Understanding Quasi-Static and Dynamic Characteristics of Organic Ferroelectric Field Effect Transistors
Abstract
1. Introduction
2. Device Fabrication
3. Results and Discussion
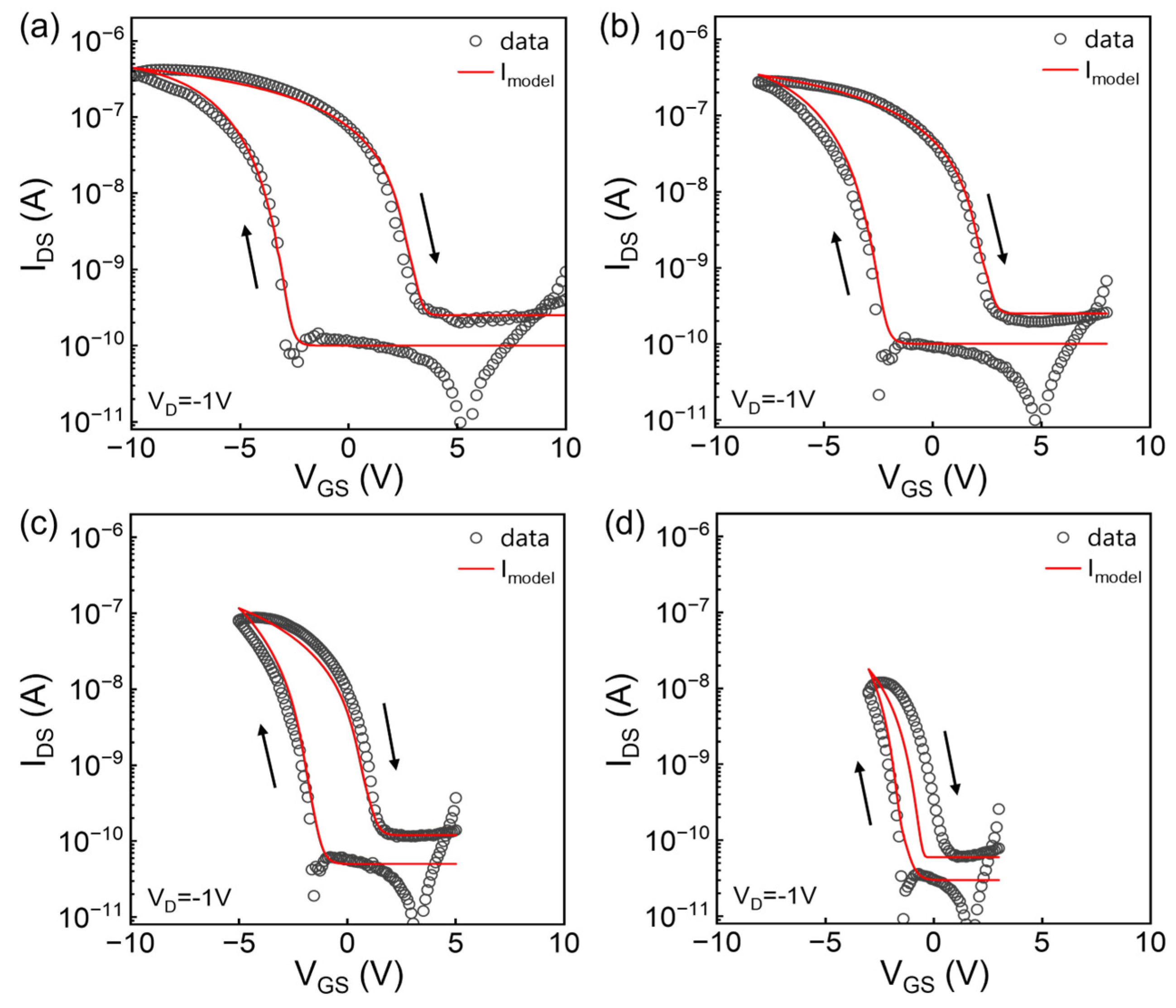
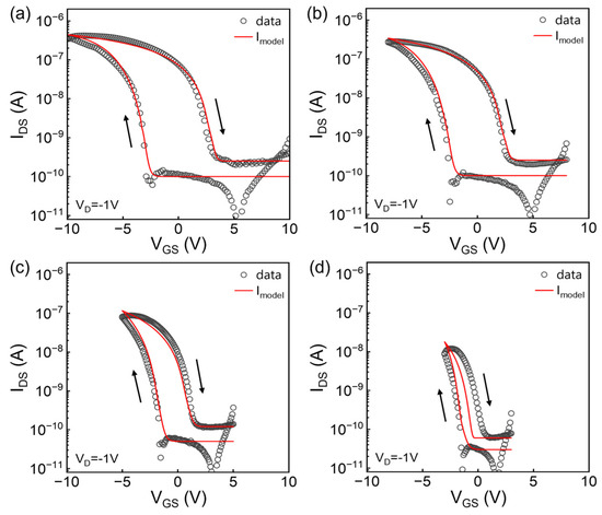
3.1. Quasi-Static Characteristics
3.2. Dynamic Characteristics
3.3. Synaptic Behavior
4. Conclusions
Author Contributions
Funding
Data Availability Statement
Conflicts of Interest
References
- Yan, M.; Zhu, Q.; Wang, S.; Ren, Y.; Feng, G.; Liu, L.; Peng, H.; He, Y.; Wang, J.; Zhou, P.; et al. Ferroelectric Synaptic Transistor Network for Associative Memory. Adv. Electron. Mater. 2021, 7, 2001276. [Google Scholar] [CrossRef]
- Oh, S.; Kim, T.; Kwak, M.; Song, J.; Woo, J.; Jeon, S.; Yoo, I.K.; Hwang, H. HfZrOx-Based Ferroelectric Synapse Device With 32 Levels of Conductance States for Neuromorphic Applications. IEEE Electron Device Lett. 2017, 38, 732–735. [Google Scholar] [CrossRef]
- Sun, X.; Wang, P.; Ni, K.; Datta, S.; Yu, S. Exploiting Hybrid Precision for Training and Inference: A 2T-1FeFET Based Analog Synaptic Weight Cell. In Proceedings of the 2018 IEEE International Electron Devices Meeting (IEDM), San Francisco, CA, USA, 1–5 December 2018; pp. 3.1.1–3.1.4. [Google Scholar]
- Wang, H.; Yang, M.; Huang, Q.; Zhu, K.; Zhao, Y.; Liang, Z.; Chen, C.; Wang, Z.; Zhong, Y.; Zhang, X.; et al. New Insights into the Physical Origin of Negative Capacitance and Hysteresis in NCFETs. In Proceedings of the 2018 IEEE International Electron Devices Meeting (IEDM), San Francisco, CA, USA, 1–5 December 2018; pp. 31.31.31–31.31.34. [Google Scholar]
- Pahwa, G.; Dutta, T.; Agarwal, A.; Khandelwal, S.; Salahuddin, S.; Hu, C.; Chauhan, Y.S. Analysis and Compact Modeling of Negative Capacitance Transistor with High ON-Current and Negative Output Differential Resistance—Part II: Model Validation. IEEE Trans. Electron Devices 2016, 63, 4986–4992. [Google Scholar] [CrossRef]
- Aziz, A.; Ghosh, S.; Datta, S.; Gupta, S.K. Physics-Based Circuit-Compatible SPICE Model for Ferroelectric Transistors. IEEE Electron Device Lett. 2016, 37, 805–808. [Google Scholar] [CrossRef]
