Innovative Stacked Yellow and Blue Mini-LED Chip for White Lamp Applications
Abstract
1. Introduction
2. Experiment and Fabrication Process
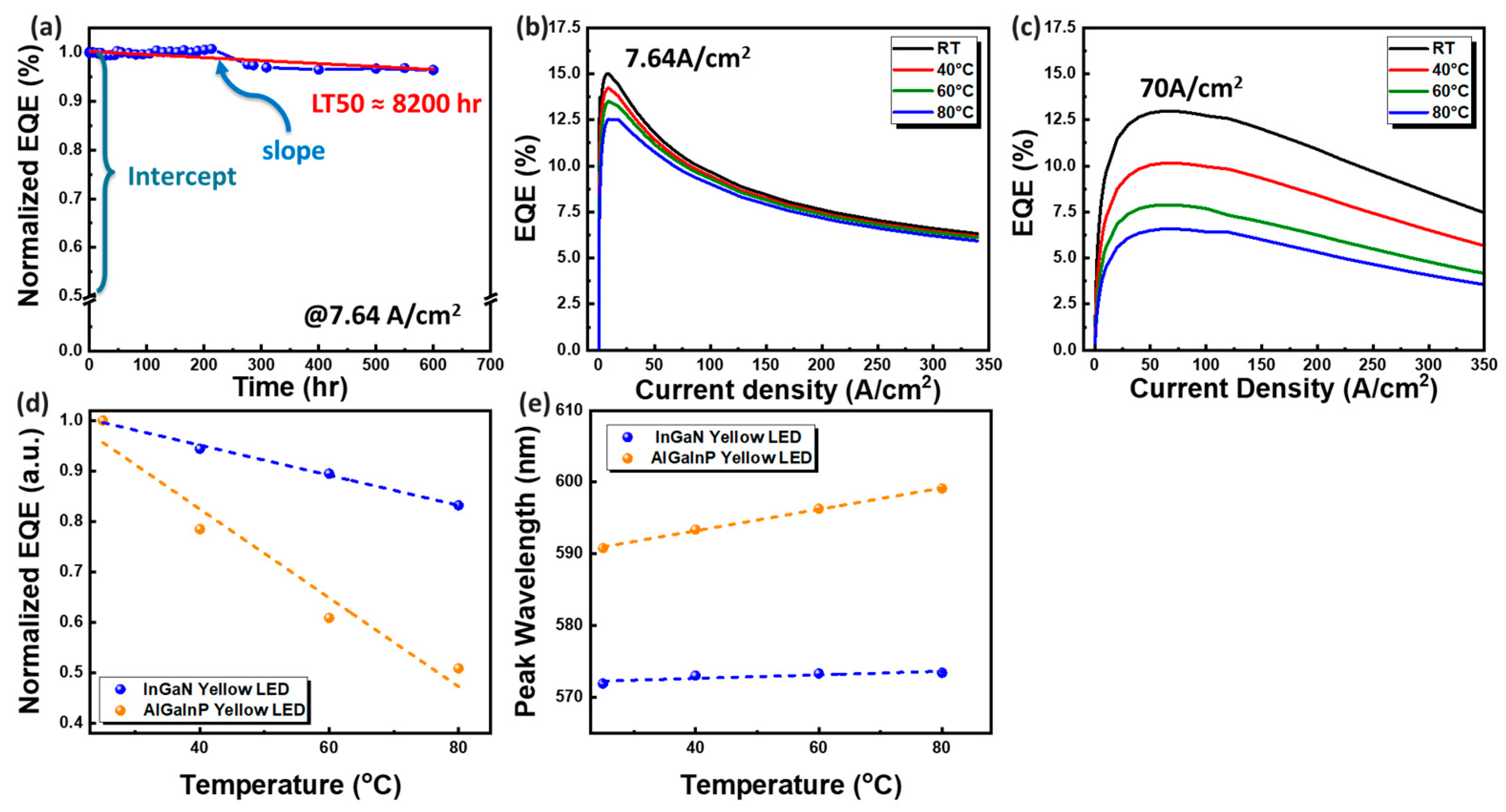
3. Result and Discussion
4. Conclusions
Author Contributions
Funding
Data Availability Statement
Conflicts of Interest
References
- Long, X.; He, J.; Zhou, J.; Fang, L.; Zhou, X.; Ren, F.; Xu, T. A review on light-emitting diode based automotive headlamps. Renew. Sustain. Energy Rev. 2015, 41, 29–41. [Google Scholar] [CrossRef]
- Miao, W.C.; Hsiao, F.H.; Sheng, Y.; Lee, T.Y.; Hong, Y.H.; Tsai, C.W.; Chen, H.L.; Liu, Z.; Lin, C.L.; Chung, R.J. Microdisplays: Mini-LED, micro-OLED, and micro-LED. Adv. Opt. Mater. 2024, 12, 2300112. [Google Scholar] [CrossRef]
- Lin, C.-C.; Wu, Y.-R.; Kuo, H.-C.; Wong, M.S.; DenBaars, S.P.; Nakamura, S.; Pandey, A.; Mi, Z.; Tian, P.; Ohkawa, K. The micro-LED roadmap: Status quo and prospects. J. Phys. Photonics 2023, 5, 042502. [Google Scholar] [CrossRef]
- Park, J.K.; Lim, M.A.; Kim, C.H.; Park, H.D.; Park, J.T.; Choi, S.Y. White light-emitting diodes of GaN-based Sr2SiO4: Eu and the luminescent properties. Appl. Phys. Lett. 2003, 82, 683–685. [Google Scholar] [CrossRef]
- Muthu, S.; Schuurmans, F.J.; Pashley, M.D. Red, green, and blue LEDs for white light illumination. IEEE J. Sel. Top. Quantum Electron. 2002, 8, 333–338. [Google Scholar] [CrossRef]
- Loh, G.H.; Xie, Y.; Black, B. Processor design in 3D die-stacking technologies. IEEE Micro 2007, 27, 31–48. [Google Scholar] [CrossRef]
- Choudhary, N.; Park, J.; Hwang, J.Y.; Chung, H.-S.; Dumas, K.H.; Khondaker, S.I.; Choi, W.; Jung, Y. Centimeter scale patterned growth of vertically stacked few layer only 2D MoS2/WS2 van der Waals heterostructure. Sci. Rep. 2016, 6, 25456. [Google Scholar] [CrossRef] [PubMed]
- Morikawa, S.; Ueno, K.; Kobayashi, A.; Fujioka, H. Pulsed sputtering preparation of InGaN multi-color cascaded LED stacks for large-area monolithic integration of RGB LED pixels. Crystals 2022, 12, 499. [Google Scholar] [CrossRef]
- Saito, T.; Hasegawa, N.; Imura, K.; Suehiro, Y.; Takeuchi, T.; Kamiyama, S.; Iida, D.; Ohkawa, K.; Iwaya, M. RGB monolithic GaInN-based μLED arrays connected via tunnel junctions. Appl. Phys. Express 2023, 16, 084001. [Google Scholar] [CrossRef]
- Krishnamoorthy, S.; Akyol, F.; Rajan, S. InGaN/GaN tunnel junctions for hole injection in GaN light emitting diodes. Appl. Phys. Lett. 2014, 105, 141104. [Google Scholar] [CrossRef]
