Numerical Investigation of Heat Transfer and Development in Spherical Condensation Droplets
Abstract
1. Introduction
2. Theoretical Models
2.1. Thermodynamic Assumptions for Condensation Droplet Growth
2.2. Mathematical Formulation of Energy Functional for Dissipative Structures
2.3. Heat Transfer Model
2.4. Numerical Methods
3. Results and Discussion
3.1. Influence of Droplet Volume on the Vapor–Liquid Interface and Bottom Temperature
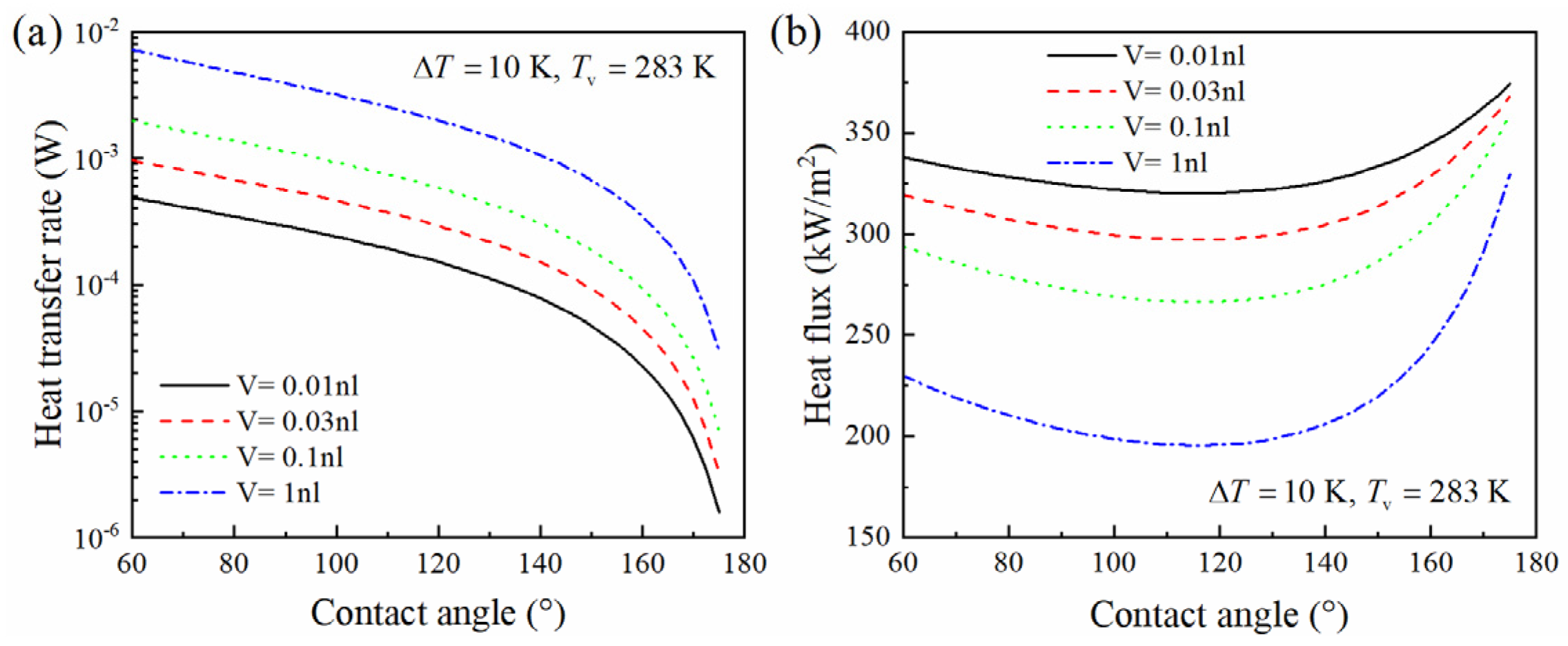
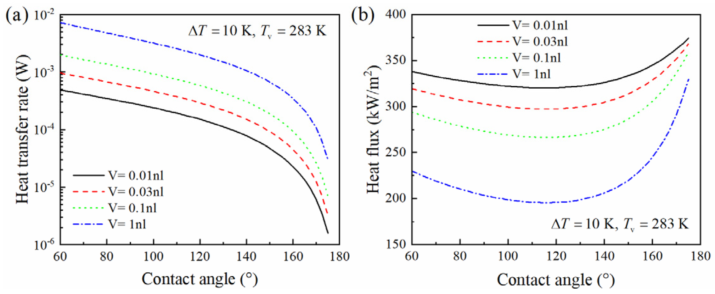
3.2. Influence of Droplet Volume on Heat Transfer
3.3. Self-Organized Growth Mechanism of Condensation Droplets
4. Experiments
4.1. Fabrication of a Rough Si Surface
4.2. The Condensation Experiment on the Si Surface with Micro-Pillar Structures
4.3. The Condensation Experiment on the Si Surface with Micro-Pillar Structures
5. Conclusions
Author Contributions
Funding
Data Availability Statement
Conflicts of Interest
References
- Mahvi, A.J.; Rattner, A.S.; Lin, J.; Garimella, S. Challenges in predicting steam-side pressure drop and heat transfer in air-cooled power plant condensers. Appl. Therm. Eng. 2018, 133, 396–406. [Google Scholar] [CrossRef]
- Zhang, P.; Lv, F. A review of the recent advances in superhydrophobic surfaces and the emerging energy-related applications. Energy 2015, 82, 1068–1087. [Google Scholar] [CrossRef]
- Attinger, D.; Frankiewicz, C.; Betz, A.R.; Schutzius, T.M.; Ganguly, R.; Das, A.; Kim, C.J.; Megaridis, C.M. Surface engineering for phase change heat transfer: A review. MRS Energy Sustain. 2014, 1, E4. [Google Scholar] [CrossRef]
- Wang, H.; Guo, H.; Zhao, Y.; Dong, X.; Gong, M. Thermodynamic analysis of a petroleum volatile organic compounds (VOCs) condensation recovery system combined with mixed-refrigerant refrigeration. Int. J. Refrig. 2020, 116, 23–35. [Google Scholar] [CrossRef]
- Little, A.B.; Garimella, S.; Diprete, J.P. Combined effects of fluid selection and flow condensation on ejector operation in an ejector-based chiller. Int. J. Refrig. 2016, 69, 1–16. [Google Scholar] [CrossRef]
- Rose, J.W. Personal reflections on fifty years of condensation heat transfer research. J. Enhanc. Heat Transf. 2015, 22, 89–120. [Google Scholar] [CrossRef]
- Lim, X.Z. Materials collect water from the air hydrogels join metal-organic frameworks as options for harvesting water from the atmosphere. Chem. Eng. News 2021, 99, 16–19. [Google Scholar]
- Vandadi, A.; Zhao, L.; Cheng, J. Resistant energy analysis of self-pulling process during dropwise condensation on superhydrophobic surfaces. Nanoscale Adv. 2019, 1, 1136–1147. [Google Scholar] [CrossRef]
- Eucken, A.V. Energie-und stoffaustausch an grenzflächen. Naturwissenschaften 1937, 25, 209–218. [Google Scholar] [CrossRef]