- Ni, K.; Jerry, M.; Smith, J.A.; Datta, S. A Circuit Compatible Accurate Compact Model for Ferroelectric-FETs. In Proceedings of the 2018 IEEE Symposium on VLSI Technology, Honolulu, HI, USA, 18–22 June 2018; pp. 131–132. [Google Scholar]
- Bae, I.; Kang, S.J.; Park, Y.J.; Furukawa, T.; Park, C. Organic ferroelectric field-effect transistor with P(VDF-TrFE)/PMMA blend thin films for non-volatile memory applications. Curr. Appl. Phys. 2010, 10, e54–e57. [Google Scholar] [CrossRef]
- Sun, H.; Wang, Q.; Li, Y.; Lin, Y.-F.; Wang, Y.; Yin, Y.; Xu, Y.; Liu, C.; Tsukagoshi, K.; Pan, L.; et al. Boost Up Carrier Mobility for Ferroelectric Organic Transistor Memory via Buffering Interfacial Polarization Fluctuation. Sci. Rep. 2014, 4, 7227. [Google Scholar] [CrossRef] [PubMed]
- Jung, S.-W.; Baeg, K.-J.; Yoon, S.-M.; You, I.-K.; Lee, J.-K.; Kim, Y.-S.; Noh, Y.-Y. Low-voltage-operated top-gate polymer thin-film transistors with high capacitance poly(vinylidene fluoride-trifluoroethylene)/poly(methyl methacrylate) dielectrics. J. Appl. Phys. 2010, 108, 102810. [Google Scholar] [CrossRef]
- Chang, J.; Shin, C.H.; Park, Y.J.; Kang, S.J.; Jeong, H.J.; Kim, K.J.; Hawker, C.J.; Russell, T.P.; Ryu, D.Y.; Park, C. Polymeric gate dielectric interlayer of cross-linkable poly(styrene-r-methylmethacrylate) copolymer for ferroelectric PVDF-TrFE field effect transistor memory. Org. Electron. 2009, 10, 849–856. [Google Scholar] [CrossRef]
- Hwang, S.K.; Bae, I.; Cho, S.M.; Kim, R.H.; Jung, H.J.; Park, C. High Performance Multi-Level Non-Volatile Polymer Memory with Solution-Blended Ferroelectric Polymer/High-k Insulators for Low Voltage Operation. Adv. Funct. Mater. 2013, 23, 5484–5493. [Google Scholar] [CrossRef]
- Song, L.; Wang, Y.; Gao, Q.; Guo, Y.; Wang, Q.; Qian, J.; Jiang, S.; Wu, B.; Wang, X.; Shi, Y.; et al. Speed up Ferroelectric Organic Transistor Memories by Using Two-Dimensional Molecular Crystalline Semiconductors. ACS Appl. Mater. Interfaces 2017, 9, 18127–18133. [Google Scholar] [CrossRef]
- Kim, C.H.; Bonnassieux, Y.; Horowitz, G. Compact DC Modeling of Organic Field-Effect Transistors: Review and Perspectives. IEEE Trans. Electron Devices 2014, 61, 278–287. [Google Scholar] [CrossRef]