- Geum, D.-M.; Kim, S.K.; Kang, C.-M.; Moon, S.-H.; Kyhm, J.; Han, J.; Lee, D.-S.; Kim, S. Strategy toward the fabrication of ultrahigh-resolution micro-LED displays by bonding-interface-engineered vertical stacking and surface passivation. Nanoscale 2019, 11, 23139–23148. [Google Scholar] [CrossRef] [PubMed]
- Jin, H.; Chen, L.; Li, J.; An, X.; Wu, Y.; Zhu, L.; Yi, H.; Li, K. Vertically stacked RGB LEDs with optimized distributed Bragg reflectors. Opt. Lett. 2020, 45, 6671–6674. [Google Scholar] [CrossRef]
- Shin, J.; Kim, H.; Sundaram, S.; Jeong, J.; Park, B.-I.; Chang, C.S.; Choi, J.; Kim, T.; Saravanapavanantham, M.; Lu, K. Vertical full-colour micro-LEDs via 2D materials-based layer transfer. Nature 2023, 614, 81–87. [Google Scholar] [CrossRef] [PubMed]
- Vanderwater, D.; Tan, I.-H.; Hofler, G.; Defevere, D.; Kish, F.A. High-brightness AlGaInP light emitting diodes. Proc. IEEE 1997, 85, 1752–1764. [Google Scholar] [CrossRef]
- Lee, I.E.; Sim, M.L.; Kung, F.W.-L. Performance enhancement of outdoor visible-light communication system using selective combining receiver. IET Optoelectron. 2009, 3, 30–39. [Google Scholar] [CrossRef]
- Hsiao, F.-H.; Lee, T.-Y.; Miao, W.-C.; Pai, Y.-H.; Iida, D.; Lin, C.-L.; Chen, F.-C.; Chow, C.-W.; Lin, C.-C.; Horng, R.-H. Investigations on the high performance of InGaN red micro-LEDs with single quantum well for visible light communication applications. Discov. Nano 2023, 18, 95. [Google Scholar] [CrossRef]
- Hsiao, F.-H.; Miao, W.-C.; Lee, T.-Y.; Pai, Y.-H.; Hung, Y.-Y.; Iida, D.; Lin, C.-L.; Chow, C.-W.; Lin, G.-R.; Ohkawa, K. Advancing high-performance visible light communication with long-wavelength InGaN-based micro-LEDs. Sci. Rep. 2024, 14, 7018. [Google Scholar] [CrossRef] [PubMed]
- Liu, W.; Liu, Z.; Zhao, H.; Gao, J. A simulation study of carrier capture ability of the last inGaN quantum well with different indium content for yellow-light-emitting inGaN/GaN multiple quantum wells. Micromachines 2023, 14, 1669. [Google Scholar] [CrossRef]
- Lu, T.; Lee, T.-Y.; Lai, S.; Dai, Y.; Wu, R.; Gong, Z.; Chen, Z.; Kuo, H.-C.; Wu, T. Improving optoelectronic performance and modulation bandwidth of green µ-LEDs via a compound pre-strained strategy. Opt. Lett. 2024, 49, 883–886. [Google Scholar] [CrossRef]
- Lu, T.; Lai, S.; Dai, Y.; Liu, S.; Lee, T.-Y.; Lu, Y.; Liao, X.; Su, Y.; Wu, C.; Kuo, H.-C. Improving modulation bandwidth and photoelectric detection performance of green micro-LEDs with pre-strained structure under positive bias. IEEE Electron Device Lett. 2024, 45, 332–335. [Google Scholar] [CrossRef]
- Wu, H.; Li, H.; Kuo, S.-Y.; Chen, B.-Y.; Lu, T.-C.; Huang, H. High output power GaN-based green resonant-cavity light-emitting diodes with trapezoidal quantum wells. IEEE Trans. Electron Devices 2020, 67, 3650–3654. [Google Scholar] [CrossRef]
