and mechanical properties of poly(4-methyl-1-pentene) hard elastic film with different melt draw ratios. e-Polymers 2021, 21, 930–938. [Google Scholar] [CrossRef]
- Johnson, M.B.; Wilkes, G.L. Microporous membranes of isotactic poly(4-methyl-1-pentene) from a melt-extrusion process. I. Effects of resin variables and extrusion conditions. J. Appl. Polym. Sci. 2001, 83, 2095–2113. [Google Scholar] [CrossRef]
- Merkel, K.; Lenża, J.; Rydarowski, H.; Pawlak, A.; Wrzalik, R. Characterization of structure and properties of polymer films made from blends of polyethylene with poly(4-methyl-1-pentene). J. Mater. Res. 2016, 32, 451–464. [Google Scholar] [CrossRef]
- Tian, Y.; Qian, L.; Liu, X.; Ghanekar, A.; Xiao, G.; Zheng, Y. Highly effective photon-to-cooling thermal device. Sci. Rep. 2019, 9, 19317. [Google Scholar] [CrossRef] [PubMed]
- Takemura, A.; Ishii, S.; Ikeyama, Y.; Esashika, K.; Takahashi, J.; Ito, K. New in vitro screening system to detect drug-induced liver injury using a culture plate with low drug sorption and high oxygen permeability. Drug Metab. Pharmacokinet. 2023, 52, 100511. [Google Scholar] [CrossRef] [PubMed]
- Danoy, M.; Scheidecker, B.; Arakawa, H.; Esashika, K.; Ishida, N.; Ito, H.; Yanai, H.; Takahashi, J.; Nishikawa, M.; Kato, Y.; et al. Cryopreserved human hepatocytes culture optimization on polymethylpentene oxygen permeable membranes for drug screening purposes. Fundam. Toxicol. Sci. 2022, 9, 135–144. [Google Scholar] [CrossRef]
- da Silva, R.G.L.; Blasimme, A. Organ chip research in Europe: Players, initiatives, and policies. Front. Bioeng. Biotechnol. 2023, 11, 1237561. [Google Scholar] [CrossRef] [PubMed]
- Ubaidulla, U.; Sandhiya, V.; Prabhu, T.P.; Deepa, N.; Arulprakasam, K.C.; Balakrishnan, S.; Suresh, V. The Upcoming Drift of Organ-Chip in Pharmacological Trial Investigate. Med. Res. Arch. 2023, 11. [Google Scholar] [CrossRef]
- Liu, Z.; Cui, X.; Fan, Y.; Li, Z. The continuous evolution of 2D cell-traction forces quantification technology. Innovation 2022, 3, 100313. [Google Scholar] [CrossRef] [PubMed]
- Saiding, Q.; Ma, J.; Ke, C.; Cui, W. From “organs on a chip” to “patient on a chip”. Innovation 2022, 3, 100282. [Google Scholar] [CrossRef] [PubMed]
- Hou, X.; Zhang, Y.S.; de Santiago, G.T.; Alvarez, M.M.; Ribas, J.; Jonas, S.J.; Weiss, P.S.; Andrews, A.M.; Aizenberg, J.; Khademhosseini, A. Interplay between materials and microfluidics. Nat. Rev. Mater. 2017, 2, 17016. [Google Scholar] [CrossRef]
- Corning® and Falcon® Microplates Selection Guide, for Assays and Drug Discovery n.d. Available online: https://www.corning.com/media/worldwide/cls/documents/CLS-C-DL-MP-014REV9.pdf (accessed on 19 April 2024).
- Johnson, M.B.; Wilkes, G.L. Microporous membranes of isotactic poly(4-methyl-1-pentene) from a melt-extrusion process. II. Effects of thermal annealing and stretching on porosity. J. Appl. Polym. Sci. 2002, 84, 1076–1100. [Google Scholar] [CrossRef]
- Yoshimizu, H.; Okumura, Y. Gas Transport Properties of the Crystalline Phase Controlled Its Orientation of Poly(4-methyl-1-pentene). Kobunshi Ronbunshu 2014, 71, 601–607. [Google Scholar] [CrossRef]
- Wagner, B.A.; Venkataraman, S.; Buettner, G.R. The rate of oxygen utilization by cells. Free Radic. Biol. Med. 2011, 51, 700–712. [Google Scholar] [CrossRef] [PubMed]
- Slepička, P.; Trostová, S.; Kasálková, N.S.; Kolská, Z.; Malinský, P.; Macková, A.; Bačáková, L.; Švorčík, V. Nanostructuring of polymethylpentene by plasma and heat treatment for improved biocompatibility. Polym. Degrad. Stab. 2012, 97, 1075–1082. [Google Scholar] [CrossRef]
- Michaljaničová, I.; Slepička, P.; Hadravová, J.; Rimpelová, S.; Ruml, T.; Malinský, P.; Veselý, M.; Švorčík, V. High power plasma as an efficient tool for polymethylpentene cytocompatibility enhancement. RSC Adv. 2016, 6, 76000–76010. [Google Scholar] [CrossRef]






| Prototyping Method | Thickness | Sample Name |
|---|---|---|
| Extrusion | 20 µm | PMP-E-20 |
| Polishing commercial film | 125 µm | PMP-P-125 |
| Hot-press molding | 133 µm | PMP-M-133 |
| Hot-press molding | 356 µm | PMP-M-356 |
| Hot-press molding | 653 µm | PMP-M-653 |
Disclaimer/Publisher’s Note: The statements, opinions and data contained in all publications are solely those of the individual author(s) and contributor(s) and not of MDPI and/or the editor(s). MDPI and/or the editor(s) disclaim responsibility for any injury to people or property resulting from any ideas, methods, instructions or products referred to in the content. |
© 2024 by the authors. Licensee MDPI, Basel, Switzerland. This article is an open access article distributed under the terms and conditions of the Creative Commons Attribution (CC BY) license (https://creativecommons.org/licenses/by/4.0/).
Share and Cite
Sønstevold, L.; Koza, P.; Czerkies, M.; Andreassen, E.; McMahon, P.; Vereshchagina, E. Prototyping in Polymethylpentene to Enable Oxygen-Permeable On-a-Chip Cell Culture and Organ-on-a-Chip Devices Suitable for Microscopy. Micromachines 2024, 15, 898. https://doi.org/10.3390/mi15070898
Sønstevold L, Koza P, Czerkies M, Andreassen E, McMahon P, Vereshchagina E. Prototyping in Polymethylpentene to Enable Oxygen-Permeable On-a-Chip Cell Culture and Organ-on-a-Chip Devices Suitable for Microscopy. Micromachines. 2024; 15(7):898. https://doi.org/10.3390/mi15070898
Chicago/Turabian StyleSønstevold, Linda, Paulina Koza, Maciej Czerkies, Erik Andreassen, Paul McMahon, and Elizaveta Vereshchagina. 2024. "Prototyping in Polymethylpentene to Enable Oxygen-Permeable On-a-Chip Cell Culture and Organ-on-a-Chip Devices Suitable for Microscopy" Micromachines 15, no. 7: 898. https://doi.org/10.3390/mi15070898
APA StyleSønstevold, L., Koza, P., Czerkies, M., Andreassen, E., McMahon, P., & Vereshchagina, E. (2024). Prototyping in Polymethylpentene to Enable Oxygen-Permeable On-a-Chip Cell Culture and Organ-on-a-Chip Devices Suitable for Microscopy. Micromachines, 15(7), 898. https://doi.org/10.3390/mi15070898