- Rykaczewski, K. Microdroplet growth mechanism during water condensation on superhydrophobic surfaces. Langmuir 2012, 28, 7720–7729. [Google Scholar] [CrossRef]
- Scott, M.R. On the Conversion of Boundary-Value Problems into Stable Initial-Value Problems via Several Invariant Imbedding Algorithms; Numerical Solutions of Boundary Value Problems for Ordinary Differential Equations; Academic Press: Cambridge, MA, USA, 1975; pp. 89–146. [Google Scholar]
- Bellman, R.; Wing, G.M. An Introduction to Invariant Imbedding; Society for Industrial and Applied Mathematics: Philadelphia, PA, USA, 1992. [Google Scholar]
- Feynman, R.P. The principle of least action in quantum mechanics. In Feynman’s Thesis—A New Approach to Quantum Theory; World Scientific: Singapore, 2005; pp. 1–69. [Google Scholar]
- Brenier, Y. The least action principle and the related concept of generalized flows for incompressible perfect fluids. J. Am. Math. Soc. 1989, 2, 225–255. [Google Scholar] [CrossRef]
- Luo, K.; Shao, C.; Chai, M.; Fan, J. Level set method for atomization and evaporation simulations. Prog. Energy Combust. Sci. 2019, 73, 65–94. [Google Scholar] [CrossRef]
- Lin, Y.; Chu, F.; Wu, X. Evaporation of heated droplets at different wetting modes: A decoupled study of diffusive and convective effects. Int. J. Heat Mass Transf. 2023, 207, 123993. [Google Scholar] [CrossRef]
- Onsager, L. Reciprocal relations in irreversible processes I. Phys. Rev. 1931, 37, 405–426. [Google Scholar] [CrossRef]
- Stengers, I.; Prigogine, I. Order Out of Chaos: Man’s New Dialogue with Nature; Verso Books: London, UK, 2018. [Google Scholar]
- Nellis, G.; Klein, S. Heat Transfer; Cambridge University Press: Cambridge, UK, 2008. [Google Scholar]
- Dong, J.; Hu, G.; Zhao, Y.; Si, C.; Jiao, L. Semi-analytical model for the heat conduction resistance of a single spherical condensate droplet. Int. J. Heat Mass Transf. 2022, 185, 122419. [Google Scholar] [CrossRef]
- Carey, V.P. Liquid-Vapor Phase-Change Phenomena: An Introduction to the Thermophysics of Vaporization and Condensation Processes in Heat Transfer Equipment; CRC Press: Boca Raton, FL, USA, 2020. [Google Scholar]
- Schrage, R.W. A Theoretical Study of Interphase Mass Transfer; Columbia University Press: Columbia, IN, USA, 1953. [Google Scholar]
- Tanaka, H. A theoretical study of dropwise condensation. J. Heat Transf. 1975, 7397, 72. [Google Scholar] [CrossRef]
- Enright, R.; Miljkovic, N.; Al-Obeidi, A.; Thompson, C.V.; Wang, E.N. Condensation on superhydrophobic surfaces: The role of local energy barriers and structure length scale. Langmuir 2012, 28, 14424–14432. [Google Scholar] [CrossRef] [PubMed]
- Wenzel, R.N. Resistance of solid surfaces to wetting by water. Ind. Eng. Chem. 1936, 28, 988–994. [Google Scholar] [CrossRef]