- Dong, H.; Jia, T.; Liang, J.; Zhang, A.; Jia, Z.; Jia, W.; Liu, X.; Li, G.; Wu, Y.; Xu, B. Improved carrier transport and photoelectric properties of InGaN/GaN multiple quantum wells with wider well and narrower barrier. Opt. Laser Technol. 2020, 129, 106309. [Google Scholar] [CrossRef]
- Hsieh, T.-H.; Huang, W.-T.; Hong, K.-B.; Lee, T.-Y.; Bai, Y.-H.; Pai, Y.-H.; Tu, C.-C.; Huang, C.-H.; Li, Y.; Kuo, H.-C. Optoelectronic Simulations of InGaN-Based Green Micro-Resonant Cavity Light-Emitting Diodes with Staggered Multiple Quantum Wells. Crystals 2023, 13, 572. [Google Scholar] [CrossRef]
- Huang, W.-T.; Lee, T.-Y.; Bai, Y.-H.; Wang, H.-C.; Hung, Y.-Y.; Hong, K.-B.; Chen, F.-C.; Lin, C.-F.; Chang, S.-W.; Han, J. InGaN-based blue resonant cavity micro-LEDs with staggered multiple quantum wells enabling full-color and low-crosstalk micro-LED displays. Next Nanotechnol. 2024, 5, 100048. [Google Scholar] [CrossRef]
- Cai, L.-E.; Xu, C.-Z.; Xiong, F.-B.; Zhao, M.-J.; Lin, H.-F.; Lin, H.-Y.; Sun, D. Improved carrier confinement and distribution in InGaN light-emitting diodes with three-layer staggered QWs. AIP Adv. 2021, 11, 075027. [Google Scholar] [CrossRef]
- Yamashita, Y.; Tamura, H.; Horio, N.; Sato, H.; Taniguchi, K.; Chinone, T.; Omori, S.; Funaoka, C. Control of emission wavelength of GaInN single quantum well, light emitting diodes grown by metalorganic chemical vapor deposition in a split-flow reactor. Jpn. J. Appl. Phys. 2003, 42, 4197. [Google Scholar] [CrossRef]
- Reuters, B.; Strate, J.; Hahn, H.; Finken, M.; Wille, A.; Heuken, M.; Kalisch, H.; Vescan, A. Selective MOVPE of InGaN-based LED structures on non-planar Si (111) facets of patterned Si (100) substrates. J. Cryst. Growth 2014, 391, 33–40. [Google Scholar] [CrossRef]
- Mei, D.-M.; Panth, R.; Kooi, K.; Mei, H.; Bhattarai, S.; Raut, M.; Acharya, P.; Wang, G.-J. Evidence of cluster dipole states in germanium detectors operating at temperatures below 10 K. AIP Adv. 2022, 12, 065113. [Google Scholar] [CrossRef]
- Iida, D.; Niwa, K.; Kamiyama, S.; Ohkawa, K. Demonstration of InGaN-based orange LEDs with hybrid multiple-quantum-wells structure. Appl. Phys. Express 2016, 9, 111003. [Google Scholar] [CrossRef]
- Iida, D.; Lu, S.; Hirahara, S.; Niwa, K.; Kamiyama, S.; Ohkawa, K. Enhanced light output power of InGaN-based amber LEDs by strain-compensating AlN/AlGaN barriers. J. Cryst. Growth 2016, 448, 105–108. [Google Scholar] [CrossRef]