- Chang Hyun, K.; Castro-Carranza, A.; Estrada, M.; Cerdeira, A.; Bonnassieux, Y.; Horowitz, G.; Iniguez, B. A Compact Model for Organic Field-Effect Transistors With Improved Output Asymptotic Behaviors. IEEE Trans. Electron Devices 2013, 60, 1136–1141. [Google Scholar] [CrossRef]
- Hang-Ting, L.; Chien-Jang, W.; Tseung-Yuen, T. Device modeling of ferroelectric memory field-effect transistor (FeMFET). IEEE Trans. Electron Devices 2002, 49, 1790–1798. [Google Scholar] [CrossRef]
- Miller, S.L.; McWhorter, P.J. Physics of the ferroelectric nonvolatile memory field effect transistor. J. Appl. Phys. 1992, 72, 5999–6010. [Google Scholar] [CrossRef]
- Cerdeira, A.; Estrada, M.; García, R.; Ortiz-Conde, A.; García Sánchez, F.J. New procedure for the extraction of basic a-Si:H TFT model parameters in the linear and saturation regions. Solid-State Electron. 2001, 45, 1077–1080. [Google Scholar] [CrossRef]
- Estrada, M.; Cerdeira, A.; Puigdollers, J.; Reséndiz, L.; Pallares, J.; Marsal, L.F.; Voz, C.; Iñiguez, B. Accurate modeling and parameter extraction method for organic TFTs. Solid-State Electron. 2005, 49, 1009–1016. [Google Scholar] [CrossRef]
- Brondijk, J.J.; Asadi, K.; Blom, P.W.M.; de Leeuw, D.M. Physics of organic ferroelectric field-effect transistors. J. Polym. Sci. Part B Polym. Phys. 2012, 50, 47–54. [Google Scholar] [CrossRef]
- Su, C.; Huang, Q.; Wang, K.; Fu, Z.; Huang, R. New Insights Into Memory Window of Ferroelectric FET Impacted by Read Operations With Awareness of Polarization Switching Dynamics. IEEE Trans. Electron Devices 2022, 69, 5310–5315. [Google Scholar] [CrossRef]
- Jin, C.; Saraya, T.; Hiramoto, T.; Kobayashi, M. On the Physical Mechanism of Transient Negative Capacitance Effect in Deep Subthreshold Region. IEEE J. Electron Devices Soc. 2019, 7, 368–374. [Google Scholar] [CrossRef]
- Sharma, P.; Zhang, J.; Ni, K.; Datta, S. Time-Resolved Measurement of Negative Capacitance. IEEE Electron Device Lett. 2018, 39, 272–275. [Google Scholar] [CrossRef]