- Cassie, A.; Baxter, S. Wettability of porous surfaces. Trans. Faraday Soc. 1944, 40, 546–551. [Google Scholar] [CrossRef]
- Lubarda, V.A.; Talke, K.A. Analysis of the Equilibrium Droplet Shape Based on an Ellipsoidal Droplet Model. Langmuir 2011, 27, 10705–10713. [Google Scholar] [CrossRef]
- Wang, X.; Yu, Y. Analysis of the shape of heavy droplets on flat and spherical surface. Sci. China Phys. Mech. Astron. 2012, 55, 1118–1124. [Google Scholar] [CrossRef]













| Group | d/μm | a/μm | h/μm | f/φ | Contact Angle/° | |
|---|---|---|---|---|---|---|
| Theoretical Value | Experimental Value | |||||
| 1 | 10 | 35 | 15 | 0.0641 | 151.13 | 151.35 |
| 2 | 10 | 45 | 15 | 0.0388 | 157.66 | 157.17 |
| 3 | 10 | 60 | 15 | 0.0218 | 162.32 | 160.57 |
| 4 | 10 | 90 | 15 | 0.0097 | 165.93 | 163.23 |
| Equipment Name | Model | Distributor |
|---|---|---|
| Optical microscope | ECLIPSE LV1OOND | Nikon, Shanghai, China |
| Objective | TU-Plan Flour | Nikon, Shanghai, China |
| CCD camera | PSC603 | Oplenic, Beijing, China |
| Humidifier | 3G40A | Midea, Foshan, China |
| Hygrothermograph | HTC-1 | Purich, Tianjin, China |
| Peltier semiconductor refrigeration chip | XH-C1201 | Xinhe Electronic Technology, Guangzhou, China |
| Ultrathin thermocouple | T-Type | Benop, Shenzhen, China |
| Data acquisition unit | 34970A | Agilent, Suzhou, China |
Disclaimer/Publisher’s Note: The statements, opinions and data contained in all publications are solely those of the individual author(s) and contributor(s) and not of MDPI and/or the editor(s). MDPI and/or the editor(s) disclaim responsibility for any injury to people or property resulting from any ideas, methods, instructions or products referred to in the content. |
© 2024 by the authors. Licensee MDPI, Basel, Switzerland. This article is an open access article distributed under the terms and conditions of the Creative Commons Attribution (CC BY) license (https://creativecommons.org/licenses/by/4.0/).
Share and Cite
Dong, J.; Lu, S.; Liu, B.; Wu, J.; Chen, M. Numerical Investigation of Heat Transfer and Development in Spherical Condensation Droplets. Micromachines 2024, 15, 566. https://doi.org/10.3390/mi15050566
Dong J, Lu S, Liu B, Wu J, Chen M. Numerical Investigation of Heat Transfer and Development in Spherical Condensation Droplets. Micromachines. 2024; 15(5):566. https://doi.org/10.3390/mi15050566
Chicago/Turabian StyleDong, Jian, Siguang Lu, Bilong Liu, Jie Wu, and Mengqi Chen. 2024. "Numerical Investigation of Heat Transfer and Development in Spherical Condensation Droplets" Micromachines 15, no. 5: 566. https://doi.org/10.3390/mi15050566
APA StyleDong, J., Lu, S., Liu, B., Wu, J., & Chen, M. (2024). Numerical Investigation of Heat Transfer and Development in Spherical Condensation Droplets. Micromachines, 15(5), 566. https://doi.org/10.3390/mi15050566