- Kish, F.; Fletcher, R. AlGalnP light-emitting diodes. In Semiconductors and Semimetals; Elsevier: Amsterdam, The Netherlands, 1997; Volume 48, pp. 149–226, C1–C3. [Google Scholar]
- Stringfellow, G.B.; Willardson, R.K.; Weber, E.R.; Craford, M.G. (Eds.) High Brightness Light Emitting Diodes. In Semiconductors and Semimetals; Elsevier: Amsterdam, The Netherlands, 1997; Volume 48. [Google Scholar]
- Sato, H.; Chung, R.B.; Hirasawa, H.; Fellows, N.; Masui, H.; Wu, F.; Saito, M.; Fujito, K.; Speck, J.S.; DenBaars, S.P. Optical properties of yellow light-emitting diodes grown on semipolar (1122) bulk GaN substrates. Appl. Phys. Lett. 2008, 92, 221110. [Google Scholar] [CrossRef]







| 1 mW | 2 mW | 5 mW | 10 mW | |
|---|---|---|---|---|
| CIE | (0.28, 0.25) | (0.33, 0.34) | (0.38, 0.44) | (0.41, 0.49) |
| CCT (K) | 13891.86 | 5604.16 | 4273.78 | 3990.95 |
Disclaimer/Publisher’s Note: The statements, opinions and data contained in all publications are solely those of the individual author(s) and contributor(s) and not of MDPI and/or the editor(s). MDPI and/or the editor(s) disclaim responsibility for any injury to people or property resulting from any ideas, methods, instructions or products referred to in the content. |
© 2024 by the authors. Licensee MDPI, Basel, Switzerland. This article is an open access article distributed under the terms and conditions of the Creative Commons Attribution (CC BY) license (https://creativecommons.org/licenses/by/4.0/).
Share and Cite
Lee, T.-Y.; Huang, C.-C.; Miao, W.-C.; Hsiao, F.-H.; Tsai, C.-H.; Hung, Y.-Y.; Chen, F.-C.; Lin, C.-L.; Ohkawa, K.; He, J.-H.; et al. Innovative Stacked Yellow and Blue Mini-LED Chip for White Lamp Applications. Micromachines 2024, 15, 796. https://doi.org/10.3390/mi15060796
Lee T-Y, Huang C-C, Miao W-C, Hsiao F-H, Tsai C-H, Hung Y-Y, Chen F-C, Lin C-L, Ohkawa K, He J-H, et al. Innovative Stacked Yellow and Blue Mini-LED Chip for White Lamp Applications. Micromachines. 2024; 15(6):796. https://doi.org/10.3390/mi15060796
Chicago/Turabian StyleLee, Tzu-Yi, Chien-Chi Huang, Wen-Chien Miao, Fu-He Hsiao, Chia-Hung Tsai, Yu-Ying Hung, Fang-Chung Chen, Chun-Liang Lin, Kazuhiro Ohkawa, Jr-Hau He, and et al. 2024. "Innovative Stacked Yellow and Blue Mini-LED Chip for White Lamp Applications" Micromachines 15, no. 6: 796. https://doi.org/10.3390/mi15060796
APA StyleLee, T.-Y., Huang, C.-C., Miao, W.-C., Hsiao, F.-H., Tsai, C.-H., Hung, Y.-Y., Chen, F.-C., Lin, C.-L., Ohkawa, K., He, J.-H., Hong, Y.-H., & Kuo, H.-C. (2024). Innovative Stacked Yellow and Blue Mini-LED Chip for White Lamp Applications. Micromachines, 15(6), 796. https://doi.org/10.3390/mi15060796