- Tian, B.; Liu, L.; Yan, M.; Wang, J.; Zhao, Q.; Zhong, N.; Xiang, P.; Sun, L.; Peng, H.; Shen, H.; et al. A Robust Artificial Synapse Based on Organic Ferroelectric Polymer. Adv. Electron. Mater. 2019, 5, 1800600. [Google Scholar] [CrossRef]
- Li, Y.; Tao, R.; He, W.; Chang, C.; Zou, Z.; Zhang, Y.; Wang, D.; Wang, J.; Fan, Z.; Zhou, G.; et al. Realization of tunable artificial synapse through ambipolar charge trapping in organic transistor with pentacene/poly(α-methylstyrene) architecture. J. Appl. Phys. 2021, 129, 074903. [Google Scholar] [CrossRef]






Disclaimer/Publisher’s Note: The statements, opinions and data contained in all publications are solely those of the individual author(s) and contributor(s) and not of MDPI and/or the editor(s). MDPI and/or the editor(s) disclaim responsibility for any injury to people or property resulting from any ideas, methods, instructions or products referred to in the content. |
© 2024 by the authors. Licensee MDPI, Basel, Switzerland. This article is an open access article distributed under the terms and conditions of the Creative Commons Attribution (CC BY) license (https://creativecommons.org/licenses/by/4.0/).
Share and Cite
Ke, H.; Liang, X.; Yin, X.; Liu, B.; Han, S.; Jiang, S.; Liu, C.; She, X. Understanding Quasi-Static and Dynamic Characteristics of Organic Ferroelectric Field Effect Transistors. Micromachines 2024, 15, 467. https://doi.org/10.3390/mi15040467
Ke H, Liang X, Yin X, Liu B, Han S, Jiang S, Liu C, She X. Understanding Quasi-Static and Dynamic Characteristics of Organic Ferroelectric Field Effect Transistors. Micromachines. 2024; 15(4):467. https://doi.org/10.3390/mi15040467
Chicago/Turabian StyleKe, Hanjing, Xiaoci Liang, Xiaozhe Yin, Baiquan Liu, Songjia Han, Shijie Jiang, Chuan Liu, and Xiaojian She. 2024. "Understanding Quasi-Static and Dynamic Characteristics of Organic Ferroelectric Field Effect Transistors" Micromachines 15, no. 4: 467. https://doi.org/10.3390/mi15040467
APA StyleKe, H., Liang, X., Yin, X., Liu, B., Han, S., Jiang, S., Liu, C., & She, X. (2024). Understanding Quasi-Static and Dynamic Characteristics of Organic Ferroelectric Field Effect Transistors. Micromachines, 15(4), 467. https://doi.org/10.3390/mi15040467

